Inhoud
Effectiviteit van korte intensieve exposuretherapie
Samenvatting
Een deel van de cliënten met een dwangstoornis (OCS) of paniekstoornis (PS) reageert onvoldoende op reguliere cognitieve gedragstherapie (CGT) of valt terug na behandeling. In dit onderzoek werd de effectiviteit onderzocht van een verkorte, geïntensiveerde exposuretherapie (IET) bij cliënten met OCS en PS die onvoldoende respons hadden na eerdere, reguliere CGT. Hoewel IET eerder onderzocht is in andere doelgroepen, is er nog onvoldoende onderzoek gedaan naar de effectiviteit ervan bij cliënten met persisterende klachten na eerdere behandeling. In twee single-case, gerandomiseerde multiple-baseline studies ontvingen cliënten met OCS (N = 12) of PS (N = 12) IET na een gerandomiseerde wachtperiode. OCS- en PD-klachten namen significant af tijdens de behandeling, en dit effect bleef behouden bij follow-up. Tevens verbeterden depressieve klachten in beide groepen, maar dit effect bleef alleen stabiel bij de PS-groep. Daarnaast werd alleen in de PS-groep verbetering in algeheel functioneren gevonden. Deze resultaten suggereren dat IET mogelijk effectief is voor een complexe cliëntenpopulatie met persisterende OCS en PS na eerdere behandeling.
Kernboodschappen voor de klinische praktijk
- Een deel van de cliënten met een dwangstoornis of een paniekstoornis reageert onvoldoende op reguliere CGT/ERP.
- Intensieve exposuretherapie (IET) is een alternatief voor reguliere CGT.
- Hoewel grotere gerandomiseerde trials nodig zijn om dit te bevestigen, is IET mogelijk effectief voor een complexe cliëntenpopulatie met persisterende dwangstoornis en paniekstoornis na eerdere behandeling.
Inleiding
Cognitieve gedragstherapie (CGT) met exposure (en responspreventie) wordt beschouwd als de richtlijnbehandeling voor zowel de obsessieve-compulsieve stoornis (OCS) als de paniekstoornis (PS) (Bandelow et al., 2023; NICE, 2005, 2011) en laat doorgaans middelgrote tot hoge effect sizes zien (Whiteside et al., 2020). Toch heeft slechts ongeveer 50% van de cliënten met angstklachten daadwerkelijk baat bij CGT (Loerinc et al., 2015). Daarmee blijft er een aanzienlijke groep over die na CGT nog steeds voldoet aan de diagnostische criteria voor een angststoornis (52%; Springer et al., 2018) of die na behandeling terugvalt, namelijk tussen 14 en 54,8% binnen 2-4 jaar (voor een meta-analyse, zie Levy et al., 2021; Scholten et al., 2016). Specifiek geldt dat circa 59% van de cliënten met OCS en 53% met PS terugval ervaart na reguliere CGT (Ali et al., 2017; Eisen et al., 2013). Gezien de impact die angststoornissen hebben (Effertz & Mann, 2013; Iancu et al., 2014) is het belangrijk om behandelmethoden te verbeteren.
De helft profiteert niet genoeg van CGT – er is meer nodig
Verkorte intensieve exposuretherapie (intensified exposure-based therapy, IET) is een veelbelovend alternatief voor bestaande behandelopties. Deze benadering omvat intensievere sessies binnen een kortere behandelperiode (4-8 dagen), met sessieduren van 180-480 minuten Ter vergelijking: richtlijnconforme CGT voor paniekstoornis en OCS bestaat meestal uit wekelijkse sessies van 45-90 minuten. Hierdoor ontstaat meer gelegenheid voor het uitvoeren en herhalen van begeleide exposureoefeningen (Erekson et al., 2015; Heinig et al., 2023; Hendriks et al., 2015; Iversen et al., 2022; Pittig et al., 2021).
Exposure vormt een essentieel onderdeel van IET (Craske et al., 2022; voor een meta-analyse, zie: Ferrando & Selai, 2021). Binnen IET vindt exposure plaats onder begeleiding van een therapeut, in de context waarin cliënten daadwerkelijk angst ervaren (bijvoorbeeld thuis of in het openbaar vervoer). Dit vergroot de kans op adequate uitvoering, herhaling en variatie van oefeningen, en helpt cliënten om vermijding te doorbreken. Door meerdere sessies per dag te combineren met continue begeleiding ontstaan meer kansen op herhaalde exposure binnen korte tijd, wat de consolidatie van nieuw leren kan versterken (Craske et al., 2022).
De geconcentreerde structuur van IET lijkt bovendien behandelbetrokkenheid te vergroten. De beperkte duur en hoge intensiteit verkleinen de kans op vermijding tussen sessies, wat motivatie en therapietrouw kan versterken. Recent onderzoek laat inderdaad zien dat betere therapietrouw samenhangt met betere behandeluitkomsten bij intensieve exposure voor moeilijk behandelbare OCS (Tjelle et al., 2021) en dat motivatie positief gerelateerd is aan behandelrespons, echter deels via verbeterde therapietrouw (Berg et al., 2025). Daarnaast blijkt IET goed geaccepteerd te worden door cliënten: ondanks zorgen onder therapeuten over mogelijke overbelasting (Farrell et al., 2013; Pittig et al., 2019) tonen meerdere studies aan dat IET gepaard gaat met lage uitvalpercentages en ook goed verdragen wordt bij comorbide problematiek (Abramowitz et al., 2003; Chase et al., 2012; Dèttore et al., 2013; Heinig et al., 2023; Jain et al., 2021; Pittig et al., 2021). Een intensieve, goed uitgevoerde inzet van exposure – met nadruk op herhaling, begeleiding en het doorbreken van vermijdingsgedrag – lijkt zo niet alleen leermechanismen effectiever te activeren, maar ook motivatie, therapietrouw en acceptatie te bevorderen, wat bijdraagt aan zowel snelle als duurzame verandering (DiMauro et al., 2013).
Huidige stepped-care richtlijnen adviseren bij het uitblijven van CGT-effect of bij stagnering van de behandeling vaak farmacotherapie of intensivering (onder andere dagopname, klinische opname of een intensievere vorm van therapie), maar sommige van deze alternatieven kennen beperkingen. Medicatie kan effectief zijn (Skapinakis et al., 2016), maar kent vaak bijwerkingen, een hoge terugvalkans na het stoppen (Fineberg et al., 2012; Gartlehner et al., 2008) en beperkte meerwaarde in combinatie met CGT (Cuijpers et al., 2014). Bovendien geven de meeste cliënten de voorkeur aan psychologische behandeling boven medicatie (McHugh et al., 2013). Klinische programma's hebben daarnaast een grote impact op het dagelijks leven, zijn duurder dan ambulante behandeling (Priebe et al., 2006) en bieden weinig ruimte voor gepersonaliseerde exposure in de eigen leefomgeving. Intensivering in de vorm van IET zou hierin een praktisch uitvoerbaar en potentieel effectiever alternatief kunnen zijn, zeker bij cliënten met een moeilijk behandelbare dwang- of paniekstoornis, zoals therapieresistente cliënten (die onvoldoende opknapten na eerdere richtlijnbehandeling) of cliënten die terugvielen na eerdere succesvolle richtlijnbehandeling. Een vierdaagse IET is eerder onderzocht en effectief bevonden in een groepssetting voor paniekstoornis (bijvoorbeeld Iversen et al., 2022) en OCS (Hansen et al., 2018) en voor cliënten met een breed spectrum aan angststoornissen (Pittig et al., 2021). Er is echter nog onvoldoende onderzoek gedaan naar de effectiviteit van IET bij therapieresistente cliënten en cliënten die terugvielen na eerdere richtlijnbehandeling.
Deze studie had als doel de effectiviteit van IET te onderzoeken bij ambulante cliënten met OCS (studie 1) of PS (studie 2) die onvoldoende baat hadden bij reguliere CGT of na eerdere behandeling teruggevallen waren. Er werd gebruikgemaakt van een single-case, gecontroleerd multiple-baseline design, waarbij een gerandomiseerde wachtperiode (3-8 weken) voorafging aan de interventie. Multiple-baseline designs worden steeds vaker ingezet om nieuwe behandelvormen in diverse populaties te toetsen, als waardevolle eerste stap vóór het uitvoeren van grootschalige en kostbare randomised controlled trials (RCT's) (Task Force on Promotion and Dissemination, 1995). Tot op heden is IET nog niet onderzocht bij niet-responderende OCS- of PS-cliënten.
