Inhoud
Virtual reality voorafgaand aan exposure bij patiënten met een paniekstoornis en/of sociale-angststoornis
Samenvatting
Hoewel virtual reality (VR) een effectief medium voor exposure bij angstbehandelingen lijkt, is er weinig bekend over de inzet van VR als voorbereiding op exposure in vivo. In deze pilotstudie werd onderzocht of er aanwijzingen zijn dat VR: (1) de bereidheid tot exposure in vivo vergroot, en (2) de (anticipatie)angst verlaagt. Zes patiënten met een paniekstoornis en/of sociale-angststoornis volgden een kortdurende VR-module voorafgaand aan een behandeling met exposure in vivo. VR lijkt de bereidheid te vergroten en angst te verlagen wanneer een patiënt met een lage bereidheid en/of hoge angst zich blootstelt aan VR-situaties. Omdat er voorafgaand aan de module al een relatief hoge bereidheid bleek te zijn, lijkt het niet nodig deze premodule standaard op te nemen in het behandelaanbod. Deze pilotstudie kan mogelijk vervolgd worden met onderzoek naar de noodzaak van een premodule binnen andere populaties, met mogelijk een enkele VR-sessie die qua techniek en uitvoering van de module verbeterd is.
Kernboodschappen voor de klinische praktijk
- Het lijkt niet nodig om standaard een VR-premodule op te nemen in het behandelaanbod bij angststoornissen, aangezien de bereidheid tot exposure in vivo over het algemeen hoog lijkt in een specialistische ggz-setting.
- Wanneer de bereidheid tot exposure in vivo laag en/of de angst hoog is, zijn er voorzichtige eerste aanwijzingen dat een VR-premodule de bereidheid kan vergroten en de (anticipatie)angst kan verlagen voor exposure in vivo.
- Een enkele VR-sessie is mogelijk al voldoende.
Inleiding
Exposure met behulp van virtual reality (VR) is de laatste jaren in opkomst als veelbelovend alternatief voor exposure in vivo bij angststoornissen (Maples-Keller et al., 2017). VR wordt gedefinieerd als technologie die een gesimuleerde ervaring creëert, waardoor een gebruiker zich daadwerkelijk aanwezig voelt in een virtuele omgeving, in plaats van in de fysieke 'echte' wereld (Riva et al., 2016). VR biedt behandelaren de mogelijkheid om patiënten virtueel bloot te stellen aan angstinducerende situaties. VR-exposure bij angst- en stemmingsklachten blijkt grotere effecten op de klachten te hebben dan een wachtlijstconditie (Fodor et al., 2018). Daarnaast laat een recente meta-analyse op basis van 16 randomized controlled trials (RCT's) zien dat de sterkte van de effecten van VR-exposure op angstsymptomen niet verschilt van die van exposure in vivo (van Loenen et al., 2022).
VR-exposure biedt een aantal praktische voordelen ten opzichte van exposure in vivo (Maples-Keller et al., 2017). Ten eerste kunnen patiënten via VR-exposure worden blootgesteld aan omgevingen die in vivo moeilijk beschikbaar zijn. Onderzoek van Pittig en collega's (2019) geeft aanwijzingen dat behandelaren in de ambulante setting praktische barrières ervaren bij het succesvol aanbieden van een behandeling met exposure in vivo. Ten tweede vindt VR-exposure plaats in aanwezigheid van een behandelaar die de patiënt kan coachen voor een optimale leerervaring. Ten derde hebben behandelaren bij VR-exposure meer controle over de stimuli waar de patiënt aan wordt blootgesteld dan bij exposure in vivo. Virtuele omgevingen kunnen worden aangepast aan de angstverwachting en behoeften van de individuele patiënt (Kampmann et al., 2016).
Ondanks de voordelen van VR-exposure vindt er in de klinische behandelpraktijk nog geen massale implementatie plaats (Lindner, 2021). In de klinische behandelpraktijk wordt VR-exposure bij de behandeling van angststoornissen met name ingezet als aanvullend aanbod naast exposure in vivo. Hoewel er geen empirische data over bekend zijn, is het een bekende claim op websites van VR-aanbieders dat VR-exposure in de klinische praktijk kan worden ingezet als een meer laagdrempelige opstap naar exposure in vivo (Moovd, z.d.; Vrendle, z.d.). VR-exposure zou dan van meerwaarde zijn voor patiënten met een angststoornis voor wie de drempel tot exposure in vivo te hoog is. Uit de eerste onderzoeken blijkt inderdaad dat patiënten met een angststoornis VR-exposure beleven als voorspelbaarder, gecontroleerder en veiliger dan exposure in vivo (Bouchard et al., 2017). In een studie van Garcia-Palacios en collega's (2001) prefereerde 81% tot 89% van de studenten met angstklachten VR-exposure boven exposure in vivo. Ook in een vervolgonderzoek prefereerden 76% van de deelnemers VR-exposure boven exposure in vivo. Het percentage deelnemers dat VR-exposure weigerde (3%) was lager dan het percentage deelnemers dat exposure in vivo weigerde (27%). Van de deelnemers met een voorkeur voor VR-exposure rapporteerde 90% dat er sprake was van te veel angst voor daadwerkelijke blootstelling aan de echte situatie of het echte object (Garcia-Palacios et al., 2007).
Hoewel er geen cijfers bekend zijn over het aantal patiënten dat te angstig is voor exposure in vivo, herkent de cognitief gedragstherapeut in de klinische praktijk dat het niet eenvoudig is om een deel van de patiënten zover te krijgen dat ze zich daadwerkelijk blootstellen aan situaties die zij het meest vrezen. Om: (1) het behandelaanbod voor patiënten die te angstig zijn voor exposure in vivo te verbeteren, en (2) mogelijke aanbevelingen te doen voor de implementatie van VR, is het van meerwaarde om te onderzoeken of de claim van VR-aanbieders klopt: zijn er aanwijzingen dat VR voorafgaand aan exposure in vivo de bereidheid tot exposure in vivo kan vergroten en de angst kan verlagen?
Om deze vraag te beantwoorden worden in dit artikel de ervaringen van zes patiënten met een VR-premodule voorafgaand aan een behandeling met exposure in vivo beschreven. In deze pilotstudie ligt de focus specifiek op een VR-module van vier sessies met drukke sociale situaties (busreis, winkelstraat, supermarkt en tuinfeest). Deze situaties zijn bij uitstek geschikt, omdat behandelaren niet in staat zijn ze in een spreekkamer te creëren. Dit vraagt van patiënten dus een hoge mate van bereidheid om deze situaties zelfstandig in vivo aan te gaan. Daarnaast bevatten deze situaties meerdere angstige stimuli die relevant zijn voor verschillende klachten. Onze aanname is dat drukke sociale situaties angstinducerend zullen zijn voor patiënten met een paniekstoornis (PS) en/of sociale-angststoornis (SAS) (APA, 2014). Patiënten met een paniekstoornis en/of sociale-angststoornis in de ambulante setting behoorden dan ook tot de doelgroep van deze pilotstudie.
Onderzocht is of er aanwijzingen zijn dat VR voorafgaand aan een behandeling met exposure in vivo: (1) de bereidheid tot exposure in vivo lijkt te vergroten, en (2) de angst voor exposure in vivo lijkt te verlagen. Daarnaast is de haalbaarheid van de VR-module onderzocht. Hiertoe werd geëvalueerd of de afzonderlijke VR-sessies in staat zijn om: (3) de geloofwaardigheid van de angstige verwachtingen te beïnvloeden, en (4) angst te activeren. Ook werd onderzocht of: (5) de VR overeenkomt met de situatie die patiënten in het dagelijks leven het meest vermijden. Tot slot werd: (6) het klachtenverloop voorafgaand aan en na afloop van de VR-module in kaart gebracht, en wel om eventuele (ernstige) bijwerkingen in de vorm van een klachtentoename te monitoren. Hierbij is de toename van zowel angst- als stemmingsklachten gemonitord, omdat onderzoek aantoont dat er sprake is van een hoge mate van comorbiditeit (ter Meulen et al., 2021). Om de onderzoeksvragen te beantwoorden werd gebruikgemaakt van kwantitatieve data. Vanwege het exploratieve karakter van de pilotstudie en de kleine steekproefomvang (N = 6) worden in dit artikel de resultaten per deelnemer visueel weergeven en beschreven. Middels een semigestructureerd interview werd de beleving van de deelnemers met de VR-module uitgevraagd. Deze kwalitatieve data worden samengevat weergegeven. Er vindt een voorzichtige integratie en interpretatie van de bevindingen plaats in de discussie.
