Inhoud
De relatie tussen expliciete geheugenbias en depressie1
Samenvatting
Geheugenbias speelt volgens cognitieve modellen een belangrijke rol bij het verloop van depressie, maar momenteel is onbekend wanneer deze bias optreedt en hoe sterk deze is. Dit artikel rapporteert twee meta-analyses om de effectgrootte te schatten en moderatoren van geheugenbias te identificeren. De hoofdmeta-analyse vond een kleine totale effectgrootte voor expliciete geheugenbias bij depressie (g = 0,241, 95% CI [0,179, 0,304]), die onder meer werd gemodereerd door de emotionele valentie van stimuli, de diepte van verwerking en de geheugentaak. Opmerkelijk was dat de effectgrootte niet significant was bij depressie in remissie. De follow-up meta-analyse vond voor depressie in remissie wel een significante effectgrootte bij gebruik van stemmings- of stressinductie (g = 0,273, 95% CI [0,004, 0,542]). Uit deze meta-analyses blijkt dat depressie inderdaad wordt gekenmerkt door een expliciete geheugenbias, die mogelijk na herstel latent aanwezig blijft tot deze weer geactiveerd wordt. Dit maakt geheugenbias een interessant doel voor de verbetering van zowel diagnostiek als behandeling van depressie.
Kernboodschappen voor de klinische praktijk
- De resultaten van deze meta-analytische review wijzen erop dat personen met huidige depressieve symptomen een disfunctionele bias vertonen in hoe zij emotionele informatie onthouden. Deze bias treedt vooral op wanneer zij zich positieve informatie proberen te herinneren.
- Personen die hersteld zijn van depressie laten deze bias mogelijk alleen zien wanneer zij een negatieve stemming hebben of zich gestrest voelen.
- Geheugenbias is mogelijk een behandeltarget: zowel huidig depressieve personen als herstelde personen die zich neerslachtig of gestrest voelen, zouden baat kunnen hebben bij interventies die focussen op het ophalen van positieve herinneringen.
Inleiding
Depressie is een veelvoorkomende psychische aandoening, die ernstig persoonlijk lijden en hoge maatschappelijke kosten veroorzaakt (Kessler & Bromet, 2013; World Health Organization, 2017). Ondanks therapeutische interventies blijven de percentages voor terugval, terugkeer en non-respons hoog (Munder et al., 2019; Vittengl et al., 2007). Om preventie en behandelingen te verbeteren is het belangrijk om de factoren te identificeren die depressie veroorzaken en onderhouden. Cognitieve modellen stellen dat emotionele vertekeningen, ofwel bias, in de informatieverwerking hierin een belangrijke rol spelen (Beck & Haigh, 2014; Bower, 1981; Clark et al., 1999; Hertel, 2004b; Ingram, 1984; Williams et al., 1997). Volgens deze modellen halen mensen met depressie meer negatieve en minder positieve herinneringen op uit het langetermijngeheugen (LTG). Deze geheugenbias zou zich voordoen in zowel het expliciete geheugen (waar bewust toegankelijke kennis wordt opgeslagen, zoals feiten en gebeurtenissen) als in het impliciete geheugen (waar niet-bewust toegankelijke kennis wordt opgeslagen, die wordt uitgedrukt door gedrag of uitvoering) (Gaddy & Ingram, 2014). Voornamelijk de expliciete LTG-bias zou bij depressie een belangrijke rol spelen (Beck & Haigh, 2014; Clark et al., 1999; Connolly et al., 2016; Goldstein et al., 2015; Hayden et al., 2013; Johnson et al., 2007; Williams et al., 1997), en is daarom een potent doelwit voor innovatieve cognitieve interventies (Visser et al., 2020) en therapieën (Edwards, 2007; Young et al., 2003).
Hoewel expliciete LTG-bias bij depressie wordt gezien als een robuust en consistent fenomeen (Gotlib & Joormann, 2010; LeMoult & Gotlib, 2019; Mathews & Macleod, 2005), laten de onderzoeksresultaten inconsistenties zien. Zo werd gevonden dat deze bias mogelijk niet voorkomt bij subklinische depressie (Matt et al., 1992), terwijl dit in later onderzoek juist wel gevonden werd (Bianchi et al., 2020; Ingram, 1984; Koster et al., 2010; Moilanen, 1993; maar zie ook: Cooper & Wade, 2015; Yovel & Mineka, 2004).
Wat tot nu toe ontbrak, is een uitgebreide meta-analyse die de grote hoeveelheid onderzoek naar geheugenbias samenvat en met elkaar verbindt. Met de huidige review willen we daarom de effectgrootte van expliciete LTG-bias bij depressie schatten en mogelijke factoren onderzoeken die de inconsistenties in de onderzoeksresultaten kunnen verklaren. Empirische studies naar expliciete LTG-bias bij depressie verschillen namelijk sterk in hun focus op bepaalde kenmerken van de bias, de steekproef en de gebruikte taken. Het onderzoeken van deze kenmerken als moderatorvariabelen zou kunnen helpen de volgende vragen over expliciete LTG-bias bij depressie te beantwoorden: (1) Hoe uit expliciete LTG-bias zich bij depressie? (2) Wie vertoont een expliciete LTG-bias? (3) Wanneer treedt expliciete LTG-bias op bij depressie?
Hoe uit expliciete LTG-bias zich bij depressie?
Verondersteld wordt dat depressie gekenmerkt wordt door negatieve cognities (Clark et al., 1999; Williams, et al., 1997). Deze cognities weerspiegelen thema's als persoonlijk verlies, falen en ontbering (Beck & Perkins, 2001). Specifiek wordt verondersteld dat depressie gekenmerkt wordt door een vertekende verwerking van negatieve 'zelfrelevante' (dat wil zeggen: naar zichzelf verwijzende) informatie en een verminderde verwerking van positieve zelfrelevante informatie (Beck & Haigh, 2014; Clark et al., 1999). Dit cognitieve profiel van depressie zou verschillen van dat van angst, waarbij er sprake is van een overmatige focus op fysieke of psychologische dreiging of gevaar. In sommige studies werd bij depressie echter toch een angstachtige LTG-bias gevonden (Gotlib et al., 2004; zie ook: Lim & Kim, 2005; Rinck & Becker, 2005; Tarsia et al., 2003). Om effectieve cognitieve interventies te kunnen ontwikkelen, is het dus belangrijk om te verhelderen hoe specifiek de expliciete LTG-bias bij depressie is.
Wie vertoont een expliciete LTG-bias?
Leeftijdsgroep
Volgens het cognitieve model van Beck worden disfunctionele schema's gevormd tijdens de kindertijd en spelen deze schema's een cruciale rol bij depressie tijdens de volwassenheid (Beck & Haigh, 2014; Clark et al., 1999). Ook zouden (door deze schema's gestuurde) biases in informatieverwerking een relatief stabiel kenmerk van cognitieve kwetsbaarheid zijn (Dozois & Dobson, 2001a; Goldstein et al., 2015). Dit zou betekenen dat stemmingscongruente biases ongeacht leeftijd bestaan en dus voorkomen bij zowel minderjarigen als volwassenen. Er is relatief weinig onderzoek gedaan bij kinderen en adolescenten, en de resultaten zijn nogal gemengd: sommige studies vinden bij hen wel bewijs voor geheugenbias, maar andere vinden geen verschil tussen depressieve en niet-depressieve minderjarigen (Alloy et al., 2012; Asl et al., 2015; Bishop et al., 2004; Connolly et al., 2016; Dalgleish et al., 2003; Dujardin et al., 2014; Hughes et al., 1990; Reid et al., 2006). Het is belangrijk om te weten of expliciete LTG-bias bij zowel minderjarigen als volwassenen voorkomt, teneinde de vraag te kunnen beantwoorden of deze cognitieve factor een mechanisme vormt dat gedurende het hele leven werkzaam is.
Gender
Onderzoek wijst uit dat vrouwen bijna twee keer zoveel kans hebben om een depressieve episode te ontwikkelen als mannen (Salk et al., 2017). Cognitieve factoren die gerelateerd zijn aan geheugenbias – zoals disfunctionele schema's en rumineren – komen waarschijnlijk ook vaker voor bij vrouwen (Bone et al., 2020; Kuehner, 2017) en de relatie tussen zelfrelevante negatieve herinneringen en depressieve symptomen zou bij adolescente vrouwen sterker kunnen zijn dan bij mannen (Bone et al., 2021). Het is daarom aannemelijk dat studies met relatief meer vrouwen relatief hogere effectgroottes genereren. Kennis van de cognitieve mechanismen die (gedeeltelijk) verantwoordelijk zijn voor genderverschillen bij depressie kan potentieel bijdragen aan het verkleinen van genderongelijkheid in toekomstige onderzoeken en behandeling.
Klinische status van depressie
Volgens cognitieve theorieën over depressie hangt de omvang van de geheugenbias af van de klinische status van de depressie (Clark et al., 1999; Ingram, 1984). Studies hebben daarom gebruikgemaakt van steekproeven van personen met klinische depressie, van niet-gediagnosticeerde personen met verhoogde niveaus van depressieve symptomen (vaak aangeduid als 'subklinische depressie') en van personen met depressie in remissie. Volgens theoretici verschilt klinische depressie kwalitatief van subklinische depressie wat betreft ernst en verslechtering van symptomen (Ingram & Siegle, 2009). Daarom wordt verwacht dat personen met een gediagnosticeerde depressieve stoornis een ernstigere expliciete LTG-bias vertonen dan niet-gediagnosticeerde personen met verhoogde depressieve symptomen. Verder voorspellen theoretische modellen dat LTG-bias een kwetsbaarheidsfactor is die ook na de depressieve episode aanhoudt (Clark et al., 1999; Ingram, 1984). Deze LTG-bias bij depressie in remissie zou ofwel een stabiel proces kunnen zijn dat continu in werking is, ofwel een latent proces dat wordt geactiveerd door stress of een negatieve stemming (Just et al., 2001). Momenteel is echter onduidelijk of er verschillen zijn in expliciete LTG-bias tussen groepen personen met subklinische depressie, met klinische vormen van depressie en met depressie in remissie.
Bovendien is nog weinig onderzocht hoe comorbiditeit studies naar LTG-bias beïnvloedt. Dit is wel belangrijk, aangezien depressie vaak gepaard gaat met andere mentale stoornissen, zoals angststoornissen (Brown et al., 2001). Het verwachte patroon van biases bij depressie zou kunnen veranderen door comorbiditeit, omdat andere psychische aandoeningen (zoals sociale angst en paniekstoornis) wellicht een ander patroon van cognitieve bias hebben (bijvoorbeeld een emotionele bias in eerdere stadia van informatieverwerking; Armstrong & Olatunji, 2012; Williams et al., 1988, 1997). Er is ook steeds meer bewijs dat geheugenbias optreedt bij verschillende psychische stoornissen (Duyser et al., 2020; Herrera et al., 2017; Vrijsen et al., 2017) en gerelateerd is aan comorbide (sub)klinische depressie (Duyser et al., 2020). Dit bewijs suggereert dat expliciete LTG-bias mogelijk een rol speelt bij het gelijktijdig vóórkomen van psychische stoornissen en niet wordt beïnvloed door comorbiditeit van symptomen van verschillende aandoeningen.