Zowel OCS als PS komt relatief veel voor (Ali et al., 2017; Eisen et al., 2013) en behoort, zeker bij uitblijven van behandelrespons, tot de meest invaliderende psychische aandoeningen (Adam et al., 2012; Goodwin et al., 2005). Therapieresistente cliënten met OCS of PS hebben daarnaast vaak comorbide stoornissen, in het bijzonder depressieve klachten (Klein Breteler et al., 2021). Het is dan ook van belang om niet alleen de effectiviteit van IET op de primaire klachten te onderzoeken, maar ook de rol van comorbide depressieve symptomen hierin mee te nemen.
Studie 1: Obsessieve-compulsieve stoornis
In studie 1 werd onderzocht of IET, bestaande uit exposure en responspreventie (ERP) onder begeleiding van een therapeut, effectief is in het verminderen van OCS-klachten en depressieve symptomen bij cliënten die eerder onvoldoende op behandeling hadden gereageerd. De verwachting was dat de ernst van de OCS-klachten zou afnemen van baseline tot na de behandeling, en dat deze verbetering behouden zou blijven in de follow-upfase. Ook werd verwacht dat depressieve symptomen zouden afnemen en het algemeen functioneren zou toenemen van baseline tot post-behandeling en tijdens follow-up.
Methode
Kenmerken van de deelnemers
Deelnemers werden tussen februari 2015 en januari 2017 gerekruteerd via verwijzingen vanuit eerdere behandelinstellingen of de huisarts. Verwijzingen betroffen cliënten die teruggevallen waren na eerdere CGT voor OCS, of die onvoldoende hadden gereageerd en nog steeds voldeden aan de DSM-criteria voor OCS. Inclusiecriteria waren: [1] een primaire diagnose OCS op basis van de Mini International Neuropsychiatric Interview (MINI; Sheehan et al., 1997), [2] een leeftijd tussen 18 en 70 jaar, [3] een eerdere behandeling met CGT conform de richtlijnen (minimaal 12 wekelijkse sessies, inclusief ERP), [4] een score ≥ 16 op de Yale-Brown Obsessive Compulsive Scale (Y-BOCS; Goodman et al., 1989), en [5] een score ≥ 4 op de Clinical Global Impression Scale (Busner & Targum, 2007).
Voorafgaand aan de behandeling werd informatie verzameld over aard en duur van eerdere behandelingen, inclusief het gebruik van (begeleide of onbegeleide) exposure. Deze informatie werd aangevuld met verwijzingsbrieven, om te verifiëren of de deelnemer eerder protocollaire CGT had ontvangen conform de OCS-behandelrichtlijnen (NICE, 2005). Non-respons werd gedefinieerd als onvoldoende effect of terugval na eerdere protocollaire CGT. Gebruik van antidepressiva of benzodiazepinen was toegestaan (maximaal 30 mg oxazepam per dag), mits de dosering stabiel bleef tijdens de onderzoeksperiode. Exclusiecriteria waren: [1] ernstige, instabiele comorbide stoornissen (depressie, psychose, bipolaire stoornis met suïcidaal gedrag; vastgesteld met de MINI; Sheehan et al., 1997), [2] comorbide verzameldwang, [3] verstandelijke beperking (IQ ≤ 70) of onvoldoende beheersing van het Nederlands, [4] praktische belemmeringen voor deelname (bijvoorbeeld geen kinderopvang), en [5] actuele middelafhankelijkheid in de voorafgaande 12 weken, vastgesteld met de MINI.
Van de 138 verwezen cliënten werden er 68 geïdentificeerd als therapieresistent of terugvallend na eerdere succesvolle behandeling. Van hen voldeden er 61 aan de inclusiecriteria. Uiteindelijk stemden 12 deelnemers in met deelname, terwijl 49 afhaakten vanwege praktische bezwaren: 37 achtten een andere behandeling passender en 12 maakten bezwaar tegen randomisatie. Eén deelnemer viel voor de start uit om medische redenen, ongerelateerd aan behandeling of studieprotocol. Dit resulteerde in 11 deelnemers (zie figuur 1). De studie werd goedgekeurd door de lokale medisch-ethische commissie en geregistreerd in het Nederlands Trial Register (NTR4992). De analyse werd gepreregistreerd voordat de data werden bekeken en geanalyseerd (https://doi.org/10.17605/OSF.IO/EJ5NP).

Figuur 1 Overzicht van de doorstroom van deelnemers binnen het onderzoek (OCS = obsessieve-compulsieve stoornis; PS = paniekstoornis; ERP = exposure en responspreventie)
Onderzoeksopzet
Het onderzoek maakte zoals gezegd gebruik van een single-case multiple-baseline design, dat geschikt is om behandelingseffecten te onderzoeken bij aandoeningen met een geringe kans op spontaan herstel, zoals therapieresistente OCS en PS (Morgan & Morgan, 2001). Deze opzet controleert voor tijdseffecten via vergelijkingen binnen een deelnemer (Kazdin & Weisz, 1998; Oar et al., 2015). Na randomisatie (tijdstip 1) werd iedere deelnemer toegewezen aan een baselineperiode van 2 tot 8 weken, gevolgd door de interventie (fase B). Het design omvatte drie fasen: baseline (fase A), interventie plus post-behandeling (fase B: 7 weken interventie plus 2-8 weken post), en follow-up (4 weken). Tijdens alle fasen werd wekelijks de ernst van OCS-klachten gemeten. Depressieve symptomen en functioneren werden op vier tijdstippen beoordeeld: randomisatie (tijdstip 1), start behandeling (tijdstip 2), na behandeling (tijdstip 3) en 14 weken na baseline (4 weken na de laatste behandeldag; tijdstip 4). De depressieve symptomen en het algeheel functioneren waren secundaire uitkomstmaten en werden daarom minder vaak afgenomen dan de primaire uitkomstmaten. De totale studieduur bedroeg 24 weken per deelnemer.
Behandeling en procedure
De deelnemers namen deel aan een 6-weekse IET (waarvan 2 weken intensief, met 4 intensieve behandeldagen per week en boostersessies in de weken daarna) bestaande uit psycho-educatie, casusconceptualisatie, ERP, betrokkenheid van naasten, huiswerkopdrachten, terugvalpreventie en een module positieve psychologie/kwaliteit van leven. In week 1 werd een gepersonaliseerde casusconceptualisatie opgesteld in een sessie van 90 minuten. In de daaropvolgende 2 weken vonden 8 behandeldagen plaats (4 per week), elk met drie à vier blokken van 90 minuten. De eerste sessie startte op de polikliniek met het plannen van doelen en ERP-oefeningen; de daaropvolgende sessies vonden plaats in relevante contexten in de leefomgeving (zoals thuis of in openbare ruimten), begeleid door een therapeut (zie tabel 1 voor het volledige behandeloverzicht).
Deelnemers voerden daarnaast zelfstandig ERP-oefeningen uit in de middag, avond of weekenden, gericht op zelfeffectiviteit en terugvalpreventie. Familieleden namen minimaal 3 dagen deel aan psycho-educatie en ERP-sessies, gericht op het verminderen van family accommodation (faciliterend gedrag). De daaropvolgende 4 weken bestonden uit wekelijkse consolidatiesessies (vier sessies van 90 minuten), gericht op terugvalpreventie. Iedere deelnemer koos een 'coach' (bijvoorbeeld een vriend of familielid) die aan de derde sessie deelnam om te ondersteunen bij doelen en huiswerk. Daarnaast werden vier sessies positieve psychologie gegeven, gericht op zingeving en het hervatten van bijvoorbeeld sport of sociale activiteiten.
De behandelingen werden uitgevoerd door zes ervaren therapeuten (psychologen en ggz-verpleegkundigen), in een rotatieschema dat eerder effectief bleek (van Minnen et al., 2018). Supervisie vond tweemaal per week plaats. Afwijkingen van het behandelprotocol werden vastgelegd tijdens supervisiesessies. Alle metingen werden uitgevoerd door onafhankelijke, getrainde beoordelaars.