Methode
Het onderzoeksprotocol werd goedgekeurd door de medisch-ethische toetsingscommissie CMO regio Arnhem-Nijmegen en is geregistreerd onder referentiecode NL72392.091.19.
Design
Deze pilotstudie betreft een haalbaarheidsonderzoek in de vorm van een casestudie met herhaalde metingen, waarbij zes deelnemers binnen twee weken vier VR-sessies aangeboden krijgen voorafgaand aan een reguliere CGT-behandeling.
Deelnemers
Deelnemers werden geworven op de polikliniek van een Nederlandse instelling voor gespecialiseerde geestelijke gezondheidszorg. Inclusiecriteria voor deelname aan het onderzoek waren: (1) een primaire diagnose van paniekstoornis of sociale-angststoornis volgens de DSM-5, en (2) een leeftijd tussen 18 en 65 jaar. Exclusiecriteria voor deelname aan het onderzoek waren: (1) de aanwezigheid van een ernstige depressieve stoornis die onmiddellijke behandeling behoefde, (2) een psychotische stoornis, (3) middelenmisbruik waarvoor specialistische behandeling vereist was, (4) beperkingen in de verstandelijke vermogens (IQ < 70) en/of cognitieve disfuncties op basis van de anamnestische informatie, en (5) binnen acht weken voorafgaand aan de start van de VR-module ingesteld zijn op (een gewijzigde dosering van) psychofarmaca. De aanwezigheid van andere comorbide stoornissen vormde geen exclusiecriterium. Inclusie- en exclusiecriteria werden tijdens de intake vastgesteld met behulp van de Nederlandstalige versie van het Mini International Neuropsychiatric Interview (MINI; Sheehan et al., 1998), in combinatie met het klinisch oordeel van de intaker of er voldaan werd aan de criteria van een DSM-5-classificatie. Patiënten die binnen de looptijd van het onderzoek voldeden aan de inclusiecriteria en vanaf de wachtlijst na intake konden starten met hun reguliere angstbehandeling werden benaderd om voor aanvang van hun geplande behandeling deel te nemen aan het onderzoek. Deelname was vrijwillig en had geen gevolgen voor het reguliere behandelaanbod. Gedurende het onderzoek kregen deelnemers geen andere behandeling.
In totaal werden 11 patiënten benaderd voor deelname. Zij ontvingen mondelinge en schriftelijke informatie over het onderzoek. Vijf patiënten zagen af van deelname. Redenen om niet deel te nemen waren: (1) te gespannen zijn voor de reguliere behandeling, waardoor deelname aan de studie als te belastend werd ervaren, (2) te weinig tijd ervaren voor deelname, en (3) dreigende bijwerkingen van VR (migraine en misselijkheid). Twee patiënten gaven geen reden op.
Zes deelnemers werden succesvol geïncludeerd. Er waren geen drop-outs. In totaal namen vier mannen en twee vrouwen deel met een gemiddelde leeftijd van 39,16 jaar (range 28-48). Drie van de deelnemers hadden als primaire diagnose een sociale-angststoornis en de drie andere een paniekstoornis. Vier deelnemers voldeden aan de criteria van ten minste één comorbide stoornis (depressieve stoornis, angststoornis en/of een autismespectrumstoornis). Vier deelnemers hadden eerder een CGT-behandeling gevolgd. Hierbij was niet duidelijk of er binnen die behandeling ook daadwerkelijk exposure in vivo had plaatsgevonden. Een van de vier deelnemers was daarnaast bekend met EMDR-behandeling en schematherapie. Twee deelnemers gebruikten langere tijd (gedurende meer dan 8 weken voorafgaand aan de start van het onderzoek) psychofarmaca (paroxetine, nortriptyline en quetiapine).
Materialen
VR-software
Voor de VR-module werd het rollenspel uit de VR-applicatie Social Worlds van softwareleverancier CleVR gebruikt. Deze VR-software maakt gebruik van een headset met microfoon (inclusief stemvervormer) en twee computers voor de behandelaar. Met een touchscreen bestuurt de behandelaar de virtuele wereld en met een gamingcomputer observeert de behandelaar wat de deelnemer door de VR-bril ziet. Voor de deelnemer bestaat het materiaal uit een VR-bril, hoofdtelefoon en een Microsoft Xbox gamecontroller waarmee de deelnemer zich door de virtuele omgeving begeeft. De VR-apparatuur stond opgesteld in een hiervoor bestemde behandelkamer binnen de onderzoeksinstelling. Specifiek voor dit onderzoek werden vier sociale situaties van de Social Worlds-applicatie gebruikt: een busreis, een winkelstraat, een supermarkt en een tuinfeest.
Vragenlijsten
Mobility Inventory (MI; Chambless et al., 1985). De MI is een zelfrapportagevragenlijst waarmee agorafobisch vermijdingsgedrag in kaart wordt gebracht. Vermijdingsgedrag wordt op 27 situaties gescoord. Daarnaast kan de respondent eigen situaties toevoegen en scoren. Per situatie wordt onderscheid gemaakt tussen de aanwezigheid of ernst van het vermijdingsgedrag wanneer de deelnemer alleen is en wanneer hij of zij vergezeld wordt door iemand anders. Vermijdingsgedrag wordt gescoord op een zespunts likertschaal (0 = 'ik vermijd het nooit', 5 = 'ik vermijd het altijd'). De interne consistentie van de twee subschalen (vermijding alleen en vermijding samen) is goed bevonden in de literatuur (Cronbachs α van respectievelijk 0,95 en 0,96). De test-hertestbetrouwbaarheid van vermijding alleen is r = 0,76 en van vermijding samen is r = 0,90. Ook de convergente en discriminerende validiteit van de schalen zijn goed bevonden (convergente r = 0,63 met andere meetinstrumenten van agorafobische vermijding; discriminerende r = 0,10-0,29 voor andere angststoornissen (Chambless et al., 2011).
Specifiek voor dit onderzoek werd aan de MI een vraag toegevoegd. Deelnemers dienden vijf situaties uit de MI te selecteren die door de angst en vermijding die ze opriepen hun leven het meest in negatieve zin beïnvloedden. Uit deze top 5 selecteerden de onderzoekers voor iedere deelnemer de persoonlijk meest gevreesde situatie die niet voorkwam in de VR-module (busreis, winkelstraat, supermarkt en tuinfeest). De persoonlijk meest gevreesde situatie werd opgenomen in de door de onderzoekers zelf opgestelde vragenlijsten die gedurende het onderzoek werden afgenomen (zie hierna). Zo werd gemeten in hoeverre de VR-situaties overeenkwamen met de persoonlijk meest gevreesde situatie van de individuele deelnemer. Ook werd hiermee gekeken naar aanwijzingen of er generalisatie optrad van de VR-module naar de persoonlijk meest gevreesde situatie.
Vragenlijst Bereidheid tot Exposure in Vivo. Om de bereidheid tot exposure in vivo te meten hebben de onderzoekers zelf een vragenlijst opgesteld. Daarop gaven deelnemers op een 11-punts likertschaal (0 = 'helemaal niet bereid', 10 = 'volledig bereid') aan in hoeverre zij bereid waren zich in vivo bloot te stellen aan de vier VR-situaties (busreis, winkelstraat, supermarkt en tuinfeest) en aan de persoonlijk meest gevreesde situatie.
5-Situatie Angstlijst (5-SA; Watson & Marks, 1971). De 5-SA is een zelfrapportagevragenlijst waarbij op vijf zelf in te vullen situaties het angstniveau voor exposure in vivo aan de betreffende situaties in kaart wordt gebracht. Het angstniveau wordt gescoord op een schaal van 0 ('helemaal op mijn gemak') tot 8 ('helemaal in paniek'). Specifiek voor dit onderzoek werden de vijf te scoren situaties vooraf bepaald: busreis, winkelstraat, supermarkt, tuinfeest en de persoonlijk meest gevreesde situatie.
Vragenlijst Geloofwaardigheid Angstige Verwachting. Om de geschiktheid van de VR-sessies te meten hebben de onderzoekers zelf een vragenlijst opgesteld. Aan de deelnemers werd gevraagd om voorafgaand aan de VR-sessie een angstige verwachting over de betreffende VR-sessie te rapporteren. De geloofwaardigheid van de angstige verwachting werd door de deelnemer gescoord op een 11-punts likertschaal (0 = 'helemaal niet geloofwaardig', 10 = 'helemaal geloofwaardig').