Wanneer treedt expliciete LTG-bias op bij depressie?
In experimentele taken worden de condities voor het optreden van een bias gemanipuleerd. De deelnemers moeten tijdens deze taken meestal een lijst woorden of foto's met een negatieve, neutrale of positieve valentie coderen. Tijdens het coderen wordt hun gevraagd de gepresenteerde stimuli te bestuderen (bijvoorbeeld de foto's te bekijken of de woorden hardop voor te lezen) of zich een scène voor te stellen met de stimulus. Na een retentie-interval (een periode tussen het coderen en het ophalen uit het geheugen) moeten zij zich de gecodeerde stimuli herinneren tijdens een herinnerings- of herkenningstaak.
Diepte van informatieverwerking
De manier waarop deelnemers de informatie moeten verwerken verschilt dus tussen studies. De diepte van deze informatieverwerking zou latere geheugenprestaties beïnvloeden (Craik, 2002; Craik & Lockhart, 1972). De verwachting is dat conceptuele verwerking (bijvoorbeeld analyse van betekenis, gevolgtrekking en implicatie) leidt tot succesvollere herinnering dan perceptuele verwerking (bijvoorbeeld analyse van stimuluskenmerken, zoals oppervlak, vorm, kleur en helderheid). Omdat depressie wordt gekenmerkt door een verhoogde verwerking van negatieve informatie (Gotlib & Joormann, 2010; Ingram, 1984; Williams et al., 1988, 1997), wordt verondersteld dat een expliciete LTG-bias uitsluitend optreedt na conceptuele verwerking.
Een speciale vorm van conceptuele verwerking is zelfrelevante verwerking. Volgens theoretische modellen is een depressiegerelateerde bias in het geheugen duidelijk aanwezig wanneer de informatie iemands negatieve schema's (Clark et al., 1999) of geheugennetwerken (Ingram, 1984) aanspreekt. Om dit te onderzoeken gebruiken studies tijdens de taak verschillende instructies om deelnemers de gepresenteerde stimuli op een zelfrelevante ('In hoeverre beschrijft dit woord jou?') of op een niet-zelfrelevante manier ('Is dit een zelfstandig naamwoord?') te laten verwerken. Eerder onderzoek suggereert dat expliciete LTG-bias voornamelijk optreedt na zelfrelevante codering (Wisco, 2009), maar onduidelijk is of expliciete LTG-bias alleen in dat geval voorkomt. Omdat diepte van verwerking een centraal kenmerk is in cognitieve theorieën over depressie, is het belangrijk om te onderzoeken of zelfrelevante verwerking geheugenbias versterkt en of deze bias ook kan optreden wanneer stimuli op een perceptuele of niet-zelfrelevante conceptuele manier worden verwerkt.
Intentie van codering
In studies wordt ook gevarieerd met de intentie om te leren tijdens het coderen. Hiervoor wordt gebruikgemaakt van incidentele en opzettelijke coderingstaken. Bij incidentele coderingstaken worden deelnemers niet geïnstrueerd om de stimuli te onthouden die worden gepresenteerd tijdens een verkapte coderingstaak (bijvoorbeeld het beoordelen van de valentie van woorden). Deze verkapte coderingstaak wordt gevolgd door een onverwachte geheugentest. Bij opzettelijke coderingstaken worden deelnemers wel nadrukkelijk geïnstrueerd om de informatie te onthouden en worden ze geïnformeerd dat er een geheugentest zal volgen na codering. Opzettelijke codering van emotioneel materiaal verbetert doorgaans de daaropvolgende herinnering van het materiaal (Ruiz-Caballero & González, 1994), maar onduidelijk is of incidentele en opzettelijke codering een vergelijkbare of verschillende depressiegerelateerde bias voortbrengen in het expliciete LTG.
Expliciete geheugentaak
Er zijn vier grote geheugenmodellen gebruikt om expliciete LTG-bias bij depressie te onderzoeken, namelijk: (1) vrije herinnering (free recall), (2) cued recall, (3) forced recall en (4) herkenningstests. Bij een vrije herinneringstaak wordt deelnemers gevraagd zich eerder gecodeerde stimuli in willekeurige volgorde te herinneren (Reilly-Harrington et al., 1999; Romero et al., 2016). Cued recall houdt in dat deelnemers worden geïnstrueerd om woordstammen af te maken met stimuli uit de coderingstaak (Ilsley et al., 1995). Tijdens een forced recall-taak moeten deelnemers zich een vastgesteld aantal gecodeerde stimuli herinneren en zelfs gokken wanneer ze zich geen stimuli meer kunnen herinneren (Murray et al., 1999). Ten slotte worden bij herkenningstaken naast de aangeleerde stimuli ook afleidende stimuli gepresenteerd die niet in de taak voorkwamen. De deelnemers moeten dan besluiten of de stimuli oud of nieuw zijn (Ridout et al., 2003, 2009). Tijdens zowel recall- als herkenningstaken kunnen deelnemers bewust contextuele details ophalen die op het moment van codering aan het item gekoppeld waren. Het verschil tussen recall en herkennen is dat er tijdens recall-taken een reactie wordt opgeroepen, terwijl er tijdens herkenningstaken een antwoord wordt gekozen uit bestaande opties. Het begrijpen van verschillen tussen geheugenbias voor recall- en herkenningstaken kan helpen om de aard van expliciete LTG-bias bij depressie te karakteriseren.
Huidige review
Deze studie beoogde een uitgebreide kwantitatieve samenvatting te geven van bijna vijf decennia onderzoek naar emotionele bias in het expliciete geheugen bij depressie. Het eerste doel was om de totale effectgrootte van expliciete LTG-bias bij depressie vast te stellen. Het tweede doel was om te beoordelen welke kenmerken van de geheugenbias, de steekproef en de taak de algehele effectgrootte modereren.
Om deze doelstellingen te bereiken werden twee afzonderlijke meta-analyses uitgevoerd. De hoofdmeta-analyse onderzocht natuurlijke variaties van expliciete LTG-bias in steekproeven van personen met subklinische depressie, klinische depressie en depressie in remissie. Naar aanleiding van de bevindingen onderzocht een follow-up meta-analyse expliciete LTG-bias bij depressie in remissie zowel onder natuurlijke omstandigheden, als na een stemmings- of stressinductie, teneinde te bepalen of het bij expliciete LTG-bias bij depressie in remissie gaat om een kwetsbaarheid die wordt geactiveerd door stress of een negatieve stemming.
Dit onderzoek naar expliciete LTG-bias in verschillende steekproeven met depressie is nodig om empirisch onderbouwde conclusies te kunnen trekken over de sterkte van de relatie tussen depressie en expliciete LTG-bias. De bevindingen kunnen toekomstige theorieën verder verfijnen, alsook onderzoek en behandelingen sturen die gericht zijn op expliciete LTG-bias bij depressie.
Methode
Identificatie en selectie van studies
Studies werden verzameld via de elektronische databases PsycINFO, Embase, ISI Web of Science en PubMed tot en met augustus 2021. Om zoveel mogelijk relevante studies te vinden, werd de volgende Engelstalige zoekopdracht in de databases ingevoerd: (depress* OR dysphor* OR dysthym* OR 'mood disorder*' OR 'affective disorder') AND (encod* OR memor* OR remember* OR mnemonic* OR recall OR recog* OR recollect* OR schema* OR retriev*) AND (self-referent* OR mood-congruen* OR bias* OR autobiograph*). Daarnaast werden dezelfde zoektermen gebruikt om ongepubliceerde studies te vinden in ProQuest Dissertations en Theses. Ten slotte zochten we handmatig binnen de referentielijsten van relevante artikelen, om er zeker van te zijn dat zoveel mogelijk relevante studies in aanmerking kwamen voor inclusie. Voor een gedetailleerde beschrijving van de criteria waar een studie aan moest voldoen, verwijzen wij u graag naar het Engelstalige artikel over dit onderzoek (Everaert et al., 2022).
Het literatuuronderzoek en het selectieproces zijn weergegeven in het PRISMA flowdiagram (zie figuur 1). In totaal zijn 141 artikelen geïncludeerd. Deze artikelen beschreven resultaten van 154 onafhankelijke studies (N = 13.518) en 695 contrasten. Om betrouwbaarheid te garanderen werd de selectie door twee auteurs onafhankelijk van elkaar uitgevoerd. Op basis van de criteria beoordeelden beiden de artikelen op relevantie. De interbeoordelaarsbetrouwbaarheid was uitstekend (Kappa = 0,989). Over meningsverschillen werd gediscussieerd tot er consensus was bereikt.

Figuur 1 Flowdiagram van het literatuuronderzoek en het selectieproces voor de hoofdmeta-analyse
Meta-analytische procedure
De Hedges' g-statistiek werd gebruikt als de maat voor de effectgrootte. Dit is een veelgebruikte maat, die het gestandaardiseerde verschil tussen gemiddelden weergeeft (Hedges & Olkin, 1985). Het Engelstalige artikel over dit onderzoek (Everaert et al., 2022) geeft meer informatie over de berekeningen van Hedges' g. Waarden van g tussen 0,2 en 0,5, 0,5 en 0,8, en ≥ 0,8 kunnen respectievelijk geïnterpreteerd worden als klein, matig en groot (Cohen, 1988).
Three-level random-effects-modellen met een beperkte maximum likelihood estimation werden geschat in R versie 4.1.2 (R Core Team, 2021). Het three-level meta-analytische model is een sterke methode om rekening te houden met afhankelijkheden tussen effectgroottes (zoals meerdere effectgroottes van één steekproef). Dit is een belangrijk voordeel, omdat de meeste studies in deze meta-analyse meerdere contrasten van geheugenbias rapporteerden (zoals vergelijkingen binnen en tussen groepen, en recall van positieve en negatieve herinneringen).
Moderatoranalyses werden vervolgens uitgevoerd om te onderzoeken welke variabelen mogelijke variatie in de algemene effectgrootte verklaren. Hiertoe werden dezelfde gelijkaardige modellen geschat voor elke kandidaat-moderatorvariabele. Moderatoranalyses werden alleen uitgevoerd als elk niveau van de moderatorvariabele minimaal vijf onderzoeken bevatte (bijvoorbeeld minimaal vijf studies die LTG-bias onderzochten bij klinische depressie). Dit is belangrijk, omdat parameterschattingen minder accuraat zijn wanneer het aantal studies erg klein is.