Tabel 1 Behandelformat, meetmomenten en voorbeeld van het behandelprogramma en de therapeutrotatie
| Pre-behandeling (week 1) | Intensieve fase (week 2 en 3) | Boosterfase (week 3 t/m 8) | |||||||||||
|---|---|---|---|---|---|---|---|---|---|---|---|---|---|
| Start 9:00 | Dag 1 (5) (Donderdag) | Dag 2 (6) (Vrijdag) | Zaterdag | Zondag | Dag 3 (7) (Maandag) | Dag 4 (8) (Dinsdag) | Woensdag | Week 4 | Week 5 | Week 6 | Week 7 | Week 8 | |
| Minuten | |||||||||||||
| 90 | Meting A2 | Doelen, motivatie, aanpassing
casusconceptualisatie Therapeut B | Doelen, motivatie, aanpassing casusconceptualisatie Familie (psycho-educatie) Therapeut A | HW Onbegeleide exposure | HW Onbegeleide exposure | Doelen, motivatie, aanpassing
casusconceptualisatie Therapeut B | Doelen, motivatie, aanpassing
casusconceptualisatie Therapeut A | HW Onbegeleide exposure | Exposure Terugvalpreventie TherapeutC | Exposure Terugvalpreventie Therapeut C | Intro coach Exposure Terugvalpreventie Therapeut B | Familie Exposure Terugvalpreventie Therapeut B | Behandelevaluatie en advies (30 minuten) Therapeut A |
| 30 | Cliënt: pauze Therapeut: overdracht | Cliënt: pauze Therapeut: overdracht | Cliënt: pauze Therapeut: overdracht | Meting A3 | |||||||||
| 90 | Casusconceptualisatie, motivatie, doelen Therapeut A | Begeleide exposure Therapeut C | Begeleide exposure Therapeut C | Begeleide exposure Therapeut D | Rebuild life-sessie Therapeut E Therapeut A-D: meeting | Rebuild life-sessie Therapeut E Therapeut A-D: overdracht | |||||||
| 60 | Pauze | ||||||||||||
| 90 | Rebuild life-sessie Therapeut E | Begeleide exposure Therapeut C | Begeleide exposure Therapeut C | Begeleide exposure Therapeut D | Begeleide exposure Therapeut D | ||||||||
| 90 | Homework assignments Onbegeleide exposure Therapeut A-D: meeting | Therapist-assisted ERP Therapeut C | Therapist-assisted ERP Therapeut D | Therapist-assisted ERP Therapeut D | |||||||||
| 17:00-avond | HW Onbegeleide exposure | HW Onbegeleide exposure | HW Onbegeleide exposure | HW Onbegeleide exposure | |||||||||
Noot. HW = huiswerkopdrachten; ERP = exposure en responspreventie; rebuild life-sessie = module of interventie positieve psychologie, bedoeld om andere doelen dan symptoomreductie te bespreken, zoals het hervatten van sport, hobby's, sociale contacten, vrijwilligerswerk of werk/opleiding.
Meetinstrumenten
Voor de primaire uitkomstmaat werd gebruikgemaakt van de Yale-Brown Obsessive Compulsive Scale (Y-BOCS; Goodman et al., 1989). Dit semigestructureerde interview (10 items) meet de ernst van OCS-klachten in de afgelopen week en heeft een goede interne consistentie (α = 0,88-0,91).
De secundaire maat (depressieve klachten) werd gemeten met de Inventory of Depressive Symptomatology - Self-Report (IDS-SR; Rush et al., 2000). De IDS-SR bestaat uit 30 items, heeft goede psychometrische eigenschappen (Nolen & Dingemans, 2004) en werd op vier tijdstippen afgenomen.
Het algemeen functioneren werd gemeten met de Outcome Questionnaire-45.2 (OQ-45.2; Lambert et al., 1996), die algemene mentale gezondheid meet over drie subschalen: Symptoomlast, Relaties en Sociale rol. De OQ-45.2 heeft een hoge interne consistentie (α = 0,93) en test-hertestbetrouwbaarheid (r = 0,93; de Jong et al., 2007).
Data-analyse
De analyse van de effectiviteit van IET op OCS-klachten werd uitgevoerd volgens Kazdins (2019) richtlijnen voor single-case multiple-baseline designs. Hierbij werd gekeken naar: [1] significante verandering in gemiddelde Y-BOCS-scores tussen baseline en interventiefase, [2] verandering in trends (slope), [3] plotselinge verschuiving van klachten bij start van de interventie, en [4] korte tijd tussen start interventie en klachtvermindering. Hoe meer criteria werden onderschreven, des te sterker de aanwijzing dat IET effect had. De analyseprocedure zag er als volgt uit:
- beschrijven en visualiseren van Y-BOCS-scores (Bulté & Onghena, 2009);
- randomisatietest om verschil in Y-BOCS-scores tussen fase A en B te bepalen;
- bepalen van de Reliable Change Index (RCI) op Y-BOCS (klinisch relevant bij RCI > 1,96);
- modelleren van trends in de afhankelijke variabele – de Y-BOCS score – via bayesiaanse mixed-effects modellen (Bürkner, 2017), inclusief follow-up. Met deze modellen kan op zowel persoonsniveau als groepsniveau worden bepaald of een interventie effect heeft. Als het 95%- betrouwbaarheidsinterval geen nul bevatte, werd het effect als significant beschouwd. Verandering in niveau en latentie werd beoordeeld op basis van visualisaties.
Aanvullend werden depressieve klachten en functioneren geanalyseerd met Wilcoxon-rangtoetsen (IDS-SR en OQ-45), zowel tussen baseline en post-behandeling, als tussen baseline en follow-up. Voor beide maten werd ook de RCI berekend.
Resultaten en discussie
Kenmerken van de deelnemers
De 11 deelnemers hadden een gemiddelde leeftijd van 28,45 jaar (SD = 8,32; range 18-47). Acht van hen waren non-responder na reguliere CGT (therapieresistente deelnemers) en drie waren teruggevallen na eerdere succesvolle CGT. Deelnemers rapporteerden verschillende typen OCS: controledwang (cliënten 1, 2, 5, 6, 8, 9), smetvrees (cliënten 3, 4, 6, 10 en uitvaller), symmetrie- of ordedwang (cliënten 1, 5), en ongewenste obsessies (cliënt 7). Zeven deelnemers (inclusief de uitvaller) gebruikten medicatie: sertraline (n = 2), citalopram (n = 2), fluoxetine (n = 1), fluvoxamine (n = 1), oxazepam (n = 2) en diazepam (indien nodig, n = 1) (voor een overzicht, zie tabel 2). Van de deelnemer die uitviel vóór de start van de studie (om medische redenen die losstonden van OCS of de behandeling) ontbraken deels gegevens.