Vragenlijst Angstactivatie (SUD-piek): Aan deelnemers werd gevraagd om het hoogste angstniveau tijdens de VR-sessie uit te drukken op een 11-punts likertschaal (0 = 'helemaal geen angst', 10 = 'zoveel angst als maar kan'), wat een Subjective Units of Distress (SUD)-score oplevert.
Vragenlijst Overeenkomst: Aan deelnemers werd gevraagd om op een 11-punts likertschaal (0 = 'benadert helemaal niet', 10 = 'benadert helemaal') aan te geven in hoeverre de VR-situatie overeenkwam met de persoonlijk meest gevreesde situatie.
Depression Anxiety Stress Scale (DASS-21; Lovibond & Lovibond, 1995). De DASS-21 is een zelfrapportagevragenlijst bestaande uit 21 items die de ernst van depressieve symptomen (7 items), angst (7 items) en stressklachten (7 items) over de afgelopen 7 dagen in kaart brengt. Klachten worden op een vierpunts likertschaal (0 = 'helemaal niet of nooit van toepassing', 3 = 'zeer zeker of meestal van toepassing') gescoord. De scores van de items worden bij elkaar opgeteld en verdubbeld voor een totaalscore. Deze score kan variëren van 0 tot 126. De samenhang met andere meetinstrumenten voor angst en depressie is goed. De vragenlijst heeft een goede interne consistentie voor alle subschalen (Cronbachs α tussen 0,94 en 0,97) en heeft een test-hertestbetrouwbaarheid van respectievelijk r = 0,75, r = 0,89 en r = 0,79 voor de subschalen Depressie, Angst en Stress (de Beurs et al., 2001).
Inventory of Depressive Symptomatology (IDS-SR; Rush et al., 1996). De IDS-SR is een zelfbeoordelingsvragenlijst waarmee de ernst van depressieve klachten over de afgelopen 7 dagen wordt gemeten. Uitgebreider dan bij de DASS-21 worden de symptoomdomeinen van een depressie inclusief melancholische en atypische symptomen en angst en pijn gemeten. Deze totaalscore kan variëren van 0 tot 84. Zowel de interne consistentie (Cronbachs α = 0,85) als de construct-, inhouds- en convergente validiteit zijn goed bevonden in de literatuur (Meesters et al., 2016).
Semigestructureerd interview. Om na afloop van de VR-module de beleving van de deelnemers van de VR-module kwalitatief te exploreren, is door de onderzoekers zelf een semigestructureerd interview opgesteld (zie bijlage 1). In het interview worden uitgevraagd: de acceptatie van de VR-module (gebruiksvriendelijkheid, duur van de VR-sessies en totale module), voordelen, verbeterpunten en eventuele negatieve bijwerkingen van de VR-module. De afname van het semigestructureerd interview en het tekstueel uitwerken van de antwoorden werden uitgevoerd door een onafhankelijk onderzoeksassistent.
Procedure
VR-module
Direct voorafgaand aan hun reguliere behandeling bij de ggz-instelling volgden de deelnemers in twee weken tijd vier geprotocolleerde behandelsessies van 60 minuten (twee sessies per week). Er was geen minimale of maximale tijdspreiding tussen behandelsessies binnen een week. De sessies werden uitgevoerd door behandelaren die VR-getraind waren en waren opgeleid tot ten minste basispsycholoog. Per sessie stond één virtuele situatie in een vaste volgorde centraal: sessie 1 – busreis; sessie 2 – winkelstraat; sessie 3 – supermarkt; en sessie 4 – tuinfeest. Bij aanvang van de eerste sessie werd de rationale van exposure door de behandelaar uitgelegd. In de volgende sessies werd de rationale bij aanvang nagevraagd en indien nodig herhaald door de behandelaar. Na de rationale werd door de deelnemers de vragenlijst Geloofwaardigheid Angstige Verwachting ingevuld. Op basis van de angstverwachting werden de VR-situaties door de behandelaar op maat gemaakt, zodat de angstverwachting zo goed mogelijk virtueel getoetst kon worden. De behandelaar stelde het aantal aanwezige karakters in, beïnvloedde het uiterlijk en gedrag van de karakters (geslacht, etniciteit, kleding, emoties en bewegingen), en simuleerde via een stemvervormer dialogen tussen de deelnemers en fictieve karakters. Deelnemers werden per sessie gemiddeld 45 minuten (drie keer 15 minuten) virtueel blootgesteld aan de op maat gemaakte VR-situatie. Om de kans op cyber sickness te verkleinen werd er na iedere 15 minuten blootstelling een pauze ingelast. Tijdens de blootstelling werden deelnemers via een microfoonverbinding gecoacht door de behandelaar in het uitvoeren van de exposure. Meteen nadat de VR-bril was afgezet werden de volgende vragenlijsten in vaste volgorde afgenomen: (1) Angstactivatie (SUD-piek), (2) Geloofwaardigheid Angstige Verwachting, (3) Overeenkomst, en (4) Bereidheid tot Exposure in Vivo.
Algemeen
Een week voor de start van de VR-module (week 1) vond een online voormeting plaats via een beeldbelafspraak met een onafhankelijke onderzoeksassistent. In de beeldbelafspraak ontvingen de deelnemers per e-mail een weblink naar online vragenlijsten. Met de eerste vragenlijst werden uitgevraagd: demografische gegevens (geslacht en leeftijd), de primaire diagnose, comorbiditeit, behandelgeschiedenis en psychofarmaca. Vervolgens vulden de deelnemers de MI in. De persoonlijk meest gevreesde situatie uit de MI werd in de beeldbelafspraak met de onderzoeksassistent gedeeld, zodat deze opgenomen kon worden in de vragenlijsten die tijdens het onderzoek werden afgenomen. Vervolgens werden in vaste volgorde de vragenlijsten DASS-21, IDS-SR, 5-SA en de Bereidheid tot Exposure in Vivo door de deelnemers ingevuld. In de daaropvolgende twee weken (week 2 en 3) vond de VR-module plaats. Een week na afronding van de VR-module (week 4) vond de online nameting plaats op dezelfde wijze en met dezelfde vragenlijsten als de voormeting (met uitzondering van de persoonsgegevens en MI). Tot slot nam de onderzoeksassistent het semigestructureerde interview af.
Data-analyse
Vanwege het exploratieve karakter van de pilotstudie en de kleine steekproefomvang (N = 6) worden de resultaten per deelnemer visueel weergegeven en beschreven. Om de onderzoeksvragen te kunnen beantwoorden vindt in de discussie een voorzichtige integratie en interpretatie van de bevindingen plaats.
Bereidheid tot en angst voor exposure in vivo. Per deelnemer worden: (1) de bereidheid tot, en (2) de angst voor exposure in vivo over de tijd in een lijngrafiek visueel gemaakt. Hierbij worden per deelnemer mogelijke trends van toename of afname over de tijd beschreven.
Geschiktheid VR-sessies. Per deelnemer wordt: (1) de geloofwaardigheid van de angstige verwachting voorafgaand en na afloop van de VR-sessie in een lijngrafiek visueel gemaakt. Ook hier wordt per deelnemer een mogelijke trend van toename of afname beschreven. (2) De angstactivatie (SUD-piek) en (3) de overeenkomstscores staan per deelnemer in een tabel en worden beoordeeld op hoogte van de score (0-3 = laag, 4-6 = gemiddeld en 7-10 = hoog).
Klachtenverloop (monitoren klachtentoename). Per deelnemer worden de totaalscores op de DASS-21 en IDS-SR in een lijngrafiek visueel gemaakt. Hierbij wordt beoordeeld of de totaalscores op de nameting hoger zijn dan op de voormeting.
Beleving deelnemers. De beleving van alle deelnemers (N = 6) uit het semigestructureerd interview worden samengevat weergegeven. Overeenkomsten en verschillen in de beleving tussen deelnemers worden uitgewerkt. De antwoorden tijdens de interviews zijn door een onafhankelijk onderzoeksassistent gerapporteerd en worden door de eerste auteur samengevat.
Resultaten
Deelnemer 1
Bereidheid tot exposure in vivo
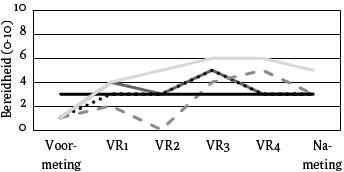
Zoals figuur 1 laat zien, scoorde deelnemer 1 de bereidheid tot exposure in vivo sterk wisselend over de tijd. Er was geen duidelijke trend van toename of afname zichtbaar.