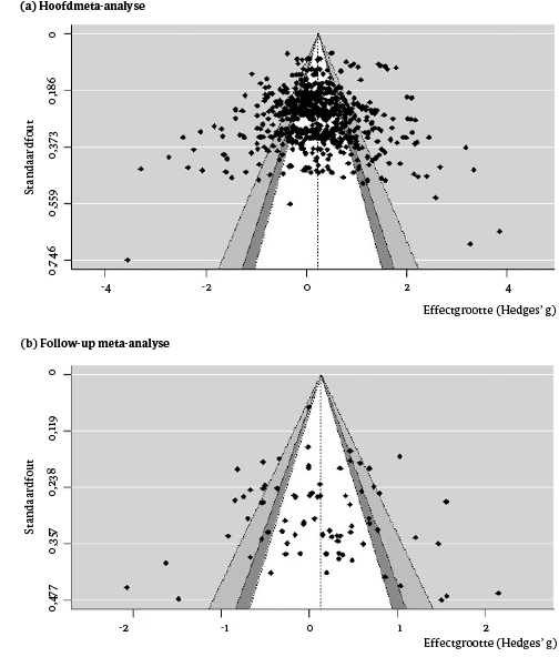
Verder werd het risico op vertekening van de onderzoeksresultaten onderzocht. Ten eerste werden kenmerken van de methodologische kwaliteit van de geïncludeerde studies onderzocht als moderators van de totale effectgrootte. Ten tweede werden de effectgroottes in gepubliceerde en niet-gepubliceerde onderzoeken vergeleken door middel van moderatoranalyse. Ten derde werden trechterplots onderzocht om vast te stellen of kleine studies systematisch grotere puntschattingen opleverden dan grotere studies (Jin et al., 2015). Een trechterplot toont de effectgrootte van elke studie op de x-as en de bijbehorende standaardfout op de y-as. Als er geen vertekening is, heeft de plot een trechtervorm, met studies die verspreid en symmetrisch verdeeld zijn rond de gepoolde effectgrootte (Borman & Grigg, 2009). Aanvullende analyses werden uitgevoerd om vertekening door selectieve publicatie en rapportage te onderzoeken. Voor de details van deze analyses verwijzen wij u graag naar het Engelstalige artikel (Everaert et al., 2022).
Resultaten
Totale effectgrootte en heterogeniteit tussen effectgroottes
De resultaten lieten een totale effectgrootte zien van g = 0,28, 95% CI [0,20, 0,37], 95% PI [-1,21, 1,78], p < 0,001. Echter, analyse van uitschieters identificeerde 9 contrasten uit 4 onafhankelijke samples (Callahan et al., 2017; Dozois & Dobson, 2001b; Moulds et al., 2007; Sloan et al., 2001). Deze geschatte uitschietende effectgroottes kunnen van invloed zijn op de precisie en interpretatie van de totale effectgrootte en werden daarom uitgesloten van latere analyses.
Het model zonder deze uitschieters (686 contrasten, 153 onderzoeken) leverde een significante totale effectgrootte op van g = 0,24, 95% CI [0,179, 0,304], 95% PI [-1,05, 1,54], p < 0,001. Dit is consistent met de hypothese dat een geheugenbias voorkomt bij depressie. Zoals verwacht, was er significante variatie tussen effectgroottes binnen studies (σ2 = 0,40, χ2(1) = 1708,89, p < 0,001) en tussen studies (σ2 = 0,03, χ2(1) = 7,62, p = 0,006). Van de totale variantie in effectgroottes werd 7% verklaard door variantie tussen onderzoeken, 82% door variantie tussen effectgroottes van dezelfde studie, en 11% door steekproefvariantie. Het is daarom relevant om moderatoranalyses uit te voeren om deze variatie te verklaren. In de rupsgrafiek in figuur 2 zijn de effectgroottes met bijbehorende 95%-betrouwbaarheidsintervallen weergegeven.

Figuur 2 Rupsgrafieken voor de hoofd- en follow-up meta-analyse. De figuren geven de effectgroottes weer van individuele contrasten voor elke studie met bijbehorende 95%-betrouwbaarheidsintervallen.
Moderatoranalyses
Kenmerken van de geheugenbias, steekproef en taak werden onderzocht als mogelijke factoren die kunnen bijdragen tot variatie in effectgroottes. Tabel 1 geeft de resultaten van de moderatoranalyses weer.
Tabel 1 Effect van moderators op de relatie tussen expliciete LTG-bias en depressie voor de hoofd- en follow-up meta-analyse
| Hoofdmeta-analyse | n | k | g (SE) | 95% PI | t(Satt df) | p(Satt) | ||
|---|---|---|---|---|---|---|---|---|
| Hoe uit expliciete geheugenbias zich bij depressie? | Emotionele valentie* | Negatief Positief Dreiging | 278 254 42 | 141 124 27 | 0,201 (0,053) 0,375 (0,051) 0,050 (0,167) | [-1,11, 1,51] [-0,93, 1,68] [-1,28, 1,38] | 3,802 (109,70) 7,360 (98,40) 0,301 (21,10) | < 0,001 < 0,001 0,767 |
| Wie vertoont een expliciete geheugenbias? | Leeftijdsgroep | Volwassenen Minderjarigen | 577 109 | 127 25 | 0,219 (0,032) 0,348 (0,101) | [-1,07, 1,51] [-0,95, 1,65] | 6,890 (103,00) 3,450 (18,50) | < 0,001 0,013 |
| Gendersamenstelling | 633 | 143 | 0,001 (0,002) | [-1,11, 1,57] | 0,430 (28,30) | 0,670 | ||
| Klinische status | Klinisch Subklinisch In remissie | 322 275 56 | 76 66 15 | 0,233 (0,039) 0,278 (0,053) 0,050 (0,099) | [-1,07, 1,54] [-1,03, 1,58] [-1,27, 1,37] | 5,941 (63,70) 5,264 (49,70) 0,505 (11,80) | < 0,001 < 0,001 0,623 | |
| Wanneer treedt expliciete geheugenbias op bij depressie? | Diepte van verwerking* | Perceptueel Conceptueel-nZrel Conceptueel-Zrel | 148 286 240 | 33 68 67 | 0,150 (0,061) 0,172 (0,040) 0,367 (0,061) | [-1,14, 1,44] [-1,12, 1,46] [-0,92, 1,66] | 2,450 (28,90) 4,34 (56,30) 5,99 (55,20) | 0,020 < 0,001 < 0,001 |
| Intentie van codering | Incidenteel Opzettelijk | 451 232 | 107 45 | 0,272 (0,040) 0,161 (0,047) | [-1,02, 1,56] [-1,13, 1,45] | 6,790 (85,90) 3,420 (35,20) | < 0,001 0,002 | |
| Expliciete geheugentaak* | Vrije herinnering Herkenning | 483 170 | 112 42 | 0,289 (0,040) 0,104 (0,049) | [-1,02, 1,59] [-1,20, 1,41] | 7,270 (86,40) 2,130 (35,30) | < 0,001 0,040 | |
| Risico op vertekening | Onderdelen van studiekwaliteit | Rapportage Externe validiteit Bias Confounding Power Nee/onduidelijk Ja | 686 686 686 686 628 58 | 153 153 153 153 139 14 | -0,308 (0,248) -0,011 (0,080) 0,291 (0,284) -0,241 (0,133) 0,224 (0,030) 0,389 (0,168) | [-1,05, 1,54] [-1,05, 1,54] [-1,05, 1,54] [-1,05, 1,53] [-1,07, 1,51] [-0,92, 1,69] | 1,240 (59,00) 0,138 (57,60) 1,024 (13,30) 1,800 (41,80) 7,521 (109,60) 2,317 (11,10) | 0,220 0,891 0,324 0,079 < 0,001 0,041 |
| Publicatiestatus* | Ongepubliceerd Gepubliceerd | 107 579 | 17 136 | 0,074 (0,054) 0,266 (0,035) | [-1,22, 1,37] [-1,02, 1,56] | 1,360 (12,10) 7,660 (110,40) | 0,200 < 0,001 | |
| Follow-up meta-analyse | n | k | g (SE) | 95% PI | t(Satt df) | p(Satt) | ||
| Hoe uit expliciete geheugenbias zich bij depressie? | Stemmingsinductie | Inductie Geen inductie | 27 53 | 7 15 | 0,273 (0,106) 0,063 (0,102) | [-0,94, 1,49] [-1,13, 1,26] | 2,570 (5,28) 0,621 (11,96) | 0,048 0,548 |
| Emotionele valentie | Negatief Positief | 30 31 | 18 19 | 0,203 (0,165) 0,247 (0,158) | [-1,10, 1,51] [-1,06, 1,55] | 1,228 (14,70) 1,565 (15,60) | 0,239 0,138 | |
| Risico op vertekening | Onderdelen van studiekwaliteit | Rapportage Externe validiteit Bias Confounding | 80 80 80 80 | 21 21 21 21 | 0,306 (0,728) -0,084 (0,222) -0,222 (0,581) -0,182 (0,256) | [-1,07, 1,33] [-1,07, 1,35] [-1,07, 1,33] [-1,07, 1,33] | 0,420 (8,77) 0,377 (9,09) 0,382 (7,53) -0,709 (5,08) | 0,685 0,715 0,713 0,509 |
Noot. n = aantal contrasten; k = aantal studies; g = gemiddelde effectgrootte (Hedges' g); 95%-PI = 95% Prediction Interval; * = statistisch significante moderator (0,05 drempelwaarde)
Hoe uit expliciete LTG-bias zich bij depressie?
Het effect van emotionele valentie was significant (F(2, 571) = 5,91, p = 0,003). De effectgroottes van geheugenbias in depressie waren positief en significant voor negatief en positief materiaal, maar niet significant voor dreigingsgerelateerd materiaal (zoals we zien bij angststoornissen). Hierbij is van belang dat de effectgrootte voor positief materiaal groter was dan die voor negatief materiaal (geschat verschil: g = 0,17, 95% CI [0,019, 0,328], p = 0,028). Deze bevindingen tonen aan dat personen met depressie(symptomen) meer negatieve en minder positieve herinneringen ophalen, waarbij vooral deze laatste vertekening relatief sterker is.
Wie vertoont een expliciete LTG-bias?
Het effect van leeftijdsgroep was niet significant (F(1, 684) = 2,34, p = 0,126): effectgroottes waren positief en significant voor zowel steekproeven van minderjarigen als volwassenen. Ook voor gender werd geen significant effect gevonden (F(1, 631) = 0,18, p = 0,670). LTG-bias komt dus voor onafhankelijk van leeftijdsgroep en geslacht.
Hetzelfde geldt voor klinische status van depressie (F(2, 650) = 1,97, p = 0,141): de effectgroottes bij zowel steekproeven met klinische als die met subklinische depressie waren positief en significant. Daarmee blijkt er geen verschil tussen studies en contrasten die deze varianten van depressie onderzoeken met betrekking tot LTG-bias. Het is belangrijk om hierbij op te merken dat de effectgrootte voor steekproeven met depressie in remissie niet significant verschilde van nul. Kortom, er is geen evidentie voor een LTG-bias bij personen met depressie(symptomen) in remissie.
Wanneer treedt expliciete LTG-bias op bij depressie?
Het effect van diepte van informatieverwerking was significant (F(2, 671) = 5,55, p = 0,004). Positieve en significante effectgroottes werden gevonden voor alle condities, maar de effectgrootte voor zelfrelevant coderen was groter dan de effectgrootte voor niet-zelfrelevant coderen en voor perceptueel coderen. Er was geen significant verschil tussen effectgroottes van niet-zelfrelevant conceptueel en perceptueel coderen. Deze resultaten geven aan dat LTG-bias voornamelijk voorkomt onder omstandigheden waarbij men informatie verwerkt op een manier die gerelateerd is aan zichzelf als persoon.