Tabel 2 Demografische en klinische kenmerken van de cliënten
| OCS1 (N = 11) | PS2 (N = 11) | |
|---|---|---|
| Sekse Mannen, Nr. (%) Leeftijd, M (SD3), range | 2 (18,2) 28,45 (8,72), 18-47 | 7 30,09 (8,57), 19-45 |
| Opleidingsniveau | ||
| Middelbareschooldiploma | - | 3 (27) |
| Mbo-diploma | 6 (56) | 4 (36) |
| Hbo-diploma | 2 (18) | 2 (18) |
| Wo-diploma | 3 (27) | 2 (18) |
| Woonsituatie, Nr. (%) | ||
| Alleenwonend | 3 (28) | 1 (9) |
| Samenwonend met partner | 3 (28) | 4 (36) |
| Samenwonend met familie | 2 (18) | 2 (18) |
| Samenwonend met ouders | 1 (9) | 3 (27) |
| Samenwonend met anderen (studentenhuis, enz.) | 2 (18) | 1 (9) |
| Werksituatie Nr. (%) | ||
| Werkend | 2 (18) | 3 (27) |
| Zonder werk/werkzoekend | 1 (9) | 1 (9) |
| Ziektewetuitkering | 3 (28) | - |
| Arbeidsongeschiktheidsuitkering | 1 (9) | 5 (45) |
| Studerend | 4 (37) | 2 (18) |
| Duur van symptomen, in maanden, M (SD), range | 93,64 (71,36), 12-240 | 65,82 (82,42), 7-228 |
| Duur van eerdere behandeling, in maanden, M (SD), range | 18,75 (22,40), 3-72 | 8,38 (11,30), 2-36 |
| Y-BOCS4/PDSS5 scores bij randomisering, M (SD), range | 26,64 (2,71) 23-30 | 16,31 (5,81), 5,44-25 |
| Axis-I comorbiditeit (huidig), Nr. (%) | 4 (36) | 4 (36) |
| 1 comorbide stoornis | 2(20) | 4 (36) |
| 2 comorbide stoornissen | 2(20) | - |
| Axis-II comorbiditeit, Nr. (%) | 4 (36) | 3 (27) |
| Gebruikt farmacotherapie | 7 (64) | 4 (36) |
Noten. ¹ OCS = obsessieve-compulsieve stoornis; ² PS = paniekstoornis; ³ SD = standaarddeviatie; ⁴ Y-BOCS = Yale-Brown Obsessive-Compulsive Scale; ⁵ PDSS = Panic Disorder Severity Scale
Effect van IET op OCS-klachten
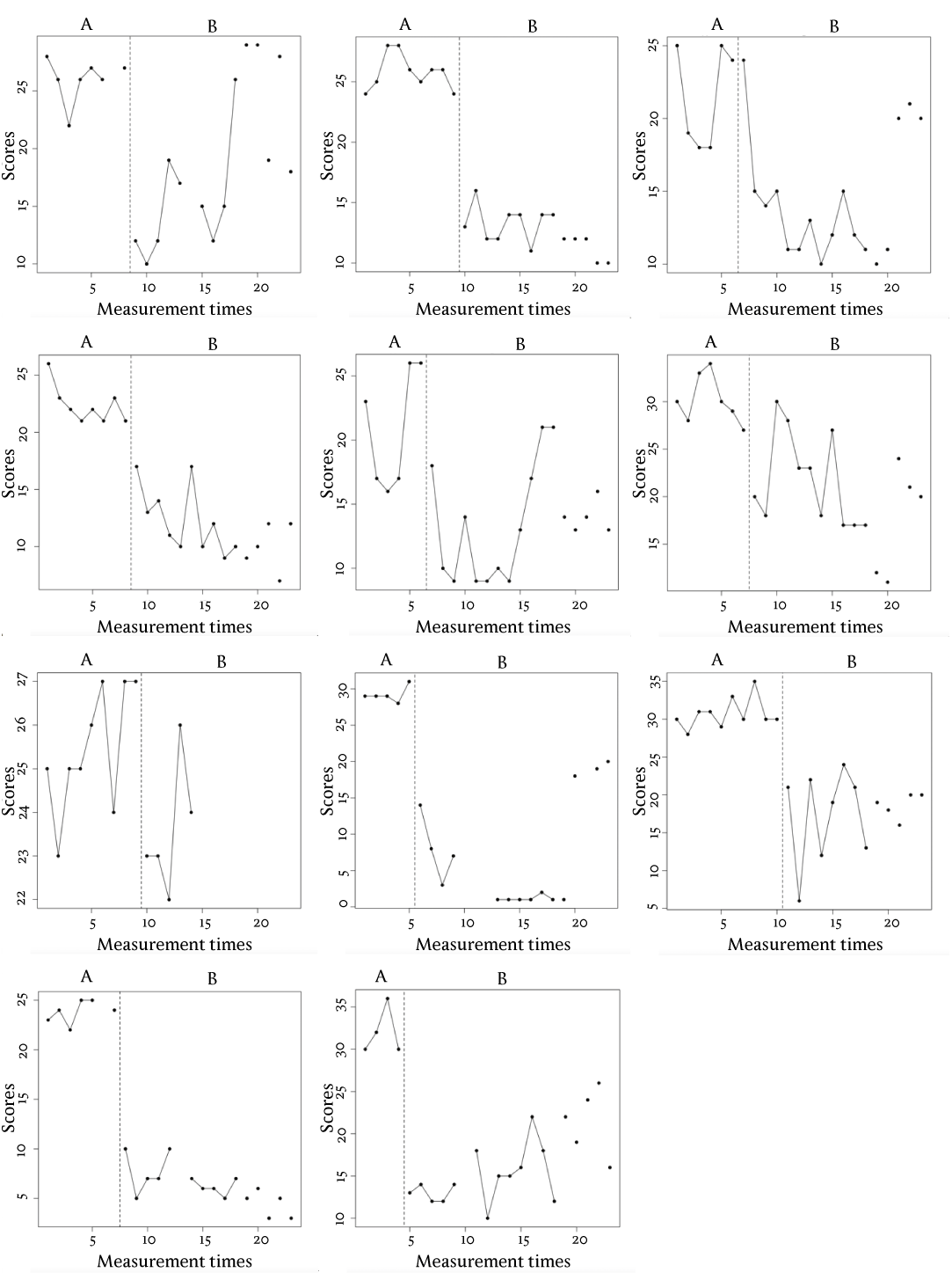
De gemiddelde Y-BOCS-scores per deelnemer zijn weergegeven in figuur 2A. Hoewel de scores enigszins fluctueerden over tijd, liet visuele inspectie bij alle deelnemers een duidelijke verschuiving zien direct na de start van de interventie. Een niet-parametrische randomisatietoets toonde een significante verandering in Y-BOCS-scores tussen baseline en interventiefase. De gecombineerde p-waarde op basis van Edgingtons methode (1972) liet een significante afname van OCS-klachten zien bij de 10 deelnemers die de behandeling voltooiden (p < 0,001), evenals in de intent-to-treat-analyse (p < 0,001). Daarnaast voldeden 10 van de 11 deelnemers (90,9%) aan de klinische afkapwaarde (RCI ≥ 1,96; RCI-range = 0,49-6,74), wat wijst op betrouwbare en klinisch relevante verbetering.
Een bayesiaans mixed-effects model bevestigde deze bevindingen met een significante trendverandering (slope) tussen baseline en interventiefase (B = 6,00, SE = 1,12, 95% CI [3,78, 8,24]) (zie figuur 3). Herhaling van deze analyse tijdens de follow-up toonde behoud van deze resultaten (B = 5,73, SE = 1,00, 95% CI [3,71, 7,74]).
Samengenomen tonen de resultaten een significante verbetering in OCS-klachten, zowel in absolute ernst als in trendverandering, met bovendien een abrupte daling en start van het effect direct na start van IET. Hiermee wordt voldaan aan alle evaluatiecriteria voor effectiviteit (Kazdin, 2016). Deze bevindingen bevestigen de hypothese dat verkorte IET effectief is in het verminderen van OCS-klachten, met blijvend effect op korte termijn.

Figuur 2A Visualisatie van de gemiddelde Y-BOCS-scores per deelnemer tijdens de baselinefase (voor de verticale lijn) en de behandelperiode

Figuur 2B Visualisatie van de gemiddelde PDSS-scores per deelnemer tijdens de baselinefase (voor de verticale lijn) en de behandelperiode

Figuur 3 Individuele Y-BOCS-scores (A) en PDSS-scores (B) per deelnemer gedurende het onderzoek. De regressielijnen per deelnemer laten een algemene afname zien in zowel OCS- als paniekklachten.
Effect van IET op depressieve symptomen en functioneren
De Wilcoxon-rangtoets liet een significante afname van depressieve symptomen zien tussen baseline en post-behandeling (Z = -2,386, p = 0,017). Deze klachtenreductie bleef echter niet behouden wanneer de follow-up fase ook werd geïncludeerd in de analyse (Z = -1,663, p = 0,123). In lijn hiermee voldeed slechts één deelnemer (9,1%) aan de klinisch significante RCI-drempel voor depressie (RCI-range = -0,17-1.49). Voor het algemeen functioneren werden geen significante verbeteringen gevonden, noch van baseline naar post-behandeling (Z = -1,009, p = 0,313), noch naar follow-up (Z = -0,534, p = 0,594). Twee deelnemers (18,2%) voldeden aan de RCI-criteria voor relevante verandering in functioneren (RCI-range = -0,86-4,49) (voor individuele visualisaties, zie figuur 4). Deze resultaten suggereren dat IET mogelijk tijdelijk effect heeft op depressieve symptomen, maar dat dit effect niet duurzaam is. Ook werd geen overtuigend effect gevonden op het algemeen functioneren. De resultaten ondersteunen de hypothese over effectiviteit bij depressie en functioneren dus slechts deels.
OCS: duidelijke klachtenafname, maar weinig verandering in functioneren

Figuur 4 Visualisatie van de IDS-SR depressiescores en OQ-45 functioneren per deelnemer op de meetmomenten: randomisatie (tijdstip 1), baseline (tijdstip 2), na behandeling (tijdstip 3) en follow-up (tijdstip 4). Panels A en B tonen de resultaten voor de OCD-cliëntengroep uit studie 1, en panels C en D tonen de PD-cliëntengroep uit studie 2.