Figuur 1 Bereidheid tot exposure in vivo van deelnemer 1 aan de vijf situaties (vier VR-situaties en de persoonlijk meest gevreesde situatie). De X-as geeft de meetmomenten weer (voormeting, na de VR-sessies en nameting) en de Y-as de bereidheidsscores (0 tot 10).
Angst voor exposure in vivo
Zoals figuur 2 laat zien, scoorde deelnemer 1 op de angst voor exposure in vivo bij vier van de vijf situaties bij de nameting lager dan bij de voormeting.

Figuur 2 Angst voor exposure in vivo van deelnemer 1 aan de vijf situaties (vier VR-situaties en de persoonlijk meest gevreesde situatie). De X-as geeft de meetmomenten weer (voormeting en nameting) en de Y-as de angstscores (0 tot 8).
Geschiktheid VR-sessies
Geloofwaardigheid angstige verwachting. Zoals figuur 3 laat zien, scoorde deelnemer 1 op de geloofwaardigheid van de angstige verwachting bij twee van de vier VR-situaties na afloop van de VR-sessie lager dan voorafgaand aan de VR-sessie. Bij de andere twee situaties was geen verandering.

Figuur 3 Geloofwaardigheid van de angstige verwachting van deelnemer 1 voor en na een VR-sessie per VR-situatie. De X-as geeft de meetmomenten weer (voor en na de VR-sessie) en de Y-as de geloofwaardigheidsscores (0 tot 10) per VR-situatie.
Angstactivatie (SUD-piek) en overeenkomst. Zoals tabel 1 laat zien, scoorde deelnemer 1 op de SUD-piek voor alle situaties hoog. De overeenkomst tussen de VR-situaties en de persoonlijk meest gevreesde situatie was vooral zichtbaar voor supermarkt en tuinfeest.
Tabel 1 Angstactivatie en overeenkomst deelnemer 1
| VR-sessies | SUD-piek (0-10) | Overeenkomst (0-10) |
|---|---|---|
| VR 1: Busreis | 10 | 5 |
| VR 2: Winkelstraat | 9 | 2 |
| VR 3: Supermarkt | 10 | 9 |
| VR 4: Tuinfeest | 10 | 8 |
Noot. SUD = Subjective Units of Distress
Klachtenverloop (monitoren klachtentoename)
Zoals figuur 4 laat zien, waren de totaalscores op de voormeting 46 (DASS-21) en 25 (IDS-SR), en op de nameting 40 (DASS-21) en 21 (IDS-SR). Er was geen duidelijke trend van klachtentoename zichtbaar.

Figuur 4 Klachtenverloop deelnemer 1. Totaalscore op de DASS-21 en IDS-SR van deelnemer 1 voor en na de VR-module. De X-as geeft de meetmomenten weer (voormeting en nameting) en de Y-as de totaalscore op de DASS-21 (0-126) en de IDS-SR (0-84).
Deelnemer 2
Bereidheid tot exposure in vivo
Zoals figuur 5 laat zien, scoorde deelnemer 2 op de bereidheid tot exposure in vivo na de eerste VR-sessie bij één situatie hoger (busreis) en bij drie situaties lager (tuinfeest, winkelstraat, persoonlijk meest gevreesde situatie) dan bij de voormeting. De score op supermarkt bleef onveranderd hoog over de tijd. De score op busreis bleef over de tijd hoger en de persoonlijk meest gevreesde situatie lager dan bij de voormeting. De score op tuinfeest en winkelstraat wisselden over de tijd.

Figuur 5 Bereidheid tot exposure in vivo van deelnemer 2 aan de vijf situaties (vier VR-situaties en de persoonlijk meest gevreesde situatie). De X-as geeft de meetmomenten weer (voormeting, na de VR-sessies en nameting) en de Y-as de bereidheidsscores (0 tot 10).
Angst voor exposure in vivo
Zoals figuur 6 laat zien, scoorde deelnemer 2 op de angst voor exposure in vivo bij twee situaties bij de nameting hoger dan bij de voormeting. De score op één situatie was bij de nameting lager dan bij de voormeting. Bij twee situaties was geen verandering zichtbaar. Er was geen duidelijke trend van toename of afname zichtbaar.

Figuur 6 Angst voor exposure in vivo van deelnemer 2 aan de vijf situaties (vier VR-situaties en de persoonlijk meest gevreesde situatie). De X-as geeft de meetmomenten weer (voormeting en nameting) en de Y-as de angstscores (0 tot 8).
Geschiktheid VR-sessies
Geloofwaardigheid angstige verwachting. Zoals figuur 7 laat zien, scoorde deelnemer 2 op de geloofwaardigheid van de angstige verwachting bij drie van de vier VR-situaties na afloop van de VR-sessie lager dan voorafgaand aan de VR-sessie. Bij één situatie was geen verandering.

Figuur 7 Geloofwaardigheid van de angstige verwachting van deelnemer 2 voor en na een VR-sessie per VR-situatie. De X-as geeft de meetmomenten weer (voor en na de VR-sessie) en de Y-as de geloofwaardigheidsscores (0 tot 10) per VR-situatie.
Angstactivatie (SUD-piek) en overeenkomst. Zoals tabel 2 laat zien, scoorde deelnemer 2 op de SUD-piek voor twee situaties gemiddeld en twee situaties laag. De overeenkomst tussen de VR-situaties en de persoonlijk meest gevreesde situatie was voor geen enkele situatie hoog.
Tabel 2 Angstactivatie en overeenkomst deelnemer 2
| VR-sessies | SUD-piek (0-10) | Overeenkomst (0-10) |
|---|---|---|
| VR 1: Busreis | 6 | 5 |
| VR 2: Winkelstraat | 6 | 5 |
| VR 3: Supermarkt | 2 | 4 |
| VR 4: Tuinfeest | 2 | 4 |
Noot. SUD = Subjective Units of Distress
Klachtenverloop (monitoren klachtentoename)
Zoals figuur 8 laat zien, waren de totaalscores op de voormeting 74 (DASS-21) en 33 (IDS-SR), en op de nameting 28 (DASS-21) en 13 (IDS-SR). Er was geen duidelijke trend van klachtentoename zichtbaar.

Figuur 8 Klachtenverloop deelnemer 2. Totaalscore op de DASS-21 en IDS-SR van deelnemer 2 voor en na de VR-module. De X-as geeft de meetmomenten weer (voormeting en nameting) en de Y-as de totaalscore op de DASS-21 (0-126) en de IDS-SR (0-84).
Deelnemer 3
Bereidheid tot exposure in vivo
Zoals figuur 9 laat zien, scoorde deelnemer 3 op de bereidheid tot exposure in vivo na de eerste VR-sessie bij drie situaties (busreis, tuinfeest, persoonlijk meest gevreesde situatie) hoger dan bij de voormeting. Er was een trend van toename zichtbaar. Bij twee situaties (winkelstraat en supermarkt) bleven de scores over de tijd onveranderd hoog.

Figuur 9 Bereidheid tot exposure in vivo van deelnemer 3 aan de vijf situaties (vier VR-situaties en de persoonlijk meest gevreesde situatie). De X-as geeft de meetmomenten weer (voormeting, na de VR-sessies en nameting) en de Y-as de bereidheidsscores (0 tot 10).
Angst voor exposure in vivo
Zoals figuur 10 laat zien, scoorde deelnemer 3 op de angst voor exposure in vivo bij alle situaties bij de nameting lager dan bij de voormeting. Er was een trend van afname zichtbaar.

Figuur 10 Angst voor exposure in vivo van deelnemer 3 aan de vijf situaties (vier VR-situaties en de persoonlijk meest gevreesde situatie). De X-as geeft de meetmomenten weer (voormeting en nameting) en de Y-as de angstscores (0 tot 8).
Geschiktheid VR-sessies
Geloofwaardigheid angstige verwachting. Zoals figuur 11 laat zien, scoorde deelnemer 3 op de geloofwaardigheid van de angstige verwachting bij alle VR-situaties na afloop van de VR-sessie lager dan voorafgaand aan de VR-sessie. Er was een trend van afname zichtbaar.

Figuur 11 Geloofwaardigheid van de angstige verwachting van deelnemer 3 voor en na een VR-sessie per VR-situatie. De X-as geeft de meetmomenten weer (voor en na de VR-sessie) weer en de Y-as de geloofwaardigheidsscores (0 tot 10) per VR-situatie.
Angstactivatie (SUD-piek) en overeenkomst. Zoals tabel 3 laat zien, scoorde deelnemer 3 op de SUD-piek voor alle situaties hoog. De overeenkomst tussen de VR-situaties en de persoonlijk meest gevreesde situatie ontbreekt vanwege een fout in de dataverzameling.
Tabel 3 Angstactivatie en overeenkomst deelnemer 3
| VR-sessies | SUD-piek (0-10) | Overeenkomst (0-10) |
|---|---|---|
| VR 1: Busreis | 9 | Onbekend |
| VR 2: Winkelstraat | 9 | Onbekend |
| VR 3: Supermarkt | 9 | Onbekend |
| VR 4: Tuinfeest | 9 | Onbekend |
Noot. SUD = Subjective Units of Distress
Klachtenverloop (monitoren klachtentoename)
Zoals figuur 12 laat zien, waren de totaalscores op de voormeting 76 (DASS-21) en 32 (IDS-SR), en op de nameting 50 (DASS-21) en 26 (IDS-SR). Er was geen duidelijke trend van klachtentoename zichtbaar.

Figuur 12 Klachtenverloop deelnemer 3. Totaalscore op de DASS-21 en IDS-SR van deelnemer 3 voor en na de VR-module. De X-as geeft de meetmomenten weer (voormeting en nameting) en de Y-as de totaalscore op de DASS-21 (0-126) en de IDS-SR (0-84).
Deelnemer 4
Bereidheid tot exposure in vivo
Zoals figuur 13 laat zien, scoorde deelnemer 4 op de bereidheid tot exposure in vivo na de eerste VR-sessie bij één situatie (persoonlijk meest gevreesde situatie) hoger dan bij de voormeting. Deze score bleef over de tijd hoger dan bij de voormeting. Er was een trend van toename zichtbaar. Bij twee situaties (tuinfeest en busreis) was geen duidelijke trend van toename of afname zichtbaar. Bij twee situaties (winkelstraat en supermarkt) bleven de scores over de tijd onveranderd hoog.