Het effect van intentie van coderen was niet significant (F(1, 681) = 2,80, p = 0,095): effectgroottes waren positief en significant voor zowel incidentele als intentionele codeertaken. Een LTG-bias komt dus voor zowel na intentioneel als na niet-intentioneel verwerken van informatie.
Verder was het effect van de expliciete geheugentaak significant (F(1, 651) = 6,90, p = 0,009). Effectgroottes waren significant groter wanneer emotioneel geheugen werd onderzocht met behulp van een vrije herinneringstaak vergeleken met een herkenningstaak (geschat verschil: g = -0,19, 95% CI [0,059, 0,311], p = 0,005). De effectgrootte voor herkenningstaken was statistisch significant. Hiermee doet LTG-bias zich voornamelijk voor onder minder gestructureerde condities van vrije herinneringstaken.
Verklaarde heterogeniteit in effectgroottes
Een three-level model dat alle significante moderatoreffecten bevatte werd toegepast om door moderators verklaarde variantie te onderzoeken. Dit model schatte alleen effectgroottes waarvan data op alle moderators beschikbaar was. Net als in eerder werk (Houben et al., 2015) werden de variantiecomponenten van het model met alle moderators vergeleken met het intercept-only model dat dezelfde effectgroottes bevatte. De resultaten toonden aan dat de variantie binnen studies met 3,03% was verminderd (χ2(1) = 1215,14, p < 0,001). Er bleef echter significante variatie tussen effectgroottes binnen studies bestaan (σ2 = 0,43, χ2(1) = 1215,14, p < 0,001). De variantie tussen studies was verminderd met 100% (χ2(1) = 0,00, p = 1,000), waardoor alle variatie in effectgroottes tussen studies verklaard werd.
Risico op vertekening
Er zijn verschillende benaderingen gebruikt om de robuustheid van de geschatte effecten in deze meta-analyse te bepalen. Hieronder volgt een samenvatting, voor de details verwijzen we u graag naar het Engelstalige artikel over dit onderzoek (Everaert et al., 2022).
Ten eerste werden verschillende aspecten van de methodologische kwaliteit van de studies onderzocht als moderator, welke de sterkte van de geheugenbias niet bleken te moduleren. Kwaliteitsbeoordelingen voor elk criterium worden weergegeven in tabel 2. Er kwamen enkele duidelijke zwakheden naar voren. Zo rapporteerden weinig studies een poweranalyse om de steekproefomvang te onderbouwen, en werden exacte p-waarden voor alle statistische tests, evenals eventuele withdrawals en drop-outs (mensen die respectievelijk actief of passief met de studie stopten), vaak niet vermeld. Bovendien werd niet consequent beschreven in hoeverre de uitgenodigde en geworven onderzoeksdeelnemers representatief waren voor de populatie.
Ten tweede werden de effectgroottes in gepubliceerde versus ongepubliceerde studies vergeleken door middel van moderatoranalyse. De resultaten toonden aan dat het effect van publicatiestatus significant was (F(1, 684) = 4,57, p = 0,033). In gepubliceerde onderzoeken werden sterkere effectgroottes gerapporteerd dan in niet-gepubliceerde onderzoeken (geschat verschil: g = 0,19, 95% CI [0,06, 0,33], p = 0,009). Dit suggereert dat studies met nul- of negatieve bevindingen minder kans hadden gepubliceerd te worden. Ten slotte bleek uit inspectie van de trechterplot (zie figuur 3) dat er geen small-study-effecten waren. Dit wijst erop dat de effecten van kleinere studies niet systematisch verschilden van die van grotere studies.
Tabel 2 Scores op de checklist voor het vaststellen van de kwaliteit
| Hoofdmeta-analyse | Follow-up meta-analyse | ||||
|---|---|---|---|---|---|
| Item | M | SD | M | SD | |
| Rapportage | |||||
| 1 | Hypotheses, doelen en doelstellingen duidelijk vastgesteld? | 0,99 | 0,08 | 1,00 | 0,00 |
| 2 | Primaire uitkomstmaat duidelijk beschreven? | 0,99 | 0,08 | 1,00 | 0,00 |
| 3 | Deelnemerskarakteristieken duidelijk beschreven? | 0,83 | 0,38 | 1,00 | 0,00 |
| 4 | Studieprocedure duidelijk beschreven? | 1,00 | 0,00 | 1,00 | 0,00 |
| 5 | Beschouwing van de belangrijkste confounders? | 0,62 | 0,49 | 0,86 | 0,36 |
| 6 | Belangrijkste bevindingen duidelijk beschreven? | 0,97 | 0,18 | 1,00 | 0,00 |
| 7 | Rapportage van schattingen voor willekeurige variabiliteit van de belangrijkste uitkomsten? | 0,88 | 0,32 | 0,90 | 0,30 |
| 8 | Withdrawals en drop-outs gerapporteerd? | 0,32 | 0,47 | 0,48 | 0,51 |
| 9 | Exacte p-waarden gerapporteerd? | 0,28 | 0,45 | 0,43 | 0,51 |
| Externe validiteit | |||||
| 10 | Uitgenodigde deelnemers representatief? | 0,41 | 0,49 | 0,43 | 0,51 |
| 11 | Geworven deelnemers representatief? | 0,19 | 0,39 | 0,14 | 0,36 |
| Interne validiteit – bias | |||||
| 12 | Data-dredging aangegeven? | 0,90 | 0,30 | 0,90 | 0,30 |
| 13 | Geschikte toepassing van statistische tests? | 1,00 | 0,00 | 1,00 | 0,00 |
| 14 | Valide en betrouwbare methoden gebruikt voor het vaststellen van depressie? | 0,99 | 0,08 | 1,00 | 0,00 |
| 15 | Primaire uitkomstmaten voor geheugen niet-vertekend en correct? | 0,98 | 0,14 | 0,81 | 0,40 |
| Interne validiteit - confounding | |||||
| 16 | Deelnemers geworven uit dezelfde populatie? | 0,56 | 0,50 | 0,67 | 0,48 |
| 17 | Deelnemers geworven binnen hetzelfde tijdsbestek? | 0,85 | 0,36 | 0,62 | 0,50 |
| 18 | Verschillen tussen groepen op belangrijkste confounders? Waren depressiescores gerelateerd aan een van deze demografische variabelen? | 0,37 | 0,48 | 0,24 | 0,44 |
| 19 | Adequate aanpassing voor confounding? | 0,79 | 0,41 | 0,52 | 0,51 |
| 20 | Werden missende data op passende wijze verwerkt? | 0,92 | 0,27 | 0,81 | 0,40 |
| Power | |||||
| 21 | Rapportage van poweranalyse of adequate steekproefgrootte | 0,10 | 0,30 | 0,05 | 0,22 |
Noot. Alle items hebben een maximale score van 1,00.

Figuur 3 Trechterplots voor de hoofdmeta-analyse (a) en de follow-up meta-analyse (b). Een trechterplot toont de effectgrootte van elke studie op de x-as en de bijbehorende standaardfout op de y-as. Als er geen vertekening is, heeft de plot een trechtervorm, met studies die verspreid en symmetrisch verdeeld zijn rond de gepoolde effectgrootte.
Aanleiding en resultaten follow-up meta-analyse
Uit de resultaten blijkt dat depressie wordt gekenmerkt door een expliciete LTG-bias. Er werd echter geen significant effect gevonden voor onderzoeken naar depressie in remissie, wat de hypothese uitdaagt dat expliciete LTG-bias aanhoudt na een depressieve episode en een cognitieve kwetsbaarheidsfactor van depressie vormt. Er moet echter worden opgemerkt dat de eerste meta-analyse uitsluitend onderzoeken bevatte die natuurlijke variaties in geheugenbias onderzochten. Hierdoor werden onderzoeken uitgesloten die een stemmings- of stressmanipulatie gebruikten om een stemmingscongruente bias van expliciete LTG te activeren of teweeg te brengen. Het is echter aannemelijk dat expliciete LTG-bias bij depressie in remissie een kwetsbaarheidsfactor vormt die juist wordt geactiveerd door stress of een negatieve stemming, wat een hypothese is die aansluit bij de meeste cognitieve modellen (Beck & Haigh, 2014; Bower, 1981; Ingram, 1984).
Om deze mogelijkheid te onderzoeken werd een follow-up meta-analyse uitgevoerd, die zich richtte op expliciete LTG-bias bij depressie in remissie onder zowel natuurlijke als geïnduceerde stemmingsomstandigheden of stressoren. In deze follow-up werden 21 studies opgenomen. In zeven hiervan werd stemmings- of stressinductie toegepast. Samengevat vonden we ook in deze analyse geen significante totale effectgrootte (g = 0,131, 95% CI [-0,045, 0,307]), maar wel een significante effectgrootte voor studiecondities waarbij gebruik werd gemaakt van stemmings- of stressinductie (g = 0,273, 95% CI [0,004, 0,542]). Voor een uitgebreide beschrijving van de resultaten van deze follow-up analyse, zie Everaert en collega's (2022).
Discussie
De huidige meta-analyse ondersteunt een klein maar significant effect voor een natuurlijke expliciete LTG-bias in depressie. De effectgrootte is in overeenstemming met cognitieve modellen van depressie (Beck & Haigh, 2014; Bower, 1981; Hertel, 2004a; Ingram, 1984; Williams et al., 1997), literatuuroverzichten (Bogie et al., 2019; LeMoult & Gotlib, 2019; Wisco, 2009) en een eerdere meta-analyse (Matt et al., 1992). Uit de resultaten van de follow-up meta-analyse kwam daarnaast bewijs naar voren voor een expliciete LTG-bias bij depressie in remissie, maar alleen wanneer er een stemmingsinductie toegepast was om de geheugenbias te activeren. In beide meta-analyses werd significante variatie gevonden tussen effectgroottes binnen of tussen studies. Vooraf bepaalde moderators zijn onderzocht om mogelijke variabelen die bijdragen tot deze verschillen vast te stellen en antwoorden op de volgende drie kernvragen te formuleren.
Hoe uit expliciete LTG-bias zich bij depressie?
De resultaten ondersteunen theorieën die stellen dat depressie wordt gekenmerkt door zowel een negatieve geheugenbias als een gebrek aan een positieve geheugenbias (Beck & Haigh, 2014; Bower, 1981; Clark et al., 1999; Hertel, 2004a; Ingram, 1984; Williams et al., 1988, 1997). Het kleine tot matige effect voor een verminderde positieve geheugenbias bleek sterker te zijn dan het kleine effect voor een negatieve bias. Dit is opmerkelijk, omdat het gros van het onderzoek zich richt op hoe negatieve informatie verwerkt wordt (Everaert et al., 2012; Gotlib & Joormann, 2010; LeMoult & Gotlib, 2019) en depressie bovendien als een 'negatieve stoornis' wordt gezien. Dit verschil in omvang benadrukt dat het belangrijk is om het gebrek aan positieve emotie mee te wegen in de interacties tussen cognitie en emotie bij depressie. Een verminderde positieve geheugenbias kan namelijk verminderd positief affect en anhedonie helpen verklaren als kenmerkende symptomen van depressie (APA, 2014), evenals problemen met de positieve emotieregulatie die laag positief affect onderhouden (Vanderlind et al., 2020, 2021). Deze bevinding heeft bovendien implicaties voor opkomende cognitieve trainingen die in aanvulling op standaardbehandeling of als e-mental health preventietool aangeboden kunnen worden: cognitive bias modification (CBM) gericht op het geheugen (Becker et al., 2015; Visser et al., 2020; Vrijsen et al., 2016). Deze technieken richten zich specifiek op het versterken van het expliciete positieve automatische geheugen.