Studie 2: Paniekstoornis
Het doel van studie 2 was het onderzoeken van de effectiviteit van IET met begeleide exposure bij cliënten met een paniekstoornis (PS) die eerder onvoldoende hadden gereageerd op behandeling. De hypothese was dat IET effectief zou zijn in het verminderen van paniekklachten van baseline tot het einde van de behandeling, met behoud van klachtreductie bij de follow-up. Daarnaast werd verwacht dat IET depressieve symptomen zou verminderen en het algemeen functioneren zou verbeteren, eveneens met behoud van klachtreductie op de lange termijn.
Methode
De methodologische opzet was vrijwel identiek aan studie 1. Alleen afwijkende informatie wordt hierna toegelicht.
Deelnemers
Voor studie 2 werden 151 cliënten met een primaire diagnose PS verwezen naar de gespecialiseerde polikliniek. De enige aanvullende inclusiecriteria ten opzichte van studie 1 waren: [1] een primaire diagnose paniekstoornis (eventueel met agorafobie) vastgesteld via de MINI (Sheehan et al., 1997), en [2] een score ≥ 10 op de Panic Disorder Severity Scale (PDSS; Shear et al., 1997). Van de 151 verwezen cliënten werden er 64 geïdentificeerd als therapieresistent of terugvallend na eerdere succesvolle behandeling. Alle 64 potentiële deelnemers voldeden aan de inclusiecriteria. Van hen haakten er 50 af vanwege praktische bezwaren of bezwaar tegen randomisatie (van wie 33 een andere behandeling toch passender achtten en 17 bezwaar hadden tegen randomisatie). Uiteindelijk stemden dus 14 deelnemers in met deelname aan de studie. Na uitval van twee deelnemers (voorafgaand aan de start van de studie en vanwege praktische redenen, ongerelateerd aan de inhoud van de studie of de behandeling) bleef een sample van 12 deelnemers over (zie tabel 2 en zie figuur 1 voor de flowchart van deelnemers).
Behandeling en procedure
De exposure werd specifiek afgestemd op paniekklachten. Cliënten met een paniekstoornis ontvingen verschillende vormen van exposure, net als in studie 1, maar het aandeel interoceptieve exposure was aanzienlijk groter dan in studie 1, in lijn met de richtlijnen voor paniekstoornis (NICE, 2011). Alle andere behandelcomponenten waren identiek aan die in studie 1.
Meetinstrumenten
Voor de primaire uitkomstmaat werd gebruikgemaakt van de Panic Disorder Severity Scale - Self-Report (PDSS-SR; Shear et al., 1997). Deze semigestructureerde klinische interviewscore over de afgelopen week bestaat uit 10 items, heeft goede psychometrische eigenschappen (α = 0,88-0,91) en wordt beschouwd als de gouden standaard voor paniekklachten.
Procedure en data-analyse
De procedure en analysemethoden waren gelijk aan studie 1, met als enige verschil dat de PDSS-SR als primaire uitkomstmaat werd gebruikt.
Resultaten en discussie
Kenmerken van de deelnemers
De 12 deelnemers hadden een gemiddelde leeftijd van 30,09 jaar (SD = 8,57; range 19-45). Allen hadden een primaire diagnose PS én voldeden aan de criteria voor agorafobie. Acht deelnemers waren non-responder na eerdere CGT, drie waren teruggevallen na eerdere CGT. Drie deelnemers (inclusief de uitvaller) gebruikten gedurende het onderzoek een stabiele dosering medicatie: sertraline (n = 1), citalopram (n = 1), paroxetine (n = 1). Eén deelnemer startte pas met sertraline tijdens de laatste follow-upmeting. Van één uitvaller ontbraken deels gegevens om persoonlijke redenen die losstonden van de behandeling.
Effect van IET op paniekklachten
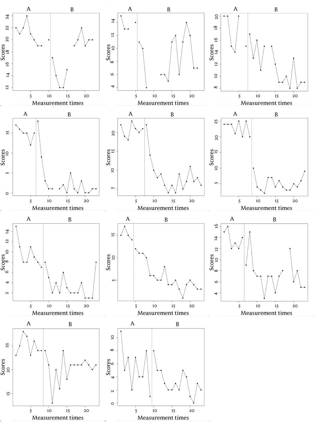
De gemiddelde PDSS-scores per deelnemer zijn weergegeven in figuur 2B. Visuele inspectie liet bij vrijwel alle deelnemers een duidelijke en snelle afname van klachten zien direct na aanvang van de interventie. Een randomisatietoets toonde een significante afname van PDSS-scores van baseline naar de interventiefase. De gecombineerde p-waarde toonde significante klachtenreductie aan bij de tien voltooide behandelingen (p < 0,001), evenals de intent-to-treat-analyse (p < 0,001). Op basis van de RCI liet 63,6% van de deelnemers (7 van 11) een klinisch relevante verandering zien (RCI ≥ 1,96; range RCI = 0,51-5,91).
Bayesiaanse mixed-effects modellen bevestigden deze bevindingen met een significante trendverandering (slope) in de klachten (B = 3,83, SE = 0,84, 95% CI [2,14, 5,50]). Deze winst bleef behouden tijdens de follow-up (B = 3,89, SE = 0,86, 95% CI [2,19, 5,61]). Samengenomen wijzen de resultaten op zowel een significante afname van paniekklachten als een trendverandering van de baseline naar interventiefase. Ook hier werd visueel een abrupte daling met effect van IET direct na start gezien. Hoewel niet alle deelnemers klinisch relevante verandering bereikten, toonde het merendeel een duurzaam effect. De hypothese dat IET effectief is in het verminderen van paniekklachten werd grotendeels bevestigd.
Effect van IET op depressieve symptomen en functioneren
Wilcoxon-rangtoetsen toonden significante afname in depressieve symptomen tussen baseline en post-behandeling (Z = -2,403, p = 0,016), met behoud van klachtenreductie op de follow-up (Z = -1,988, p = 0,047). Vier van de 11 deelnemers (36,4%) bereikten klinisch significante verbetering (RCI-range = -0,33-3,98). Ook op functioneren werd een significante verbetering gevonden tussen baseline en post-behandeling (Z = -2,225, p = 0,026), die behouden bleef bij follow-up (Z = -2,584, p = 0,010). Zes deelnemers (54,6%) voldeden aan de RCI-criteria voor klinisch relevante verandering (RCI-range = -2,99-3,63) (voor individuele visualisaties, zie figuur 4). Deze resultaten bevestigen dat IET een positief effect had op zowel depressieve symptomen als functioneren, op zowel korte als langere termijn. Hoewel ongeveer de helft van de deelnemers klinisch relevante verandering behaalde, tonen de resultaten aan dat IET effectief is op groepsniveau, met duurzame effecten, maar dat deze niet altijd klinisch doorslaggevend zijn voor elke individuele deelnemer.
Paniekstoornis: klachtenreductie en beter functioneren – effecten houden stand
Algemene discussie
In deze studie werd de effectiviteit onderzocht van IET bij cliënten met een OCS of PS die onvoldoende baat hadden gehad bij eerdere CGT (therapieresistente cliënten) of die na eerdere succesvolle behandeling waren teruggevallen. Zowel studie 1 als studie 2 toonde een significante afname van de primaire klachten na IET, waarbij deze verbeteringen behouden bleven tot de follow-up. Dit wijst op een duurzaam effect over tijd.
Visuele interpretatie van klachtenverloop volgens de richtlijnen van Kazdin (2019) toonde stabiele symptomen tijdens de baselinefase, waardoor tijdseffecten konden worden uitgesloten. Deze bevindingen werden verder ondersteund door significantietoetsen en RCI-scores, die bij het merendeel van de deelnemers wezen op klinisch relevante verbetering. Bovendien voldeed 27% van de OCS-deelnemers en 27% van de PS-deelnemers na behandeling niet meer aan de diagnostische criteria voor hun stoornis en/of agorafobie. Daarmee sluiten de bevindingen aan bij eerder onderzoek naar (andere vormen van) IET bij paniekstoornis (Iversen et al., 2022) en OCS, (Hansen et al., 2018) en bij andere klinische populaties (onder andere Abramowitz et al., 2003; Pittig et al., 2021). Verder blijkt uit de bevindingen dat deze aanpak ook toepasbaar is bij therapieresistente cliënten met OCS en PS, alsmede bij cliënten die terug zijn gevallen na eerdere succesvolle richtlijnbehandeling voor OCS en PS. De uitval was laag (n = 2) en niet gerelateerd aan de inhoud van de behandeling, wat de haalbaarheid van IET ondanks de tijdelijke intensiteit ervan ondersteunt (Pittig et al., 2021). Een combinatie van kenmerken die IET typeren, lijkt hierbij de basis te vormen voor het behalen van goede behandelresultaten bij deze complexe cliëntengroep. Met name de mogelijkheid tot begeleide exposure in een passende setting draagt bij aan een zorgvuldig en effectief uitgevoerde behandeling, waarbij inhibitoir leren en het doorbreken van vermijdingsgedrag centraal staan. Voor cliënten met ernstige OCS- of PS-klachten, bij wie de drempel te hoog is om dit zelfstandig aan te gaan, biedt dit belangrijke ondersteuning. Dit vergroot niet alleen de kans op een snelle behandelrespons, maar bevordert ook duurzame verandering, omdat de onderliggende mechanismen krachtiger worden aangesproken (DiMauro et al., 2013). Voor zover bekend zijn er echter geen onderzoeken die een directe vergelijking hebben gemaakt tussen de werkingsmechanismen van reguliere CGT versus IET.