Figuur 13 Bereidheid tot exposure in vivo van deelnemer 4 aan de vijf situaties (vier VR-situaties en de persoonlijk meest gevreesde situatie). De X-as geeft de meetmomenten weer (voormeting, na de VR-sessies en nameting) en de Y-as de bereidheidsscores (0 tot 10).
Angst voor exposure in vivo
Zoals figuur 14 laat zien, scoorde deelnemer 4 op de angst voor exposure in vivo bij vier van de vijf situaties bij de nameting hoger dan bij de voormeting. Bij één situatie was geen verandering.

Figuur 14 Angst voor exposure in vivo van deelnemer 4 aan de vijf situaties (vier VR-situaties en de persoonlijk meest gevreesde situatie). De X-as geeft de meetmomenten weer (voormeting en nameting) en de Y-as de angstscores (0 tot 8).
Geschiktheid VR-sessies
Geloofwaardigheid angstige verwachting. Zoals figuur 15 laat zien, scoorde deelnemer 4 op de geloofwaardigheid van de angstige verwachting bij één situatie (supermarkt) na afloop van de VR-sessie hoger dan voorafgaand aan de VR-sessie. Bij de andere drie situaties was geen verandering.

Figuur 15 Geloofwaardigheid van de angstige verwachting van deelnemer 4 voor en na een VR-sessie per VR-situatie. De X-as geeft de meetmomenten weer (voor en na de VR-sessie) en de Y-as de geloofwaardigheidsscores (0 tot 10) per VR-situatie.
Angstactivatie (SUD-piek) en overeenkomst. Zoals tabel 4 laat zien, scoorde deelnemer 4 op de SUD-piek voor twee situaties gemiddeld en twee situaties laag. De overeenkomst tussen de VR-situaties en de persoonlijk meest gevreesde situatie was vooral zichtbaar voor tuinfeest.
Tabel 4 Angstactivatie en overeenkomst deelnemer 4
| VR-sessies | SUD-piek (0-10) | Overeenkomst (0-10) |
|---|---|---|
| VR 1: Busreis | 1 | 1 |
| VR 2: Winkelstraat | 2 | 2 |
| VR 3: Supermarkt | 5 | 4 |
| VR 4: Tuinfeest | 6 | 7 |
Noot. SUD = Subjective Units of Distress
Klachtenverloop (monitoren klachtentoename)
Zoals figuur 16 laat zien, waren de totaalscores op de voormeting 46 (DASS-21) en 36 (IDS-SR), en op de nameting 58 (DASS-21) en 41 (IDS-SR). Er was een trend van klachtentoename zichtbaar.

Figuur 16 Klachtenverloop deelnemer 4. Totaalscore op de DASS-21 en IDS-SR van deelnemer 4 voor en na de VR-module. De X-as geeft de meetmomenten weer (voormeting en nameting) en de Y-as de totaalscore op de DASS-21 (0-126) en de IDS-SR (0-84).
Deelnemer 5
Bereidheid tot exposure in vivo
Zoals figuur 17 laat zien, is er een trend van toename en vervolgens afname van bereidheid tot exposure in vivo zichtbaar bij deelnemer 5 over de tijd. De bereidheid is bij alle vijf situaties bij de nameting lager dan bij VR-sessie 4.

Figuur 17 Bereidheid tot exposure in vivo van deelnemer 5 aan de vijf situaties (vier VR-situaties en de persoonlijk meest gevreesde situatie). De X-as geeft de meetmomenten weer (voormeting, na de VR-sessies en nameting) en de Y-as de bereidheidsscores (0 tot 10).
Angst voor exposure in vivo
Zoals figuur 18 laat zien, scoorde deelnemer 5 op de angst voor exposure in vivo bij alle situaties bij de nameting lager dan bij de voormeting. Er was een trend van afname zichtbaar.

Figuur 18 Angst voor exposure in vivo van deelnemer 5 aan de vijf situaties (vier VR-situaties en de persoonlijk meest gevreesde situatie). De X-as geeft de meetmomenten weer (voormeting en nameting) en de Y-as de angstscores (0 tot 8).
Geschiktheid VR-sessies
Geloofwaardigheid angstige verwachting. Zoals figuur 19 laat zien, scoorde deelnemer 5 op de geloofwaardigheid van de angstige verwachting bij drie situaties na afloop van de VR-sessie lager dan voorafgaand aan de VR-sessie. Er was een trend van toename zichtbaar. Bij één situatie (busreis) was geen verandering.

Figuur 19 Geloofwaardigheid van de angstige verwachting van deelnemer 5 voor en na een VR-sessie per VR-situatie. De X-as geeft de meetmomenten weer (voor en na de VR-sessie) en de Y-as de geloofwaardigheidsscores (0 tot 10) per VR-situatie.
Angstactivatie (SUD-piek) en overeenkomst. Zoals tabel 5 laat zien, scoorde deelnemer 5 op de SUD-piek hoger voor de eerste twee VR-situaties. De overeenkomst tussen de VR-situaties en de persoonlijk meest gevreesde situatie was voor geen enkele situatie hoog.
Tabel 5 Angstactivatie en overeenkomst deelnemer 5
| VR-sessies | SUD-piek (0-10) | Overeenkomst (0-10) |
|---|---|---|
| VR 1: Busreis | 7 | 4 |
| VR 2: Winkelstraat | 7 | 4 |
| VR 3: Supermarkt | 4 | 4 |
| VR 4: Tuinfeest | 5 | 3 |
Noot. SUD = Subjective Units of Distress
Klachtenverloop (monitoren klachtentoename)
Zoals figuur 20 laat zien, waren de totaalscores op de voormeting 50 (DASS-21) en 33 (IDS-SR), en op de nameting 44 (DASS-21) en 35 (IDS-SR). Er was geen duidelijk trend van klachtentoename zichtbaar.

Figuur 20 Klachtenverloop deelnemer 5. Totaalscore op de DASS-21 en IDS-SR van deelnemer 5 voor en na de VR-module. De X-as geeft de meetmomenten weer (voormeting en nameting) en de Y-as de totaalscore op de DASS-21 (0-126) en de IDS-SR (0-84).
Deelnemer 6
Bereidheid tot exposure in vivo
Zoals figuur 21 laat zien, scoorde deelnemer 6 de bereidheid tot exposure in vivo na de eerste VR-sessie bij vier situaties hoger dan bij de voormeting. De bereidheid van deze vier VR-situaties wisselde vervolgens over de tijd. Wel bleef de bereidheid bij de vier situaties hoger dan bij de voormeting. Bij één situatie (tuinfeest) was geen verandering over de tijd.

Figuur 21 Bereidheid tot exposure in vivo van deelnemer 6 aan de vijf situaties (vier VR-situaties en de persoonlijk meest gevreesde situatie). De X-as geeft de meetmomenten weer (voormeting, na de VR-sessies en nameting) en de Y-as de bereidheidsscores (0 tot 10).
Angst voor exposure in vivo
Zoals figuur 22 laat zien, scoorde deelnemer 6 op de angst voor exposure in vivo bij drie situaties bij de nameting lager dan bij de voormeting. Er was een trend van afname zichtbaar. Bij twee situaties was geen verandering.

Figuur 22 Angst voor exposure in vivo van deelnemer 6 aan de vijf situaties (vier VR-situaties en de persoonlijk meest gevreesde situatie). De X-as geeft de meetmomenten weer (voormeting en nameting) en de Y-as de angstscores (0 tot 8).
Geschiktheid VR-sessies
Geloofwaardigheid angstige verwachting. Zoals figuur 23 laat zien, scoorde deelnemer 6 op de geloofwaardigheid van de angstige verwachting bij alle situaties na afloop van de VR-sessie lager dan voorafgaand aan de VR-sessie. Er was een trend van afname zichtbaar.

Figuur 23 Geloofwaardigheid van de angstige verwachting van deelnemer 6 voor en na een VR-sessie per VR-situatie. De X-as geeft de meetmomenten weer (voor en na de VR-sessie) en de Y-as de geloofwaardigheidsscores (0 tot 10) per VR-situatie.
Angstactivatie (SUD-piek) en overeenkomst. Zoals tabel 6 laat zien, scoorde deelnemer 6 op de SUD-piek het hoogst op winkelstraat en supermarkt. De overeenkomst tussen deze twee VR-situaties en de persoonlijk meest gevreesde situatie was ook het meest zichtbaar.
Tabel 6 Angstactivatie en overeenkomst deelnemer 6
| VR-sessies | SUD-piek (0-10) | Overeenkomst (0-10) |
|---|---|---|
| VR 1: Busreis | 7 | 4 |
| VR 2: Winkelstraat | 8,5 | 7 |
| VR 3: Supermarkt | 8 | 6 |
| VR 4: Tuinfeest | 7 | 4 |
Noot. SUD = Subjective Units of Distress
Klachtenverloop (monitoren klachtentoename)
Zoals figuur 24 laat zien, waren de totaalscores op de voormeting 54 (DASS-21) en 45 (IDS-SR), en op de nameting 40 (DASS-21) en 44 (IDS-SR). Er was geen duidelijk trend van klachtentoename zichtbaar.