Wie vertoont een expliciete LTG-bias?
Het onderzoek naar potentiële leeftijdsgerelateerde verschillen wees erop dat minderjarigen en volwassenen een bias vertonen die vergelijkbaar is in grootte. Hoewel dit overeenkomt met de theorie die stelt dat de bias gevormd wordt tijdens de kindertijd (Beck & Haigh, 2014; Clark et al., 1999; Dozois & Dobson, 2001a), biedt dit alleen indirecte steun voor het idee van geheugenbias als een stabiele cognitieve factor. Longitudinaal onderzoek is nodig om personen te volgen tijdens transities gedurende het leven, teneinde te ontdekken wanneer expliciete LTG-bias in depressie opkomt en stabiliseert.
Studies met een hoger percentage vrouwelijke deelnemers leverden geen grotere effectgroottes op. Dit is opvallend, want recent werk suggereert dat de associatie tussen depressieve symptomen en geheugenbias sterker is bij adolescente vrouwen (Bone et al., 2021). Het is echter mogelijk dat deze sterkere associatie alleen voorkomt tijdens ontwikkelingsperioden met een verhoogd risico op psychopathologie, zoals de adolescentie (Kessler et al., 2005). Verder onderzoek is daarom nodig om potentiële genderverschillen in geheugenbias gedurende alle levensfasen te onderzoeken.
De bevinding dat personen met klinische depressie mogelijk geen ernstigere expliciete LTG-bias vertonen dan niet-gediagnosticeerde personen met verhoogde depressieve symptomen, suggereert dat klinische depressie wellicht niet kwalitatief verschilt van niet-klinische vormen wat betreft expliciete LTG-bias. Bij het onderzoeken van deze bias zou een dimensionele aanpak daarom geschikter kunnen zijn dan het gebruik van een strikte klinische diagnostische cut-off om kwetsbaarheid voor depressie te onderzoeken (Gibb et al., 2004; Sanislow, 2020). Vanwege het beperkte aantal studies was het helaas niet mogelijk om in deze meta-analyse te testen of de aanwezigheid van andere psychische aandoeningen de sterkte van de effectgrootte verandert. Het onderzoeken van de rol van comorbiditeit is een interessante richting voor toekomstige meta-analytische reviews.
De opmerkelijkste bevinding was dat er in de hoofdmeta-analyse geen bewijs werd gevonden voor een expliciete LTG-bias bij depressie in remissie onder natuurlijke omstandigheden. De follow-up meta-analyse omvatte daarom ook studies waarbij stemmingsinductie werd gebruikt. Hieruit bleek dat een geheugenbias in depressie mogelijk alleen voorkomt na een stemmings- of stressinductie. Deze observatie bevestigt voorspellingen van cognitieve modellen dat expliciete LTG-bias blijft bestaan na een depressieve episode (Clark et al., 1999; Ingram, 1984) als een latent proces dat wordt geactiveerd door stress of een negatieve stemming (Just et al., 2001). Ook komt deze observatie overeen met een eerdere meta-analyse, die een sluimerend gebrek in LTG-capaciteit na herstel liet zien (Semkovska et al., 2019). Het is echter belangrijk om dit resultaat voorzichtig te interpreteren, want slechts zeven studies naar depressie in remissie gebruikten stemmingsinductie. Dit aantal is lager dan de aanbevolen tien studies die nodig zijn om een kenmerk te includeren in moderatoranalyses (Harrer et al., 2021; Higgins et al., 2022).
Wanneer treedt expliciete LTG-bias op bij depressie?
De bevindingen op dit gebied kunnen met name relevant zijn voor het design van toekomstig onderzoek. Dat kan dan namelijk rekening houden met de diepte van verwerking en het gebruik van vrije herinnerings- of herkenningstaken. Uit de resultaten bleek dat zelfrelevant coderen gelinkt is aan een sterkere expliciete LTG-bias in depressie. Dit komt overeen met theoretische modellen die stellen dat een dergelijke bias getriggerd wordt door informatie die relevant is voor de negatieve schema's van deze persoon (Clark et al., 1999) of diens geheugennetwerken (Ingram, 1984). Ook draagt deze bevinding bij aan het toenemende aantal studies dat erop wijst dat zelfrelevante verwerking een cruciaal cognitief kenmerk van depressie is (Alloy et al., 1997; Connolly et al., 2016; Dainer-Best et al., 2017). Studies die niet-zelfrelevante conceptuele codering gebruikten, leverden echter geen grotere effectgroottes op dan studies met perceptuele condities, wat niet overeenkomt met andere modellen over diepte van verwerking die ervan uitgaan dat conceptuele verwerking leidt tot een verhoogde daaropvolgende herinnering (Craik, 2002; Craik & Lockhart, 1972). Deze afwezigheid van verschillen staat ook op gespannen voet met theorieën die stellen dat een sterkere expliciete LTG-bias zou voorkomen na conceptuele verwerking (Ingram, 1984; Williams et al., 1988, 1997). Samen wijzen deze bevindingen erop dat de diepte van verwerking tijdens het coderen van emotioneel materiaal niet bepaalt of een expliciete LTG-bias voorkomt, maar alleen bijdraagt aan de omvang van de resulterende bias.
Uit de hoofdmeta-analyse kwamen statistisch significante effecten naar voren voor zowel incidentele als opzettelijke coderingstaken, maar het verschil tussen beide vormen was niet significant. Hoewel opzettelijk coderen van emotioneel materiaal doorgaans het geheugen voor het gecodeerde materiaal vergroot (Ruiz-Caballero & González, 1994), suggereren deze resultaten dat expliciete LTG-bias in depressie relatief robuust is voor variaties in intentionaliteit tijdens het coderen.
Ook factoren die meespelen tijdens het ophalen van informatie uit het geheugen kunnen impact hebben op expliciete LTG-bias in depressie. Het feit dat vrije herinnering grotere effecten opleverde dan herkenningstaken suggereert dat ze wellicht mechanistische verschillen hebben, ook al worden beide taken algemeen beschouwd als expliciete geheugentaken. In herkenningstaken kunnen twee ophaalprocessen bijdragen aan de prestatie op emotionele geheugentaken, namelijk: (1) herinnering (het terughalen van specifieke details over het eerder in aanraking zijn gekomen met een item), en (2) vertrouwdheid (het gevoel een item eerder te zijn tegengekomen zonder specifieke details terug te halen) (Everaert & Koster, 2015; Jermann et al., 2009). Helaas hebben de meeste studies die gebruikmaakten van herkenningstaken geen onderscheid gemaakt tussen deze twee cognitieve processen, waardoor kleine effecten van impliciete geheugenbias de expliciete geheugeneffecten in herkenningstaken kunnen hebben vertroebeld (Gaddy & Ingram, 2014). Daarentegen lijken vrije herinneringstaken voornamelijk te bouwen op gecontroleerde cognitieve processen, waarbij deelnemers zelf een geheugenproces moeten starten op basis van interne representaties en zonder externe ophaalaanwijzingen (Polyn et al., 2009). Dit aspect van zelfgereguleerde controle tijdens het ophalen van herinneren zou met name bij depressie problematisch kunnen zijn (Strauman, 2017) en zo kunnen verklaren waarom er een sterkere expliciete LTG-bias is bij vrije herinnering.
Risico op vertekening
De kwaliteit van de geïncludeerde studies was over het algemeen hoog en had geen invloed op de omvang van de totale effecten, maar sommige zwakheden bieden aanwijzingen voor toekomstig onderzoek. Ten eerste zou toekomstig werk een poweranalyse moeten leveren om de steekproefgrootte te rechtvaardigen, precieze p-waarden moeten rapporteren voor alle statistische tests, en transparant drop-outs en withdrawals moeten beschrijven. Ten tweede zou men uitgebreid moeten beschrijven in hoeverre de uitgenodigde en geworven deelnemers representatief zijn voor de doelpopulatie. Een aanzienlijk deel van het onderzoek in de psychologie wordt namelijk verricht in voornamelijk WEIRD (western, educated, industrialized, rich, democratic) steekproeven (Henrich et al., 2010). Deze steekproeven ontbreekt het vaak aan demografische diversiteit en deze beperking is ook van toepassing op de huidige review. Ten derde worden de psychometrische eigenschappen (zoals de betrouwbaarheid) van de verschillende gebruikte experimentele paradigma's in veel studies niet gerapporteerd. Deze drie punten vormen een bedreiging voor de transparantie, repliceerbaarheid en maatschappelijke impact van de onderzoeksbevindingen op dit gebied.
Hoewel trechterplot en trechterplot-asymmetrietests suggereren dat effecten van kleine studies in beide meta-analyses niet ontbraken, lieten de resultaten ook zien dat publicatiestatus invloed had op de omvang van de totale effectgrootte in de hoofdmeta-analyse. De follow-up meta-analyse bevatte slechts één ongepubliceerde studie en publicatiestatus kon dan ook niet als moderator getest worden. Aanvullende analyses werden uitgevoerd om vertekening door selectieve publicatie en rapportage te onderzoeken (Everaert et al., 2022). Samengevat wijzen de uitkomsten erop dat de bevindingen van beide meta-analyses relatief robuust zijn voor publicatiebias.
Beperkingen
Het onderzoek heeft enkele beperkingen. Ten eerste weten we niet zeker of de geselecteerde studies representatief zijn voor alle studies naar de relatie tussen depressie en expliciete LTG-bias. Hoewel we het risico om relevante studies te missen verkleind hebben, was het niet mogelijk om de benodigde informatie te verkrijgen voor verscheidene studies die gepubliceerd zijn tussen 1970 en 1980. Daarnaast is deze review gebaseerd op Engelstalige artikelen, die verkregen zijn via zoekstrategieën in databases bestaande uit voornamelijk Engelstalige artikelen. De steekproef van studies kan hierdoor vertekend zijn. Vroeg onderzoek naar expliciete LTG-bias bij depressie en onderzoek dat gepubliceerd is in anderstalige tijdschriften is dus mogelijk minder goed vertegenwoordigd in deze review. Toekomstig onderzoek zou ook niet-Engelstalige bronnen moeten omvatten en zoekopdrachten in meerdere talen moeten uitvoeren om de robuustheid van de expliciete LTG-bias bij depressie tussen landen, culturen en taalgroepen vast te stellen.
Ten tweede was er aanzienlijke heterogeniteit van de gepoolde effectgrootte die niet verklaard kon worden door vooraf bepaalde moderators. Het is opmerkelijk dat slechts een heel klein deel van deze heterogeniteit verklaard kon worden, aangezien we moderators gekozen hebben die een centrale rol spelen in relevante theorieën en methodologieën. Deze beperking benadrukt de noodzaak om verder te identificeren welke studiespecifieke factoren en individuele verschillen expliciete LTG-bias in depressie beïnvloeden (zoals de leeftijd waarop depressie voor het eerst optreedt, het aantal episoden in het verleden en het ontvangen van behandeling). Gezien het hoge niveau aan onverklaarde heterogeniteit moeten de resultaten van deze huidige meta-analyse voorzichtig geïnterpreteerd worden.