Hoewel een directe vergelijking tussen de OCS- en PS-groep niet mogelijk is, lijken de resultaten enigszins te verschillen. Een kleiner percentage PS-deelnemers behaalde klinisch significante verbetering ten opzichte van de OCS-groep, maar deze deelnemers profiteerden wel breder van IET: er werden significante verbeteringen gevonden in zowel depressieve klachten (behouden bij follow-up) als algemeen functioneren. Bij de OCS-groep werd een afname in depressieve klachten gevonden, maar deze hield geen stand en het functioneren verbeterde niet. Mogelijk hangt dit samen met verschillen in klachtenpresentatie.
Bij OCS richt IET zich in korte tijd op symptoomreductie, terwijl veel OCS-deelnemers langdurige klachten en een uitgebreide behandelgeschiedenis rapporteerden, vaak gepaard met persoonlijkheidsproblematiek. Deze factoren kunnen het herstel van sociale rollen, relaties en werk beïnvloeden, en vergen waarschijnlijk meer tijd. In beide groepen had slechts een minderheid bij aanvang een comorbide depressieve stoornis, wat de beperkte veranderingen op groepsniveau kan verklaren. Ook was de follow-up relatief kort (maximaal 14 weken vanaf baseline; 4 weken na de laatste behandelsessie). Voor evaluatie van duurzame effecten van intensieve behandelingen is een langere follow-up noodzakelijk.
Sterke punten van dit onderzoek zijn de controle op tijdseffecten via het multiple-baseline design, de systematische visuele beoordeling (Kazdin, 2019) en het gebruik van gevalideerde meetinstrumenten. Ondanks de kleine steekproef werd een combinatie van beschrijvende en conservatieve, sterke statistische analyses toegepast, wat de betrouwbaarheid van de bevindingen versterkt. Limitaties van dit onderzoek omvatten de kleine steekproeven, wat de noodzaak voor vervolgonderzoek onderstreept. Een logische vervolgstap is een RCT met grotere samples. Daarnaast is in de huidige studie de follow-up beperkt tot 4 weken, wat onvoldoende inzicht biedt in de langetermijneffecten van IET binnen deze doelgroep. Toekomstig onderzoek moet daarom idealiter langere follow-upperioden hanteren om de duurzaamheid van behandelresultaten adequaat te kunnen beoordelen. Gezien de wachttijden in de ggz en de maatschappelijke kosten is onderzoek naar de kosteneffectiviteit van IET essentieel. Daarbij dient gekeken te worden naar de benodigde 'dosering' van IET, aangezien eerdere studies uiteenlopende maten van intensiteit hanteerden (4-25 dagen; zie onder andere Hansen et al., 2018; Iversen et al., 2022). Heldere richtlijnen hierover ontbreken nog.
Daarnaast lieten de visualisaties grote individuele variatie in klachtenverloop zien. Recente studies wijzen op het belang van het in kaart brengen van individuele veranderingen tijdens behandeling (Hayes & Andrews, 2020). Toekomstig onderzoek zou intensieve metingen tijdens de behandeling moeten bevatten, gericht op intra-individuele processen. Tot slot doet deze studie geen uitspraken over de werkzame elementen van IET, of over de vergelijking tussen reguliere CGT en verkorte IET. Dit zijn belangrijke vragen voor toekomstig onderzoek.
Klinische implicaties
Deze twee studies tonen eerste, bemoedigende aanwijzingen voor de effectiviteit van verkorte IET bij therapieresistente cliënten met OCS of PS die eerder niet voldoende profiteerden van CGT-behandeling. De resultaten onderstrepen dat het aanpassen van de behandelvorm – met name de intensiteit en setting van exposure – het verschil kan maken voor chronisch angstgerelateerde stoornissen. Daarmee vormt dit onderzoek een belangrijke stap richting gerandomiseerd vervolgonderzoek naar IET in grotere, therapieresistente populaties.
De auteurs danken alle deelnemers, therapeuten, onderzoeksassistenten en anderen die aan deze studie hebben bijgedragen. Verder verklaren de auteurs geen conflicterende belangen te hebben. Deze studie kreeg een subsidie van MIND (voorheen Fonds Psychische Gezondheid).
Referenties
- Abramowitz, J. S., Foa, E. B., & Franklin, M. E. (2003). Exposure and ritual prevention for obsessive-compulsive disorder: Effects of intensive versus twice-weekly sessions. Journal of Consulting & Clinical Psychology, 71, 394. https://doi.org/10.1037/0022-006X.71.2.394
- Adam, Y., Meinlschmidt, G., Gloster, A. T., & Lieb, R. (2012). Obsessive-compulsive disorder in the community: 12-month prevalence, comorbidity and impairment. Social Psychiatry & Psychiatric Epidemiology, 47, 339-349. https://doi.org/10.1007/s00127-010-0337-5
- Ali, S., Rhodes, L., Moreea, O., McMillan, D., Gilbody, S., Leach, C., Lucock, M., Lutz, W., & Delgadillo, J. (2017). How durable is the effect of low intensity CBT for depression and anxiety? Remission and relapse in a longitudinal cohort study. Behaviour Research and Therapy, 94, 1-8. https://doi.org/10.1016/j.brat.2017.04.006
- Bandelow, B., Allgulander, C., Baldwin, D. S., Costa, D. L. D. C., Denys, D., Dilbaz, N., Domschke, K., Eriksson, E., Fineberg, N. A., Hättenschwiler, J., Hollander, E., Kaiya, H., Karavaeva, T., Kasper, S., Katzman, M., Kim, Y. K., Inoue, T., Lim, L., Masdrakis, V., Menchón, J. M., … Zohar, J. (2023). World Federation of Societies of Biological Psychiatry (WFSBP) guidelines for treatment of anxiety, obsessive-compulsive and posttraumatic stress disorders – Version 3: Part I: Anxiety disorders. The World Journal of Biological Psychiatry: The Official Journal of the World Federation of Societies of Biological Psychiatry, 24(2), 79-117. https://doi.org/10.1080/15622975.2022.2086295
- Berg, H., Tjelle, K., Solem, S., Hansen, B., Kvale, G., Björgvinsson, T., & Hagen, K. (2025). Motivation in the Bergen 4-day treatment for obsessive-compulsive disorder. BMC Psychiatry, 25, 958. https://doi.org/10.1186/s12888-025-07218-z
- Bulté, I., & Onghena, P. (2009). Randomization tests for multiple-baseline designs: An extension of the SCRT-R package. Behavior Research Methods, 41, 477-485. https://doi.org/10.3758/BRM.41.2.477
- Bürkner, P. (2017). brms: An R package for Bayesian Multilevel Models using Stan. Journal of Statistical Software, 80, 1-28. https://doi.org/10.18637/jss.v080.i01
- Busner, J., & Targum, S. D. (2007). The Clinical Global Impressions Scale: Applying a research tool in clinical practice. Psychiatry (Edgmont (Pa.: Township)), 4, 28-37. www.ncbi.nlm.nih.gov/pubmed/20526405
- Chase, R. M., Whitton, S. W., & Pincus, D. B. (2012). Treatment of adolescent panic disorder: A nonrandomized comparison of intensive versus weekly CBT. Child & Family Behavior Therapy, 34, 305-323. https://doi.org/10.1080/07317107.2012.732873
- Craske, M. G., Treanor, M., Zbozinek, T. D., & Vervliet, B. (2022). Optimizing exposure therapy with an inhibitory retrieval approach and the OptEx Nexus. Behaviour Research & Therapy, 152, 104069. https://doi.org/10.1016/j.brat.2022.104069
- Cuijpers, P., Sijbrandij, M., Koole, S. L., Andersson, G., Beekman, A. T., & Reynolds, C. F. (2014). Adding psychotherapy to antidepressant medication in depression and anxiety disorders: A meta-analysis. World Psychiatry, 13, 56-67. https://doi.org/10.1176/appi.focus.12.3.347
- de Jong, K., Nugter, M. A., Polak, M. G., Wagenborg, J. E. A., Spinhoven, P., & Heiser, W. J. (2007). The Outcome Questionnaire (OQ-45) in a Dutch population: A cross-cultural validation. Clinical Psychology & Psychotherapy, 14, 288-301. https://doi.org/10.1002/cpp.529
- Dèttore, D., Pozza, A., & Coradeschi, D. (2013). Does time-intensive ERP attenuate the negative impact of comorbid personality disorders on the outcome of treatment-resistant OCD? Journal of Behavior Therapy & Experimental Psychiatry, 44, 411-417. https://doi.org/10.1016/j.jbtep.2013.04.002
- DiMauro, J., Domingues, J., Fernandez, G., & Tolin, D. F. (2013). Long-term effectiveness of CBT for anxiety disorders in an adult outpatient clinic sample: A follow-up study. Behaviour Research & Therapy, 51, 82-86. https://doi.org/10.1016/j.brat.2012.10.003
- Edgington, E. S. (1972). An additive method for combining probability values from independent experiments. Journal of Psychology, 80, 351-363.