Figuur 24 Klachtenverloop deelnemer 6. Totaalscore op de DASS-21 en IDS-SR van deelnemer 6 voor en na de VR-module. De X-as geeft de meetmomenten weer (voormeting en nameting) en de Y-as de totaalscore op de DASS-21 (0-126) en de IDS-SR (0-84).
Kwalitatieve evaluatie van de VR-module door de deelnemers (semigestructureerd interview)
Vier van de zes deelnemers rapporteerden dat de blootstelling aan de onderzoekafspraak en het dragen van de VR-bril al angstinducerend waren. Drie deelnemers noemden als voordeel van de VR-module dat zij in een angstinducerende situatie terechtkwamen in aanwezigheid van de behandelaar. Door de feedback van de behandelaar werden zij zich meer bewust van hun gevoelens en gedrag (deelnemers 4, 5 en 6). Alle deelnemers rapporteerden dat een sessieduur van een uur passend was. Twee deelnemers gaven aan dat meerdere pauzes (waarbij de VR-bril werd afgezet) binnen een uur nodig waren (deelnemers 5 en 6). Volgens alle deelnemers was de drempel tot exposure in vivo voor enkele VR-situaties enigszins verlaagd na de VR. Vier van de zes deelnemers rapporteerden dat blootstelling aan VR-situaties die overeenkwamen met gevreesde situaties in het dagelijks leven het meest drempelverlagend waren (deelnemers 1, 2, 3 en 5).
Als verbeterpunten rapporteerden alle deelnemers dat: (1) niet alle VR-situaties voor hen voldoende angst opriepen, en (2) zij niet overeenkwamen met de persoonlijk meest gevreesde situatie. Hierdoor voelde de VR-module niet als volledig passend. Vijf deelnemers vonden de VR-situaties te rustig (deelnemers 1, 2, 3, 4 en 5). Vier van de zes deelnemers vonden het uiterlijk en de stem van de karakters in de VR-situaties onrealistisch (deelnemers 2, 4, 5 en 6). Twee deelnemers misten een VR-situatie waarin zij werden blootgesteld aan autorijden (deelnemers 1 en 2). Twee deelnemers rapporteerden dat er verbetering nodig was in hoe de behandelaar de VR-module uitvoerde. Als voorbeeld noemde een deelnemer dat de behandelaar fouten maakte met de stemvervormer, waardoor een karakter gedurende één VR-sessie verschillende stemmen had (deelnemer 5). Deelnemer 3 noemde als voorbeeld dat zijn virtuele lengte tijdens een VR-sessie verkeerd was ingesteld, waardoor de verhoudingen niet klopte. Deze voorbeelden maakten de virtuele ervaring minder realistisch en minder angstinducerend. Als bijwerkingen tijdens de VR-sessies werden evenwichtsproblemen (deelnemers 3, 5 en 6) en misselijkheid (deelnemers 3 en 4) gerapporteerd. Na de VR-sessies werd hoofdpijn gerapporteerd (deelnemers 3, 4, en 6).
Discussie
In deze pilotstudie werden de ervaringen van zes patiënten met een paniekstoornis en/of sociale-angststoornis met een kortdurende VR-module voorafgaand aan een behandeling met exposure in vivo onderzocht. Het primaire doel van deze pilotstudie was om te evalueren of er aanwijzingen zijn dat VR voorafgaand aan een behandeling met exposure in vivo: (1) de bereidheid tot exposure in vivo vergroot, en (2) de angst voor exposure in vivo verlaagt.
Bij vier van de zes deelnemers werd na één VR-sessie hogere bereidheid tot exposure in vivo gezien bij het merendeel van de situaties waartoe de bereidheid bij de voormeting relatief laag was. Deze resultaten geven dus voorzichtige aanwijzingen dat het aanbieden van VR-exposure voorafgaand aan exposure in vivo de bereidheid tot exposure in vivo kan vergroten voor situaties waartoe de bereidheid relatief laag is. Er bleek na één VR-sessie geen duidelijke trend van toename in bereidheid tijdens het verdere verloop van de VR-module. Het uitblijven van een duidelijke trend van toename in bereidheid na de eerste sessie is een mogelijke aanwijzing dat één VR-sessie voorafgaand aan een behandeling met exposure in vivo afdoende zou kunnen zijn om de bereidheid tot exposure in vivo te vergroten.
Overeenkomstige bevindingen werden zichtbaar met betrekking tot de angst voor exposure in vivo. Ook werd er bij vier van de zes deelnemers lagere angst voor exposure in vivo gezien bij het merendeel van de situaties waartoe de angst bij de voormeting relatief hoog was. De resultaten zouden er dus op kunnen wijzen dat het aanbieden van VR-exposure voorafgaand aan exposure in vivo van meerwaarde is bij situaties die in vivo een relatief hoge mate van angst oproepen. De resultaten geven een eerste voorlopige indruk dat VR-exposure deze relatief hoge angstniveaus kan verlagen. Bovenstaande bevindingen lijken in lijn met eerdere meta-analyses die aantonen dat VR-exposure positieve veranderingen op angstsymptomen kan bewerkstelligen (van Loenen et al., 2022). Deze pilotstudie geeft voorzichtige aanwijzingen dat VR de bereidheid vergroot en de angst verlaagt wanneer per individu de juiste VR-situatie geselecteerd wordt: een situatie met een lage bereidheid en/of hoge angst.
Daarnaast werd in deze pilotstudie de geschiktheid van de VR-sessies geëvalueerd. Onderzocht werd in hoeverre er aanwijzingen zijn dat de VR-sessies: (1) de geloofwaardigheid van de angstige verwachtingen verlagen, (2) angst activeren en (3) overeenkomen met de persoonlijk meest gevreesde situatie. Bij vier van de zes deelnemers was de geloofwaardigheid van de angstige verwachting bij het merendeel van de VR-sessies na afloop lager dan voorafgaand aan de sessie.
Deze bevinding geeft voorzichtige aanwijzingen dat de sessies in de VR-module geschikt lijken te zijn om de betekenis van angstinducerende situaties te veranderen. Net als bij exposure in vivo zou disconfirmatie tijdens de VR-module dus samen kunnen gaan met angstreductie (Vervliet et al., 2014). Daarnaast scoorden drie van de zes deelnemers bij alle VR-sessies relatief hoge angstscores (score 6 of hoger). Daarentegen rapporteerden alle deelnemers bij de kwalitatieve evaluatie van de VR-module dat niet alle VR-sessies voldoende angst opriepen. Deze bevinding sluit aan bij de scores van de deelnemers met betrekking tot de mate waarin de VR-sessies overeenkwamen met de persoonlijk meest gevreesde situatie. Alle deelnemers gaven aan dat het merendeel van de VR-sessies in relatief laag tot gemiddelde mate (score 5 of lager) overeenkwam met de persoonlijk meest gevreesde situatie. Het overgrote deel van de deelnemers (vijf van de zes) vond de VR-sessies te rustig. Vier van de zes deelnemers vond het uiterlijk en de stem van de karakters onrealistisch. Bovendien leek volgens twee deelnemers verbetering nodig in de uitvoering van de VR-sessies door de behandelaar om de VR-sessies realistisch en angstinducerend te maken. Net als bij exposure in vivo (Pittig et al., 2019) lijken er voor de behandelaar dus ook bij VR praktische barrières te zijn om een succesvolle exposurebehandeling aan te kunnen bieden. Al met al geven deze resultaten aan dat er verbetering nodig lijkt te zijn in de VR-sessies om voldoende angst te activeren en ze overeen te laten komen met de persoonlijk meest gevreesde situatie.
Tot slot werd het klachtenverloop (angst- en stemmingsklachten) geëvalueerd om eventuele (ernstige) bijwerkingen in de vorm van een klachtentoename te monitoren. Angst- en stemmingsklachten werden gemeten met de DASS-21 en IDS-SR. Bij vijf van de zes deelnemers was er geen duidelijke trend van klachtentoename op de DASS-21 en IDS-SR zichtbaar. Bij één deelnemer (deelnemer 4) was wel een trend van klachtentoename zichtbaar. Het is onduidelijk welke patiëntkenmerken hierbij een rol hebben kunnen spelen. Daarnaast werden door vier van de zes deelnemers relatief milde bijwerkingen gedurende de VR-module gerapporteerd. Deze bestonden uit: evenwichtsproblemen (drie deelnemers), misselijkheid (twee deelnemers) en hoofdpijn (drie deelnemers). Deze relatief milde bijwerkingen zijn herkenbaar bij het gebruik van VR (Tian et al., 2022). De resultaten geven dus eerste aanwijzingen dat de VR-module voor het merendeel van de deelnemers relatief veilig lijkt te zijn. Hierbij dient opgemerkt te worden dat er wel individuele verschillen lijken te bestaan. Het lijkt belangrijk om gebruikers van de VR-module te informeren over mogelijke relatief milde bijwerkingen, omdat deze bij het merendeel van de deelnemers voor leken te komen.