Ten slotte bevat deze review data van experimentele studies die expliciete LTG-bias eenmalig meten in een hooggecontroleerde omgeving, zoals een onderzoekslaboratorium. Deze designs beperken de ecologische validiteit, omdat ze: (1) in een niet-natuurlijke omgeving de bias van de deelnemer meten, en (2) die bias maar één keer meten, hoewel we weten dat de context en ervaringen bias beïnvloeden. Het bewijs voor expliciete LTG-bias bij huidige depressie wijst wel op de potentiële rol ervan als kwetsbaarheids- of bijdragende factor, maar om dit te testen is longitudinaal onderzoek nodig (dus met meerdere meetmomenten) en ook experimenteel onderzoek (waarin geheugenbias gemanipuleerd wordt) om de invloed op depressieve symptomen vast te kunnen stellen. Sommige recente onderzoeken hebben Ecological Momentary Assessment (EMA) gebruikt om expliciete LTG-bias in het echte leven te bestuderen. Deelnemers vullen dan enkele keren per dag via een applicatie op een smartphone korte vragenlijsten in. Men rapporteerde dat een op EMA gebaseerde expliciete geheugenbiasmeting significant correleerde met zowel depressieve symptomen als rumineren, en met geheugenbias zoals gemeten met de Self Referent Encoding Task (SRET) (Vrijsen, Ikani et al., 2021). Zoals eerder genoemd, duiden de resultaten van de eerste experimentele studies met CBM-Geheugen erop dat er inderdaad een causale relatie tussen geheugenbias en (kenmerken van) depressie is (Becker et al., 2015; Visser et al., 2020; Vrijsen et al., 2016). Een recente studie combineerde dit en voerde CBM-Geheugen uit met EMA (Bovy et al., 2022). Toekomstig onderzoek zou EMA-benaderingen kunnen inzetten in longitudinale of behavorial high-risk studiedesigns om het temporele verband tussen expliciete LTG-bias en de ontwikkeling van depressieve symptomen te verhelderen, en beperkingen gerelateerd aan designs bij depressie in remissie te omzeilen.
Klinische implicaties
Gebruikmakend van de causale relatie tussen expliciete LTG-bias en depressieve symptomen kunnen we nadenken over hoe we de zorg voor depressie kunnen verbeteren en preventiestrategieën kunnen versterken. Depressie is een heterogene ziekte, wat het diagnostische proces lastig kan maken. Recente ontwikkelingen vragen om een meer transdiagnostische kijk op onderzoek en diagnostiek in de psychiatrie en geestelijke gezondheidszorg (zie bijvoorbeeld het initiatief van het Amerikaanse National Institute of Mental Health, Research Domain Criteria, z.d.). Geheugenbias is – zoals in deze review ook werd gevonden – een kenmerk van depressie, maar we zien het ook terug in andere stoornissen, inclusief ontwikkelingsstoornissen (Duyser et al., 2020). Interessant is dat geheugenbias ook in andere mentale stoornissen gerelateerd is aan comorbide of subklinische depressie (Duyser et al., 2020). Zeker in een wat zwaardere psychiatrische populatie kan het ontdekken van kwetsbaarheid voor en vaststellen van depressie geholpen worden door de inzet van computertaken, zoals de SRET. De invloed van het meten van expliciete LTG-bias op zowel correcte diagnostiek als op predictie van behandeluitkomsten testen wij momenteel op de afdeling Psychiatrie van het Radboudumc. Daarbij is de SRET opgenomen in de intakeprocedure om betere differentiële diagnostiek en uiteindelijk ook indicatiestelling van (modulaire) behandeling mogelijk te maken.
Verder kan de inzet van CBM-Geheugen als aanvullende behandeling of augmentatiestrategie het effect van de behandeling op depressieve symptomen mogelijk versnellen. Geheugenbias is ook een focus van cognitieve gedragstherapie, waar het op overte manier aangepakt wordt (Vrijsen, de Kleine et al., 2021). Volgens het cognitieve model van Beck (Beck & Haigh, 2014) is het bewerken van de valentie van expliciet (autobiografisch) geheugen een centraal werkingsmechanisme van CGT. Bovendien lijkt het verlichten van geheugenbias een werkingsmechanisme van antidepressieve medicatie te zijn (Harmer et al., 2003). Het extra versterken van positieve geheugenbias door additionele training kan de behandeleffecten wellicht verbeteren. In CBM-Geheugen wordt de voorkeursvalentie van ofwel te onthouden woorden, ofwel eigen herinneringen (autobiografisch geheugen) door herhaalde training van het ophalen van specifiek fijne en positieve informatie uit het geheugen aangepast. Er wordt – net als in CGT – een nieuwe 'geheugengewoonte' gemaakt. Omdat CBM-Geheugen digitaal aangeboden wordt – via de computer of zelfs smartphone (Bovy et al., 2022; Vrijsen et al., 2016) – leent het zich bij uitstek voor e-mental health of m-mental health, naast of ook na de behandeling om terugval te helpen voorkomen. Klinische studies zijn nodig om dit gedegen te onderzoeken.
Conclusie
Deze meta-analytische review biedt een uitgebreid overzicht van tientallen jaren onderzoek op het gebied van expliciete LTG-bias in depressie. De bevindingen leveren bewijs voor de aanwezigheid van expliciete LTG-bias in minderjarigen en volwassenen die momenteel lijden aan depressieve symptomen. De bevindingen van de gepresenteerde meta-analyses ondersteunen de theoretische rol van deze bias als een kwetsbaarheidskenmerk van depressie, maar benadrukken ook beperkingen van de huidige kennis, waaronder de heterogeniteit in effectgroottes die slechts beperkt verklaard kon worden door belangrijke theoretische en methodologische moderators. Verschillende richtingen voor toekomstig onderzoek zijn beschreven voor volgende stappen op dit opwindende onderzoeksgebied.
De auteurs danken Renée Martin-Willett en Jutta Joormann voor hun zeer waardevolle bijdragen aan het oorspronkelijke Engelstalige artikel.
Literatuur
- Alloy, L. B., Abramson, L. Y., Murray, L. A., Whitehouse, W. G., & Hogan, M. E. (1997). Self-referent information-processing in individuals at high and low cognitive risk for depression. Cognition & Emotion, 11, 539-568. https://doi.org/10.1080/026999397379854a
- Alloy, L. B., Black, S. K., Young, M. E., Goldstein, K. E., Shapero, B. G., Stange, J. P., Boccia, A. S., Matt, L. M., Boland, E. M., Moore, L. C., & Abramson, L. Y. (2012). Cognitive vulnerabilities and depression versus other psychopathology symptoms and diagnoses in early adolescence. Journal of Clinical Child & Adolescent Psychology, 41, 539-560. https://doi.org/10.1080/15374416.2012.703123
- American Psychiatric Association (APA). (2014). Handboek voor de classificatie van psychische stoornissen (DSM-5): Nederlandse vertaling van Diagnostic and Statistical Manual of Mental Disorders, Fifth Edition. Uitgeverij Boom.
- Armstrong, T., & Olatunji, B. O. (2012). Eye tracking of attention in the affective disorders: A meta-analytic review and synthesis. Clinical Psychology Review, 32, 704-723. https://doi.org/10.1016/j.cpr.2012.09.004
- Asl, F. A., Ghanizadeh, A., Mollazade, J., & Aflakseir, A. (2015). Differences of biased recall memory for emotional information among children and adolescents of mothers with MDD, children and adolescents with MDD, and normal controls. Psychiatry Research, 228, 223-227. https://doi.org/10.1016/j.psychres.2015.04.001
- Beck, A. T., & Haigh, E. A. P. (2014). Advances in cognitive theory and therapy: The generic cognitive model. Annual Review of Clinical Psychology, 10, 1-24. https://doi.org/10.1146/annurev-clinpsy-032813-153734
- Beck, R., & Perkins, T. S. (2001). Cognitive content-specificity for anxiety and depression: A meta-analysis. Cognitive Therapy and Research, 25, 651-663. https://doi.org/10.1023/A:1012911104891
- Becker, E. S., Vanderhasselt, M.-A., & Vrijsen, J. N. (2015). Memory training in depression. Current Opinion in Psychology, 4, 48-52. https://doi.org/10.1016/j.copsyc.2015.02.004
- Bianchi, R., Laurent, E., Schonfeld, I. S., Bietti, L. M., & Mayor, E. (2020). Memory bias toward emotional information in burnout and depression. Journal of Health Psychology, 25, 1567-1575. https://doi.org/10.1177/1359105318765621
- Bishop, S., Dalgleish, T., & Yule, W. (2004). Memory for emotional stories in high and low depressed children. Memory, 12, 214-230. https://doi.org/10.1080/09658210244000667
- Bogie, B. J. M., Persaud, M. R., Smith, D., Kapczinski, F. P., & Frey, B. N. (2019). Explicit emotional memory biases in mood disorders: A systematic review. Psychiatry Research, 278, 162-172. https://doi.org/10.1016/J.PSYCHRES.2019.06.003
- Bone, J. K., Lewis, G., & Lewis, G. (2020). The role of gender inequalities in adolescent depression. The Lancet Psychiatry, 7, 471-472. https://doi.org/10.1016/S2215-0366(20)30081-X
- Bone, J. K., Lewis, G., Roiser, J. P., Blakemore, S.-J., & Lewis, G. (2021). Recall bias during adolescence: Gender differences and associations with depressive symptoms. Journal of Affective Disorders, 282, 299-307. https://doi.org/10.1016/j.jad.2020.12.133
- Borman, G. D., & Grigg, J. A. (2009). Visual and narrative interpretation. In H. Cooper, L. V. Hedges, & J. C. Valentine (Eds.), The handbook of research synthesis and meta-analysis (pp. 497-519). Sage Publications.
- Bovy, L., Ikani, N., van de Kraats, L. N. M., Dresler, M., Tendolkar, I., & Vrijsen, J. N. (2022). The effects of daily autobiographical memory training on memory bias, mood and stress resilience in dysphoric individuals. Scientific Reports, 12, 20873. https://doi.org/10.1038/s41598-022-25379-9
- Bower, G. H. (1981). Mood and memory. American Psychologist, 36, 129-148. https://doi.org/10.1037/0003-066X.36.2.129
- Brown, T. A., Campbell, L. A., Lehman, C. L., Grisham, J. R., & Mancill, R. B. (2001). Current and lifetime comorbidity of the DSM-IV anxiety and mood disorders in a large clinical sample. Journal of Abnormal Psychology, 110, 585-599. https://doi.org/10.1037/0021-43X.110.4.585
- Callahan, B. L., Laforce, R., Dugas, M., & Hudon, C. (2017). Memory for emotional images differs according to the presence of depressive symptoms in individuals at risk for dementia. International Psychogeriatrics, 29, 673-685. https://doi.org/10.1017/S1041610216002179
- Clark, D. A., Beck, A. T., & Alford, B. A. (1999). Scientific foundations of cognitive theory and therapy of depression. John Wiley & Sons.