- Effertz, T., & Mann, K. (2013). The burden and cost of disorders of the brain in Europe with the inclusion of harmful alcohol use and nicotine addiction. European Neuropsychopharmacology, 23, 742-748. https://doi.org/10.1016/j.euroneuro.2012.07.010
- Eisen, J. L., Sibrava, N. J., Boisseau, C. L., Mancebo, M. C., Stout, R. L., Pinto, A., & Rasmussen, S. A. (2013). Five-year course of obsessive-compulsive disorder: Predictors of remission and relapse. The Journal of Clinical Psychiatry, 74, 7286. https://doi.org/10.4088/JCP.12m07657
- Erekson, D. M., Lambert, M. J., & Eggett, D. L. (2015). The relationship between session frequency and psychotherapy outcome in a naturalistic setting. Journal of Consulting & Clinical Psychology, 83, 1097. https://doi.org/10.1037/a0039774
- Farrell, N. R., Deacon, B. J., Kemp, J. J., Dixon, L. J., & Sy, J. T. (2013). Do negative beliefs about exposure therapy cause its suboptimal delivery? An experimental investigation. Journal of Anxiety Disorders, 27, 763-771. https://doi.org/10.1016/j.janxdis.2013.03.007
- Ferrando, C., & Selai, C. (2021). A systematic review and meta-analysis on the effectiveness of exposure and response prevention therapy in the treatment of obsessive-compulsive disorder. Journal of Obsessive-Compulsive and Related Disorders, 31, 100684. https://doi.org/10.1016/j.jocrd.2021.100684
- Fineberg, N. A., Reghunandanan, S., Brown, A., & Pampaloni, I. (2012). Pharmacotherapy of obsessive-compulsive disorder: Evidence-based treatment and beyond. Australian & New Zealand Journal of Psychiatry, 47, 121-141. https://doi.org/10.1177/0004867412461958
- Gartlehner, G., Thieda, P., Hansen, R. A., Gaynes, B. N., DeVeaugh-Geiss, A., Krebs, E. E., & Lohr, K. N. (2008). Comparative risk for harms of second generation antidepressants. Drug Safety, 31, 851-865. https://doi.org/10.2165/00002018-200831100-00004
- Goodman, W. K., Price, C, H., Rasmussen, S. A., Mazure, C., Fleischmann, R. L., Hill, C. L., & Charney, D. S. (1989). Yale-Brown Obsessive Compulsive Scale (Y-BOCS). Archives of General Psychiatry, 46, 1006-1011.
- Goodwin, R. D., Faravelli, C., Rosi, S., Cosci, F., Truglia, E., de Graaf, R., & Wittchen, H. U. (2005). The epidemiology of panic disorder and agoraphobia in Europe. European Neuropsychopharmacology, 15, 435-443. https://doi.org/10.1016/j.euroneuro.2005.04.006
- Hansen, B., Hagen, K., Öst, L. G., Solem, S., & Kvale, G. (2018). The Bergen 4-day OCD treatment delivered in a group setting: 12-month follow-up. Frontiers in Psychology, 9, 639. https://doi.org/10.3389/fpsyg.2018.00639
- Hayes, A. M., & Andrews, L. A. (2020). A complex systems approach to the study of change in psychotherapy. BMC Medicine, 18, 1-13. https://doi.org/10.1186/s12916-020-01662-2
- Heinig, I., Knappe, S., Hoyer, J., Wittchen, H. U., Richter, J., Arolt, V., Deckert, J., Domschke, K., Hamm, A., Kircher, T., Lueken, U., Margraf, J., Neudeck, P., Rief, W., Straube, B., Ströhle, A., Pauli, P., & Pittig, A. (2023). Effective and tolerable: Acceptance and side effects of intensified exposure for anxiety disorders. Behavior Therapy, 54, 427-443. https://doi.org/10.1016/j.beth.2022.11.001
- Hendriks, L., de Kleine, R. A., Hendriks, G. J., & van Minnen, A. V. (2015). Intensive cognitive-behavioral treatment of PTSD: An overview of massed outpatient treatment programs. In C. Martin, V., Preedy, & V. Patel (Eds.), Comprehensive guide to post-traumatic stress disorders (pp. 1-16). https://doi.org/10.1007/978-3-319-08613-2_123-1
- Iancu, S. C., Batelaan, N. M., Zweekhorst, M. B. M., Bunders, J. F. G., Veltman, D. J., Penninx, B. W. J. H., & van Balkom, A. J. L. M. (2014). Trajectories of functioning after remission from anxiety disorders: 2-year course and outcome predictors. Psychological Medicine, 44, 593-605. https://doi.org/10.1017/s0033291713001050
- Iversen, H. M., Eide, T. O., Harvold, M., Solem, S., Kvale, G., Hansen, B., & Hagen, K. (2022). The Bergen 4-day treatment for panic disorder: replication and implementation in a new clinic. BMC psychiatry, 22, 728. https://doi.org/10.1186/s12888-022-04380-6
- Jain, N., Stech, E., Grierson, A. B., Sharrock, M. J., Li, I., Mahoney, A. E., & Newby, J. M. (2021). A pilot study of intensive 7-day internet-based cognitive behavioral therapy for social anxiety disorder. Journal of Anxiety Disorders, 84, 102473. https://doi.org/10.1016/j.janxdis.2021.102473
- Kazdin, A. E. (2016). Evidence-based psychosocial treatment: Advances, surprises, and needed shifts in foci. Cognitive & Behavioral Practice, 23, 426-430. https://doi.org/10.1016/j.cbpra.2015.11.003
- Kazdin, A. E. (2019). Single-case experimental designs: Evaluating interventions in research and clinical practice. Behaviour Research & Therapy, 117, 3-17. https://doi.org/10.1016/j.brat.2018.11.015
- Kazdin, A. E., & Weisz, J. R. (1998). Identifying and developing empirically supported child and adolescent treatments. Journal of Consulting & Clinical Psychology, 66, 19.