Een opvallende bevinding was dat bij bijna alle deelnemers (vijf van de zes) de bereidheid tot exposure in vivo aan het begin van de VR-module al relatief hoog was voor het merendeel van de VR-situaties. Bij meerdere deelnemers was zelfs de bereidheid voor de persoonlijk meest gevreesde situatie al relatief hoog. Een mogelijke verklaring is dat patiënten die op een wachtlijst staan voor een behandeling met exposure in vivo al bereid zijn om deze behandeling aan te gaan. Hierop voortbordurend viel op dat vijf van de elf benaderde patiënten afzagen van deelname aan de studie. Verkregen redenen voor niet deelnemen waren: (1) te gespannen zijn voor de reguliere behandeling, waardoor deelname aan de studie als te belastend werd ervaren; (2) te weinig tijd ervaren voor deelname; en (3) de dreigende bijwerkingen van VR (migraine en misselijkheid). Dit was een opvallende bevinding en lijkt niet in lijn met het onderzoek van Garcia-Palacios en collega's (2007), waarbij deelnemers VR prefereerden boven exposure in vivo. Onze bevinding zou kunnen betekenen dat patiënten de VR-module mogelijk niet specifiek beoordelen als laagdrempeliger dan exposure in vivo. Daarnaast scoorde de helft van de deelnemers de angst voor exposure in vivo al relatief laag voor het merendeel van de VR-situaties. Een mogelijke verklaring is dat de situaties uit de VR-module onvoldoende angst induceren bij de doelgroep van deze pilotstudie (en mogelijk dus onvoldoende passend zijn). Het was opvallend dat de helft van de deelnemers aangaf dat de angst voor exposure in vivo voor de persoonlijk meest gevreesde situatie lager was dan een van de VR-situaties. Het is verleidelijk om over mogelijke verklaringen te speculeren, maar een degelijke onderbouwing daarvoor ontbreekt.
Gezien de bevindingen van dit onderzoek rijst de vraag of een VR-premodule een zinnige aanvulling is op de standaardzorg voor patiënten met een angststoornis die op de wachtlijst staan voor een behandeling met exposure in vivo in de specialistische ggz. De deelnemers aan dit onderzoek hadden voorafgaand aan de VR-module al grotendeels een relatief hoge bereidheid tot exposure in vivo. De VR-situaties induceerden ook geen hoge angst (SUD-piek). Mogelijk is de VR-premodule minder geschikt voor de doelgroep van deze pilotstudie. Wanneer de bereidheid vooraf echter relatief laag was en/of de anticipatieangst voor exposure in vivo relatief hoog was, leek een enkele VR-sessie (maar niet meer) wel behulpzaam te kunnen zijn. Verder onderzoek zou zich kunnen richten op de effecten van een enkele VR-sessie op de bereidheid en anticipatieangst specifiek bij patiënten die op de wachtlijst staan en die zich minder bereid voelen tot exposure in vivo en/of zeer veel anticipatieangst ervaren. Dit onderzoek zou bij voorkeur een meer gecontroleerd design moeten hebben (bijvoorbeeld random toewijzing aan de VR-sessies versus een controlesessie, of een multiple baseline design).
De bevindingen van dit onderzoek dienen echter met voorzichtigheid geïnterpreteerd te worden. Het doel was om een eerste haalbaarheidsstudie uit te voeren via een pilotstudie. Passend bij dit doel is gekozen voor een single case design. De keuze voor dit design maakt het echter niet mogelijk om causale conclusies te trekken of bevindingen te generaliseren naar de totale populatie van de pilotstudie. De resultaten geven dan ook slechts een indicatie voor de haalbaarheid van de module en de vruchtbaarheid voor verder onderzoek. Het onderzoekskader maakte dat de behandelaren deels minder vrijheid hadden in het vormgeven van de VR-exposuresessies dan in de klinische praktijk het geval zou zijn. Het is mogelijk dat een meer gepersonaliseerde en technisch correcte uitvoering grotere effecten heeft op de bereidheid en (anticipatie)angst voor exposure in vivo. Een verdere beperking van het onderzoek is dat maar zes van de elf benaderde patiënten hebben deelgenomen aan de pilotstudie. Hierdoor is er mogelijk sprake geweest van selectiebias, waarbij patiënten die deelnamen aan de studie de VR-module eventueel als minder belastend zouden kunnen ervaren, een hogere of juist lagere lijdensdruk hebben, of meer bereidheid voor exposure in het algemeen ervaren dan patiënten die afzagen van deelname. De uitvoering van de VR was vervolgens niet geheel foutloos. Niet alle VR-sessies bleken achteraf door de behandelaren volledig volgens het draaiboek te zijn uitgevoerd. Zo bleek dat niet bij elke VR-sessie de juiste VR-situatie uit het draaiboek was ingeladen. Ook waren niet alle vragenlijsten goed afgenomen. Bij één deelnemer is een vragenlijst niet afgenomen (deelnemer 3) en bij een andere deelnemer is onduidelijk of de behandelaar bij alle meetmomenten dezelfde persoonlijk meest gevreesde situatie in de vragenlijsten heeft genoteerd (deelnemer 2). Enkele behandelaren ervoeren, ondanks adequate training in VR, moeilijkheden in de uitvoering van de VR-sessies. De door de deelnemers gerapporteerde problemen met de stemvervorming en virtuele lengte maakten dat zij de virtuele ervaring als minder realistisch en angstinducerend beoordeelden. Deze laatste twee beperkingen onderschrijven het belang van goede training van behandelaren in onderzoeksvaardigheden en in het geven van VR, en van constante monitoring daarvan gedurende praktijkonderzoek. Hoewel het niet ging om onbegrijpelijke of geheel onnavolgbare fouten, kunnen zij bij een kleine steekproef een relatief groot effect op de resultaten hebben. De bevindingen geven hierdoor mogelijk een conservatiever beeld dan het maximale potentieel van een dergelijke module.
Vervolgonderzoek zou zich kunnen richten op de vraag welke doelgroep mogelijk meer baat heeft bij een premodule voorafgaand aan exposure in vivo. Gezien de relatief hoge bereidheid en lage angst voor exposure in vivo bij de doelgroep van deze pilotstudie, zou de VR-module mogelijk relevanter zijn voor patiënten met een angststoornis die minder bereid zijn tot en banger voor exposure in vivo. Hierbij kan gedacht worden aan patiënten met een angststoornis die nog niet op een wachtlijst durven te staan voor een behandeling met exposure in vivo.
De resultaten van onze pilotstudie zouden erop kunnen wijzen dat in vervolgonderzoek één VR-sessie voorafgaand aan de behandeling met exposure in vivo mogelijk voldoende is. Tot slot lijkt het nodig om de VR-techniek te verbeteren en behandelaren te monitoren in het consciëntieus uitvoeren van onderzoeksgerelateerde handelingen.
Klinische implicaties
Concluderend geeft deze pilotstudie voorzichtige eerste aanwijzingen dat VR voorafgaand aan een behandeling met exposure in vivo de bereidheid tot exposure in vivo zou kunnen vergroten en de angst zou kunnen verlagen in individuele gevallen, mits een situatie gebruikt wordt met een relatief lage bereidheid tot en/of hoge angst voor exposure in vivo. De VR-module lijkt relatief veilig aangeboden te kunnen worden. Een enkele VR-sessie is mogelijk voldoende. Daarnaast is het de vraag in hoeverre patiënten als groep – in dit geval patiënten met een angststoornis die op de wachtlijst staan voor exposure in vivo in de specialistische ggz – behoefte hebben aan een dergelijke premodule. Er leek relatief hogere bereidheid te zijn al voor de premodule werd afgenomen. Het lijkt op het eerste oog niet evident om deze VR-premodule standaard op te nemen in het aanbod. Deze pilot onderschrijft daarnaast het belang van goede training van behandelaren in onderzoeksvaardigheden en het geven van VR, en constante monitoring daarvan. Onderzoek naar de noodzaak van een dergelijke module binnen andere populaties, met mogelijk één enkele VR-sessie met verbeteringen aan de techniek en uitvoering van de module, zijn mogelijke wegen voor vervolgonderzoek.
Bijlage 1 Semigestructureerd interview
Cliëntnummer:
Datum:
Vragen
Module
- Hoe hebt u VR als module ervaren?
- Hoeveel sessies bent u geweest?
- Hoe ervoer u het aantal sessies? Was het aantal sessies te lang of juist te kort?
- Hoe ervoer u de duur van de sessies?
- Hoe vond u de omgevingen en de virtuele personen?
- Wat ziet u als sterke punten van de VR?
- Wat zijn verbeterpunten?
- In hoeverre zou u de module VR aanraden aan een ander met soortgelijke angstklachten?
- Hebt u een bepaalde VR-omgeving gemist? Of had u een VR-omgeving anders gewild?