- Cohen, J. (1988). Statistical power analysis for the behavioural sciences. Lawrence Earlbaum Associates. https://doi.org/10.1234/12345678
- Connolly, S. L., Abramson, L. Y., & Alloy, L. B. (2016). Information processing biases concurrently and prospectively predict depressive symptoms in adolescents: Evidence from a self-referent encoding task. Cognition & Emotion, 30, 550-560. https://doi.org/10.1080/02699931.2015.1010488
- Cooper, J. L., & Wade, T. D. (2015). The relationship between memory and interpretation biases, difficulties with emotion regulation, and disordered eating in young women. Cognitive Therapy and Research, 39, 853-862. https://doi.org/10.1007/s10608-015-9709-1
- Craik, F. I. M. (2002). Levels of processing: Past, present... And future? Memory, 10, 305-318. https://doi.org/10.1080/09658210244000135
- Craik, F. I. M., & Lockhart, R. S. (1972). Levels of processing: A framework for memory research. Journal of Verbal Learning and Verbal Behavior, 11, 671-684. https://doi.org/10.1016/S0022-5371(72)80001-X
- Dainer-Best, J., Trujillo, L. T., Schnyer, D. M., & Beevers, C. G. (2017). Sustained engagement of attention is associated with increased negative self-referent processing in major depressive disorder. Biological Psychology, 129, 231-241. https://doi.org/10.1016/j.biopsycho.2017.09.005
- Dalgleish, T., Taghavi, R., Neshat-Doost, H., Moradi, A., Canterbury, R., & Yule, W. (2003). Patterns of processing bias for emotional information across clinical disorders: A comparison of attention, memory, and prospective cognition in children and adolescents with depression, generalized anxiety, and posttraumatic stress disorder. Journal of Clinical Child and Adolescent Psychology, 32, 10-21. https://doi.org/10.1207/S15374424JCCP3201_02
- Dozois, D. J. A., & Dobson, K. S. (2001a). A longitudinal investigation of information processing and cognitive organization in clinical depression: Stability of schematic interconnectedness. Journal of Consulting and Clinical Psychology, 69, 914-925. https://doi.org/10.1037/0022-006X.69.6.914
- Dozois, D. J. A., & Dobson, K. S. (2001b). Information processing and cognitive organization in unipolar depression: Specificity and comorbidity issues. Journal of Abnormal Psychology, 110, 236-246. https://doi.org/10.1037//0021-843X.
- Dujardin, A., Bosmans, G., Braet, C., & Goossens, L. (2014). Attachment-related expectations and mother-referent memory bias in middle childhood. Scandinavian Journal of Psychology, 55, 296-302. https://doi.org/10.1111/sjop.12129
- Duyser, F. A., van Eijndhoven, P. F. P., Bergman, M. A., Collard, R. M., Schene, A. H., Tendolkar, I., & Vrijsen, J. N. (2020). Negative memory bias as a transdiagnostic cognitive marker for depression symptom severity. Journal of Affective Disorders, 274, 1165-1172. https://doi.org/10.1016/j.jad.2020.05.156
- Edwards, D. (2007). Restructuring implicational meaning through memory-based imagery: Some historical notes. Journal of Behavior Therapy and Experimental Psychiatry, 38, 306-316. https://doi.org/10.1016/j.jbtep.2007.10.001
- Everaert, J., & Koster, E. H. W. (2015). Interactions among emotional attention, encoding, and retrieval of ambiguous information: An eye-tracking study. Emotion, 15, 539-543. https://doi.org/10.1037/emo0000063
- Everaert, J., Koster, E. H. W., & Derakshan, N. (2012). The combined cognitive bias hypothesis in depression. Clinical Psychology Review, 32, 413-424. https://doi.org/10.1016/j.cpr.2012.04.003
- Everaert, J., Vrijsen, J. N., Martin-Willett, R., van de Kraats, L., & Joormann, J. (2022). A meta-analytic review of the relationship between explicit memory bias and depression: Depression features an explicit memory bias that persists beyond a depressive episode. Psychological Bulletin, 148, 435-463. https://doi.org/10.1037/bul0000367
- Gaddy, M. A., & Ingram, R. E. (2014). A meta-analytic review of mood-congruent implicit memory in depressed mood. Clinical Psychology Review, 34, 402-416. https://doi.org/10.1016/j.cpr.2014.06.001
- Gibb, B. E., Alloy, L. B., Abramson, L. Y., Beevers, C. G., & Miller, I. W. (2004). Cognitive vulnerability to depression: A taxometric analysis. Journal of Abnormal Psychology, 113, 81-89. https://doi.org/10.1037/0021-843X.113.1.81
- Goldstein, B. L., Hayden, E. P., & Klein, D. N. (2015). Stability of Self-Referent Encoding Task performance and associations with change in depressive symptoms from early to middle childhood. Cognition & Emotion, 29, 1445-1455. https://doi.org/10.1080/02699931.2014.990358
- Gotlib, I. H., & Joormann, J. (2010). Cognition and depression: Current status and future directions. Annual Review of Clinical Psychology, 6, 285-312. https://doi.org/10.1146/annurev.clinpsy.121208.131305
- Gotlib, I. H., Kasch, K. L., Traill, S., Joormann, J., Arnow, B. A., & Johnson, S. L. (2004). Coherence and specificity of information-processing biases in depression and social phobia. Journal of Abnormal Psychology, 113, 386-398. https://doi.org/10.1037/0021-843X.113.3.386
- Harmer, C. J., Hill, S. A., Taylor, M. J., Cowen, P. J., & Goodwin, G. M. (2003). Toward a neuropsychological theory of antidepressant drug action: Increase in positive emotional bias after potentiation of norepinephrine activity. American Journal of Psychiatry, 160, 990-992. https://doi.org/10.1176/appi.ajp.160.5.990
- Harrer, M., Cuijpers, P., Furukawa, T. A., & Ebert, D. D. (2021). Doing meta-analysis with R: A hands-on guide. Chapman & Hall/CRC Press. https://doi.org/ 10.1201/9781003107347
- Hayden, E. P., Olino, T. M., Mackrell, S. V. M., Jordan, P. L., Desjardins, J., & Katsiroumbas, P. (2013). Cognitive vulnerability to depression during middle childhood: Stability and associations with maternal affective styles and parental depression. Personality and Individual Differences, 55, 892-897. https://doi.org/10.1016/j.paid.2013.07.016
- Hedges, L. V., & Olkin, I. (1985). Statistical methods for meta-analysis. Academic Press. https://doi.org/10.1002/sim.650
- Henrich, J., Heine, S. J., & Norenzayan, A. (2010). The weirdest people in the world? Behavioral and Brain Sciences, 33, 61-83. https://doi.org/10.1017/S0140525X0999152X
- Herrera, S., Montorio, I., Cabrera, I., & Botella, J. (2017). Memory bias for threatening information related to anxiety: An updated meta-analytic review. Journal of Cognitive Psychology, 29, 832-854. https://doi.org/10.1080/20445911.2017.1319374
- Hertel, P. T. (2004a). Habits of thought produce memory biases in anxiety and depression. In J. Yiend (Ed.), Cognition, emotion and psychopathology: Theoretical, empirical and clinical directions (pp. 109-129). Cambridge University Press.
- Hertel, P. T. (2004b). Memory for emotional and nonemotional events in depression: A question of habit? In D. Reisberg & P. Hertel (Eds.), Memory and emotion (pp. 186-216). Oxford University Press.
- Higgins, J. P. T., Thomas, J., Chandler, J., Cumpston, M., Li, T., Page, M. J., & Welch, V. A. (2022). Cochrane Handbook for systematic reviews of interventions version 6.3 (updated February 2022). Cochrane. www.training.cochrane.org/handbook
- Houben, M., Van Den Noortgate, W., & Kuppens, P. (2015). The relation between short-term emotion dynamics and psychological well-being: A meta-analysis. Psychological Bulletin, 141, 901-930. https://doi.org/10.1037/a003882
- Hughes, J., Worchel, F., Stanton, S., Stanton, H., & Hall, B. (1990). Selective memory for positive and negative story content in children with high self- and peer-ratings of symptoms of depression. School Psychology Quarterly, 5, 265-279. https://doi.org/10.1037/h0090614
- Ilsley, J. E., Moffoot, A. P. R., & O'Carroll, R. E. (1995). An analysis of memory dysfunction in major depression. Journal of Affective Disorders, 35, 1-9. https://doi.org/10.1016/0165-0327(95)00032-I
- Ingram, R. E. (1984). Toward an information-processing analysis of depression. Cognitive Therapy and Research, 8, 443-477. https://doi.org/10.1007/BF01173284
- Ingram, R. E., & Siegle, G. J. (2009). Methodological issues in the study of depression. In I. H. Gotlib & C. L. Hammen (Eds.), Handbook of depression (pp. 60-92). The Guilford Press.