- Klein Breteler, J. K., Ikani, N., Becker, E. S., Spijker, J., & Hendriks, G. (2021). Comorbid depression and treatment of anxiety disorders, OCD, and PTSD: Diagnosis versus severity. Journal of Affective Disorders, 295, 1005-1011. https://doi.org/10.1016/j.jad.2021.08.146
- Lambert, M. J., Burlingame, G. M., Umphress, V., Hansen, N. B., Vermeersch, D. A., Clouse, G. C., & Yanchar, S. C. (1996). The reliability and validity of the Outcome Questionnaire. Clinical Psychology & Psychotherapy, 3, 249-258. https://doi.org/10.1002/(SICI)1099-0879(199612)3:4%3C249::AID-CPP106%3E3.0.CO;2-S
- Levy, H. C., O’Bryan, E. M., & Tolin, D. F. (2021). A meta-analysis of relapse rates in cognitive-behavioral therapy for anxiety disorders. Journal of Anxiety Disorders, 81, 102407. https://doi.org/10.1016/j.janxdis.2021.102407
- Loerinc, A. G., Meuret, A. E., Twohig, M. P., Rosenfield, D., Bluett, E. J., & Craske, M. G. (2015). Response rates for CBT for anxiety disorders: Need for standardized criteria. Clinical Psychology Review, 42, 72-82. https://doi.org/10.1016/j.cpr.2015.08.004
- McHugh, R. K., Whitton, S. W., Peckham, A. D., Welge, J. A., & Otto, M. W. (2013). Patient preference for psychological vs. pharmacological treatment of psychiatric disorders: A meta-analytic review. The Journal of Clinical Psychiatry, 74, 595. https://doi.org/10.4088%2FJCP.12r07757
- Morgan, D. L., & Morgan, R. K. (2001). Single-participant research design: Bringing science to managed care. American Psychologist, 56, 119. https://doi.org/10.1037//0003-066X.56.2.119
- National Institute for Health and Clinical Excellence (NICE). (2005). Obsessive compulsive disorder and body dismorphic disorder: Adults. In National Institute for Health and Clinical Excellence – Clinical Guidelines. www.nice.org.uk/guidance/cg31
- National Institute for Health and Clinical Excellence (NICE). (2011). Generalised anxiety disorder and panic disorder in adults. In National Institute for Health and Clinical Excellence – Clinical Guidelines. www.nice.org.uk/guidance/cg113.
- Nolen, W. A., & Dingemans, P. M. A. J. (2004). Meetinstrumenten bij stemmingsstoornissen (Assessment scales for mood disorders). Tijdschrift Voor Psychiatrie, 6, 681-686.
- Oar, E. L., Farrell, L. J., Waters, A. M., Conlon, E. G., & Ollendick, T. H. (2015). One session treatment for pediatric blood-injection-injury phobia: A controlled multiple baseline trial. Behaviour Research & Therapy, 73, 131-142. https://doi.org/10.1016/j.brat.2015.08.002
- Pittig, A., Heinig, I., Goerigk, S., Thiel, F., Hummel, K., Scholl, L., Deckert, J., Pauli, P., Domschke, K., Lueken, U., Fydrich, T., Fehm, L., Plag, J., Ströhle, A., Kircher, T., Straube, B., Rief, W., Koelkebeck, K., Arolt, V., Dannlowski, U., … Wittchen, H. U. (2021). Efficacy of temporally intensified exposure for anxiety disorders: A multicenter randomized clinical trial. Depression & Anxiety, 38, 1169-1181. https://doi.org/10.1002/da.23204
- Pittig, A., Kotter, R., & Hoyer, J. (2019). The struggle of behavioral therapists with exposure: Self-reported practicability, negative beliefs, and therapist distress about exposure-based interventions. Behavior Therapy, 50, 353-366. https://doi.org/10.1016/j.beth.2018.07.003
- Priebe, S., Jones, G., McCabe, R., Briscoe, J., Wright, D., Sleed, M., & Beecham, J. (2006). Effectiveness and costs of acute day hospital treatment compared with conventional in-patient care: Randomised controlled trial. The British Journal of Psychiatry, 188, 243-249. https://doi.org/10.1192/bjp.188.3.243
- Rush, A. J., Carmody, T., & Reimitz, P. (2000). The Inventory of Depressive Symptomatology (IDS): Clinician (IDS‐C) and Self‐Report (IDS‐SR) ratings of depressive symptoms. International Journal of Methods in Psychiatric Research, 9, 45-59.
- Scholten, W. D., Batelaan, N. M., Penninx, B. W., van Balkom, A. J., Smit, J. H., Schoevers, R. A., & van Oppen, P. (2016). Diagnostic instability of recurrence and the impact on recurrence rates in depressive and anxiety disorders. Journal of Affective Disorders, 195, 185-190. https://doi.org/10.1016/j.jad.2016.02.025
- Shear, M. K., Brown, T. A., Barlow, D. H., Money, R., Sholomskas, D. E., Woods, S. W., Gorman, J. M., & Papp, L. A. (1997). Multicenter collaborative Panic Disorder Severity Scale. American Journal of Psychiatry, 154, 1571-1575.
- Sheehan, D.V., Lecrubier, Y., Sheehan, K. H., Janavs, J., Weiller, E., Keskiner, A., Schinka, J., Knapp, E., Sheehan, M. F., & Dunbar, G. C. (1997). The validity of the Mini International Neuropsychiatric Interview (MINI) according to the SCID-P and its reliability. European Psychiatry, 12, 232-241.
- Skapinakis, P., Caldwell, D. M., Hollingworth, W., Bryden, P., Fineberg, N. A., Salkovskis, P., Welton, N. J., Baxter, H., Kessler, D., Churchill, R., & Lewis, G. (2016). Pharmacological and psychotherapeutic interventions for management of obsessive-compulsive disorder in adults: A systematic review and network meta-analysis. The Lancet Psychiatry, 3, 730-739. https://doi.org/10.1016/S2215-0366(16)30069-4
- Springer, K. S., Levy, H. C., & Tolin, D. F. (2018). Remission in CBT for adult anxiety disorders: a meta-analysis. Clinical Psychology Review, 61, 1-8. https://doi.org/10.1016/j.cpr.2018.03.002
- Task Force on Promotion and Dissemination of Psychological Procedures. (1995). Training in and dissemination of empirically-validated treatments: Report and recommendations. The Clinical Psychologist, 48, 3-23.
- Tjelle, K., Opstad, H. B., Solem, S., Launes, G., Hansen, B., Kvale, G., & Hagen, K. (2021). Treatment adherence as predictor of outcome in concentrated exposure treatment for obsessive-compulsive disorder. Frontiers in Psychiatry, 12, 667167. https://doi.org/10.3389/fpsyt.2021.667167
- van Minnen, A., Hendriks, L., Kleine, R. D., Hendriks, G. J., Verhagen, M., & de Jongh, A. (2018). Therapist rotation: A novel approach for implementation of trauma-focused treatment in post-traumatic stress disorder. European Journal of Psychotraumatology, 9, 1492836. https://doi.org/10.1080/20008198.2018.1492836
- Whiteside, S. P., Sim, L. A., Morrow, A. S., Farah, W. H., Hilliker, D. R., Murad, M. H., & Wang, Z. (2020). A meta-analysis to guide the enhancement of CBT for childhood anxiety: Exposure over anxiety management. Clinical Child & Family Psychology Review, 23, 102-121. https://doi.org/10.1080/20008198.2018.1492836
Noot
- 1.Lynn Mobach en Nessa Ikani delen het eerste-auteurschap van deze studie.
© 2009-2025 Uitgeverij Boom Amsterdam
De artikelen uit de (online)tijdschriften van Uitgeverij Boom zijn auteursrechtelijk beschermd. U kunt er natuurlijk uit citeren (voorzien van een bronvermelding) maar voor reproductie in welke vorm dan ook moet toestemming aan de uitgever worden gevraagd:
Behoudens de in of krachtens de Auteurswet van 1912 gestelde uitzonderingen mag niets uit deze uitgave worden verveelvoudigd, opgeslagen in een geautomatiseerd gegevensbestand, of openbaar gemaakt, in enige vorm of op enige wijze, hetzij elektronisch, mechanisch door fotokopieën, opnamen of enig andere manier, zonder voorafgaande schriftelijke toestemming van de uitgever.
Voor zover het maken van kopieën uit deze uitgave is toegestaan op grond van artikelen 16h t/m 16m Auteurswet 1912 jo. Besluit van 27 november 2002, Stb 575, dient men de daarvoor wettelijk verschuldigde vergoeding te voldoen aan de Stichting Reprorecht te Hoofddorp (postbus 3060, 2130 KB, www.reprorecht.nl) of contact op te nemen met de uitgever voor het treffen van een rechtstreekse regeling in de zin van art. 16l, vijfde lid, Auteurswet 1912.
Voor het overnemen van gedeelte(n) uit deze uitgave in bloemlezingen, readers en andere compilatiewerken (artikel 16, Auteurswet 1912) kan men zich wenden tot de Stichting PRO (Stichting Publicatie- en Reproductierechten, postbus 3060, 2130 KB Hoofddorp, www.cedar.nl/pro).
No part of this book may be reproduced in any way whatsoever without the written permission of the publisher.
Inloggen VGCt en VVGT
Leden van de VGCt en de VVGT loggen in via de site van hun vereniging. Als u op die site bent ingelogd als lid, vindt u daar een button naar het Tijdschrift voor Gedragstherapie.
English
Behavioral Therapy: Journal for Behavioral Therapy and Cognitive Therapy ISSN 0167-7454
Information in English can be found here.