Proces
- Bent u van tevoren goed ingelicht over de module?
- Hebt u negatieve bijwerkingen ervaren (zoals misselijkheid, hoofdpijn, duizeligheid) tijdens de VR-module?
- Voelt de VR-module als passend bij uw klachten en hulpvraag?
- Heeft VR voor u de drempel tot het doorbreken van vermijdingsgedrag verlaagd? Of juist niet?
Referenties
- American Psychiatric Association (APA). (2014). Handboek voor de classificatie van psychische stoornissen (DSM-5). Nederlandse vertaling van Diagnostic and Statistical Manual of Mental Disorders, 5th Edition. American Psychiatric Association.
- Bouchard, S., Dumoulin, S., Robillard, G., Guitard, T., Klinger, E., Forget, H., Loranger, C., & Roucaut, F. X. (2017). Virtual reality compared with in vivo exposure in the treatment of social anxiety disorder: A three-arm randomised controlled trial. British Journal of Psychiatry, 210, 276-283. https://doi.org/10.1192/bjp.bp.116.184234
- Chambless, D. L., Caputo, G. C., Jasin, S. E., Gracely, E. J., & Williams, C. (1985). The Mobility Inventory for Agoraphobia. Behaviour Research and Therapy, 23, 35-44. https://doi.org/10.1016/0005-7967(85)90140-8
- Chambless, D. L., Sharpless, B. A., Rodriguez, D., McCarthy, K. S., Milrod, B. L., Khalsa, S. R., & Barber, J. P. (2011). Psychometric properties of the Mobility Inventory for Agoraphobia: Convergent, discriminant, and criterion-related validity. Behavior Therapy, 42, 689-699. https://doi.org/10.1016/j.beth.2011.03.001
- de Beurs, E., van Dyck, R., Marquenie, L. A., Lange, A., & Blonk, R. W. (2001). De DASS: Een vragenlijst voor het meten van depressie, angst en stress. Gedragstherapie, 34, 35-54.
- Fodor, L. A., Coteţ, C. D., Cuijpers, P., Szamosközi, Ş., David, D., & Cristea, I. A. (2018). The effectiveness of virtual reality based interventions for symptoms of anxiety and depression: A meta-analysis. Scientific Reports, 8. https://doi.org/10.1038/s41598-018-28113-6
- Garcia-Palacios, A., Botella, C., Hoffman, H., & Fabregat, S. (2007). Comparing acceptance and refusal rates of virtual reality exposure vs. in vivo exposure by patients with specific phobias. Cyberpsychology & Behavior, 10, 722-724. https://doi.org/10.1089/cpb.2007.9962
- Garcia-Palacios, A., Hoffman, H. G., See, S. K., Tsai, A., & Botella, C. (2001). Redefining therapeutic success with virtual reality exposure therapy. Cyberpsychology & Behavior, 4, 341-348. https://doi.org/10.1089/109493101300210231
- Kampmann, I. L., Emmelkamp, P. M. G., Hartanto, D., Brinkman, W. P., Zijlstra, B. J. H., & Morina, N. (2016). Exposure to virtual social interactions in the treatment of social anxiety disorder: A randomized controlled trial. Behaviour Research and Therapy, 77, 147-156. https://doi.org/10.1016/j.brat.2015.12.016
- Lindner, P. (2021). Better, virtually: The past, present, and future of virtual reality cognitive behavior therapy. International Journal of Cognitive Therapy, 14, 23-46. https://doi.org/10.1007/s41811-020-00090-7
- Lovibond, P. F., & Lovibond, S. H. (1995). The structure of negative emotional states: Comparison of the Depression Anxiety Stress Scales (DASS) with the Beck Depression and Anxiety Inventories. Behaviour Research & Therapy, 33, 335-343. https://doi.org/10.1016/0005-7967(94)00075-u
- Maples-Keller, J. L., Bunnell, B. E., Kim, S. J., & Rothbaum, B. O. (2017). The use of virtual reality technology in the treatment of anxiety and other psychiatric disorders. Harvard Review of Psychiatry, 25, 103. https://doi.org/10.1097/hrp.0000000000000138
- Meesters, Y., Duijzer, W. B., Nolen, W. A., Schoevers, R. A., & Ruhé, H. G. (2016). Inventory of Depressive Symptomatology en verkorte versie in routine outcome monitoring van Stichting Benchmark GGZ. Tijdschrift voor Psychiatrie, 58, 48-54.
- Moovd. (z.d.). Virtual reality exposure therapie. https://moovd.nl/methodes/virtual reality-exposure-therapie
- Pittig, A., Kotter, R., & Hoyer, J. (2019). The struggle of behavioral therapists with exposure: Self-reported practicability, negative beliefs, and therapist distress about exposure-based interventions. Behavior Therapy, 50, 353-366. https://doi.org/10.1016/j.beth.2018.07.003
- Riva, G., Banos, R. M., Botella, C., Mantovani, F., & Gaggioli, A. (2016). Transforming experience: The potential of augmented reality and virtual reality for enhancing personal and clinical change. Frontiers in Psychiatry, 7, 164. https://doi.org/10.3389/fpsyt.2016.00164
- Rush, A. J., Gullion, C. M., Baco, M. R., Jarrett R. B., & Trivedi, M. H. (1996). The Inventory of Depressive Symptomatology (IDS): Psychometric properties. Psychological Medicine, 26, 477-86. https://doi.org/10.1017/s0033291700035558
- Sheehan, D. V., Lecrubier, Y., Sheehan, K. H., Amorim, P., Janavs, J., Weiller, E., & Dunbar, G. C. (1998). The Mini-International Neuropsychiatric Interview (MINI): The development and validation of a structured diagnostic psychiatric interview for DSM-IV and ICD-10. Journal of Clinical Psychiatry, 59, 22-33.
- ter Meulen, W. G., Draisma, S., van Hemert, A. M., Schoevers, R. A., Kupka, R. W., Beekman, A. T., & Penninx, B. W. (2021). Depressive and anxiety disorders in concert – A synthesis of findings on comorbidity in the NESDA study. Journal of Affective Disorders, 284, 85-97. https://doi.org/10.1016/j.jad.2021.02.004
- Tian, N., Lopes, P., & Boulic, R. (2022). A review of cybersickness in head-mounted displays: Raising attention to individual susceptibility. Virtual Reality, 1-33. https://doi.org/10.1007/s10055-022-00638-2
- van Loenen, I., Scholten, W., Muntingh, A., Smit, J., & Batelaan, N. (2022). The effectiveness of virtual reality exposure-based cognitive behavioral therapy for severe anxiety disorders, obsessive compulsive disorder, and posttraumatic stress disorder: Meta-analysis. Journal of Medical Internet Research, 24, e26736. https://doi.org/10.2196/26736
- Vervliet, B., Depreeuw, B., Trenson, C., Conway, T., Zbozinek, M., & Craske, G. (2014). Exposuretherapie maximaliseren: Een benadering volgens het inhibitorisch-leermodel. Gedragstherapie, 47, 296-339.
- Vrendle. (z.d.). Virtual reality (VR) in de zorg met Vrendle. https://vrendle.nl/vr-in-de-zorg
- Watson, J. P., & Marks, I. M. (1971). Relevant and irrelevant fear in flooding – A crossover study of phobic patients. Behavior Therapy, 2, 275-293. https://doi.org/10.1016/s0005-7894(71)80062-x
© 2009-2025 Uitgeverij Boom Amsterdam
De artikelen uit de (online)tijdschriften van Uitgeverij Boom zijn auteursrechtelijk beschermd. U kunt er natuurlijk uit citeren (voorzien van een bronvermelding) maar voor reproductie in welke vorm dan ook moet toestemming aan de uitgever worden gevraagd:
Behoudens de in of krachtens de Auteurswet van 1912 gestelde uitzonderingen mag niets uit deze uitgave worden verveelvoudigd, opgeslagen in een geautomatiseerd gegevensbestand, of openbaar gemaakt, in enige vorm of op enige wijze, hetzij elektronisch, mechanisch door fotokopieën, opnamen of enig andere manier, zonder voorafgaande schriftelijke toestemming van de uitgever.
Voor zover het maken van kopieën uit deze uitgave is toegestaan op grond van artikelen 16h t/m 16m Auteurswet 1912 jo. Besluit van 27 november 2002, Stb 575, dient men de daarvoor wettelijk verschuldigde vergoeding te voldoen aan de Stichting Reprorecht te Hoofddorp (postbus 3060, 2130 KB, www.reprorecht.nl) of contact op te nemen met de uitgever voor het treffen van een rechtstreekse regeling in de zin van art. 16l, vijfde lid, Auteurswet 1912.
Voor het overnemen van gedeelte(n) uit deze uitgave in bloemlezingen, readers en andere compilatiewerken (artikel 16, Auteurswet 1912) kan men zich wenden tot de Stichting PRO (Stichting Publicatie- en Reproductierechten, postbus 3060, 2130 KB Hoofddorp, www.cedar.nl/pro).
No part of this book may be reproduced in any way whatsoever without the written permission of the publisher.
Inloggen VGCt en VVGT
Leden van de VGCt en de VVGT loggen in via de site van hun vereniging. Als u op die site bent ingelogd als lid, vindt u daar een button naar het Tijdschrift voor Gedragstherapie.
English
Behavioral Therapy: Journal for Behavioral Therapy and Cognitive Therapy ISSN 0167-7454
Information in English can be found here.