- Jermann, F., Van Der Linden, M., Laurençon, M., & Schmitt, B. (2009). Recollective experience during recognition of emotional words in clinical depression. Journal of Psychopathology and Behavioral Assessment, 31, 27-35. https://doi.org/10.1007/s10862-008-9093-1
- Jin, Z. C., Zhou, X. H., & He, J. (2015). Statistical methods for dealing with publication bias in meta-analysis. Statistics in Medicine, 34, 343-360. https://doi.org/10.1002/sim.6342
- Johnson, S. L., Joormann, J., & Gotlib, I. H. (2007). Does processing of emotional stimuli predict symptomatic improvement and diagnostic recovery from major depression? Emotion, 7, 201-206. https://doi.org/10.1037/1528-3542.7.1.201
- Just, N., Abramson, L. Y., & Alloy, L. B. (2001). Remitted depression studies as tests of the cognitive vulnerability hypotheses of depression onset: A critique and conceptual analysis. Clinical Psychology Review, 21, 63-83. https://doi.org/10.1016/S0272-7358(99)00035-5
- Kessler, R. C., & Bromet, E. J. (2013). The epidemiology of depression across cultures. Annual Review of Public Health, 34, 119-138. https://doi.org/10.1146/annurev-publhealth-031912-114409
- Kessler, R. C., Chiu, W. T., Demler, O., Merikangas, K. R., & Walters, E. E. (2005). Prevalence, severity, and comorbidity of 12-month DSM-IV disorders in the National Comorbidity Survey Replication. Archives of General Psychiatry, 62, 617-627. https://doi.org/10.1001/archpsyc.62.6.617
- Koster, E. H. W., De Raedt, R., Leyman, L., & De Lissnyder, E. (2010). Mood-congruent attention and memory bias in dysphoria: Exploring the coherence among information processing biases. Behaviour Research and Therapy, 48, 219-225. https://doi.org/10.1016/j.brat.2009.11.004
- Kuehner, C. (2017). Why is depression more common among women than among men? The Lancet Psychiatry, 4, 146-158. https://doi.org/10.1016/S2215-0366(16)30263-2
- LeMoult, J., & Gotlib, I. H. (2019). Depression: A cognitive perspective. Clinical Psychology Review, 69, 51-66. https://doi.org/10.1016/j.cpr.2018.06.008
- Lim, S.-L., & Kim, J.-H. (2005). Cognitive processing of emotional information in depression, panic, and somatoform disorder. Journal of Abnormal Psychology, 114, 50-61. https://doi.org/10.1037/0021-843X.114.1.50
- Mathews, A., & Macleod, C. M. (2005). Cognitive vulnerability to emotional disorders. Annual Review of Clinical Psychology, 1, 167-195. https://doi.org/10.1146/annurev.clinpsy.1.102803.143916
- Matt, G. E., Vázquez, C., & Campbell, W. K. (1992). Mood-congruent recall of affectively toned stimuli: A meta-analytic review. Clinical Psychology Review, 12, 227-255. https://doi.org/10.1016/0272-7358(92)90116-P
- Moilanen, D. L. (1993). Depressive information processing among nonclinic, nonreferred college students. Journal of Counseling Psychology, 40, 340-347. https://doi.org/10.1037/0022-0167.40.3.340
- Moulds, M. L., Kandris, E., & Williams, A. D. (2007). The impact of rumination on memory for self-referent material. Memory, 15, 814-821. https://doi.org/10.1080/09658210701725831
- Munder, T., Flückiger, C., Leichsenring, F., Abbass, A. A., Hilsenroth, M. J., Luyten, P., Rabung, S., Steinert, C., & Wampold, B. E. (2019). Is psychotherapy effective? A re-analysis of treatments for depression. Epidemiology and Psychiatric Sciences, 28, 268-274. https://doi.org/10.1017/S2045796018000355
- Murray, L. A., Whitehouse, W. G., & Alloy, L. B. (1999). Mood congruence and depressive deficits in memory: A forced-recall analysis. Memory, 7, 175-196. https://doi.org/10.1080/741944068
- National Institute of Mental Health. (z.d.). Research Domain Criteria (RDoC). www.nimh.nih.gov/research/research-funded-by-nimh/rdoc
- Polyn, S. M., Norman, K. A., & Kahana, M. J. (2009). A context maintenance and retrieval model of organizational processes in free recall. Psychological Review, 116, 129-156. https://doi.org/10.1037/a0014420
- R Core Team. (2021). R: A language and environment for statistical computing. R Foundation for Statistical Computing. www.R-project.org
- Reid, S. C., Salmon, K., & Lovibond, P. F. (2006). Cognitive biases in childhood anxiety, depression, and aggression: Are they pervasive or specific? Cognitive Therapy and Research, 30, 531-549. https://doi.org/10.1007/s10608-006-9077-y
- Reilly-Harrington, N. A., Alloy, L. B., Fresco, D. M., & Whitehouse, W. G. (1999). Cognitive styles and life events interact to predict bipolar and unipolar symptomatology. Journal of Abnormal Psychology, 108, 567-578. https://doi.org/10.1037/0021-843X.108.4.567
- Ridout, N., Astell, A., Reid, I., Glen, T., & O'Carroll, R. (2003). Memory bias for emotional facial expressions in major depression. Cognition & Emotion, 17, 101-122. https://doi.org/10.1080/02699930302272
- Ridout, N., Noreen, A., & Johal, J. (2009). Memory for emotional faces in naturally occurring dysphoria and induced sadness. Behaviour Research and Therapy, 47, 851-860. https://doi.org/10.1016/j.brat.2009.06.013
- Rinck, M., & Becker, E. S. (2005). A comparison of attentional biases and memory biases in women with social phobia and major depression. Journal of Abnormal Psychology, 114, 62-74. https://doi.org/10.1037/0021-843X.114.1.62
- Romero, N., Sanchez, A., Vázquez, C., & Valiente, C. (2016). Explicit self-esteem mediates the relationship between implicit self-esteem and memory biases in major depression. Psychiatry Research, 242, 336-344. https://doi.org/10.1016/j.psychres.2016.06.003
- Ruiz-Caballero, J. A., & González, P. (1994). Implicit and explicit memory bias in depressed and non-depressed subjects. Cognition and Emotion, 8, 555-569. https://doi.org/10.1080/02699939408408959
- Salk, R. H., Hyde, J. S., & Abramson, L. Y. (2017). Gender differences in depression in representative national samples: Meta-analyses of diagnoses and symptoms. Psychological Bulletin, 143, 783-822. https://doi.org/10.1037/bul0000102
- Sanislow, C. A. (2020). RDoC at 10: Changing the discourse for psychopathology. World Psychiatry, 19, 311-312. https://doi.org/10.1002/wps.20800
- Semkovska, M., Quinlivan, L., O'Grady, T., Johnson, R., Collins, A., O'Connor, J., Knittle, H., Ahern, E., & Gload, T. (2019). Cognitive function following a major depressive episode: A systematic review and meta-analysis. The Lancet Psychiatry, 6, 851-861. https://doi.org/10.1016/S2215-0366(19)30291-3
- Sloan, D. M., Strauss, M. E., & Wisner, K. L. (2001). Diminished response to pleasant stimuli by depressed women. Journal of Abnormal Psychology, 110, 488-493. https://doi.org/10.1037/0021-843X.110.3.488
- Strauman, T. J. (2017). Self-regulation and psychopathology: Toward an integrative translational research paradigm. Annual Review of Clinical Psychology, 13, 497-523. https://doi.org/10.1146/annurev-clinpsy-032816-045012
- Tarsia, M., Power, M. J., & Sanavio, E. (2003). Implicit and explicit memory biases in mixed anxiety-depression. Journal of Affective Disorders, 77, 213-225. https://doi.org/10.1016/S0165-0327(02)00119-2
- Vanderlind, W. M., Everaert, J., & Joormann, J. (2021). Positive emotion in daily life: Emotion regulation and depression. Emotion, 22, 1612-1624. https://doi.org/10.1037/emo0000944
- Vanderlind, W. M., Millgram, Y., Baskin-Sommers, A. R., Clark, M. S., & Joormann, J. (2020). Understanding positive emotion deficits in depression: From emotion preferences to emotion regulation. Clinical Psychology Review, 76, 101826. https://doi.org/10.1016/j.cpr.2020.101826
- Visser, D. A., Tendolkar, I., Schene, A. H., van de Kraats, L., Ruhe, H. G., & Vrijsen, J. N. (2020). A pilot study of smartphone-based memory bias modification and its effect on memory bias and depressive symptoms in an unselected population. Cognitive Therapy and Research, 44, 61-72. https://doi.org/10.1007/s10608-019-10042-x
- Vittengl, J. R., Clark, L. A., Dunn, T. W., & Jarrett, R. B. (2007). Reducing relapse and recurrence in unipolar depression: A comparative meta-analysis of cognitive-behavioral therapy's effects. Journal of Consulting and Clinical Psychology, 75, 475-488. https://doi.org/10.1037/0022-006X.75.3.475
- Vrijsen, J. N., de Kleine, R. A., Becker, E. S., Wenzel, A., & Smits, J. A. J. (2021). Empirical status of mechanisms of change. In A. Wenzel (Ed.), Handbook of cognitive behavioral therapy: Overview and approaches (pp. 91-129). American Psychological Association. https://doi.org/10.1037/0000218-004
- Vrijsen, J. N., Hertel, P. T., & Becker, E. S. (2016). Practicing emotionally biased retrieval affects mood and establishes biased recall a week later. Cognitive Therapy and Research, 40, 764-773. https://doi.org/10.1007/s10608-016-9789-6
- Vrijsen, J. N., Ikani, N., Souren, P., Rinck, M., Tendolkar, I., & Schene, A. H. (2021). How context, mood, and emotional memory interact in depression: A study in everyday life. Emotion, 23, 41-51. https://doi.org/10.1037/emo0000783
- Vrijsen, J. N., van Amen, C. T., Koekkoek, B., van Oostrom, I., Schene, A. H., & Tendolkar, I. (2017). Childhood trauma and negative memory bias as shared risk factors for psychopathology and comorbidity in a naturalistic psychiatric patient sample. Brain and Behavior, 7, e00693. https://doi.org/10.1002/brb3.693
- Williams, J. M. G., Watts, F. N., MacLeod, C. M., & Mathews, A. (1988). Cognitive psychology and emotional disorders. John Wiley & Sons.
- Williams, J. M. G., Watts, F. N., MacLeod, C. M., & Mathews, A. (1997). Cognitive psychology and emotional disorders (2nd ed.). John Wiley & Sons.
- Wisco, B. E. (2009). Depressive cognition: Self-reference and depth of processing. Clinical Psychology Review, 29, 382-392. https://doi.org/10.1016/j.cpr.2009.03.003
- World Health Organization. (2017). Depression and other common mental disorders: Global health estimates. World Health Organization.
- Young, J. E., Klosko, J. S., & Weishaar, M. E. (2003). Schema therapy. Guilford Press.
- Yovel, I., & Mineka, S. (2004). Hierarchical models of emotional disorders and emotion-congruent cognitive biases. Personality and Individual Differences, 36, 679-694. https://doi.org/10.1016/S0191-8869(03)00125-9
Noot
- 1.Dit artikel is een bewerkte vertaling van Everaert en collega's (2022), opgenomen met toestemming van de American Psychological Association.
© 2009-2025 Uitgeverij Boom Amsterdam
De artikelen uit de (online)tijdschriften van Uitgeverij Boom zijn auteursrechtelijk beschermd. U kunt er natuurlijk uit citeren (voorzien van een bronvermelding) maar voor reproductie in welke vorm dan ook moet toestemming aan de uitgever worden gevraagd:
Behoudens de in of krachtens de Auteurswet van 1912 gestelde uitzonderingen mag niets uit deze uitgave worden verveelvoudigd, opgeslagen in een geautomatiseerd gegevensbestand, of openbaar gemaakt, in enige vorm of op enige wijze, hetzij elektronisch, mechanisch door fotokopieën, opnamen of enig andere manier, zonder voorafgaande schriftelijke toestemming van de uitgever.
Voor zover het maken van kopieën uit deze uitgave is toegestaan op grond van artikelen 16h t/m 16m Auteurswet 1912 jo. Besluit van 27 november 2002, Stb 575, dient men de daarvoor wettelijk verschuldigde vergoeding te voldoen aan de Stichting Reprorecht te Hoofddorp (postbus 3060, 2130 KB, www.reprorecht.nl) of contact op te nemen met de uitgever voor het treffen van een rechtstreekse regeling in de zin van art. 16l, vijfde lid, Auteurswet 1912.
Voor het overnemen van gedeelte(n) uit deze uitgave in bloemlezingen, readers en andere compilatiewerken (artikel 16, Auteurswet 1912) kan men zich wenden tot de Stichting PRO (Stichting Publicatie- en Reproductierechten, postbus 3060, 2130 KB Hoofddorp, www.cedar.nl/pro).
No part of this book may be reproduced in any way whatsoever without the written permission of the publisher.
Inloggen VGCt en VVGT
Leden van de VGCt en de VVGT loggen in via de site van hun vereniging. Als u op die site bent ingelogd als lid, vindt u daar een button naar het Tijdschrift voor Gedragstherapie.
English
Behavioral Therapy: Journal for Behavioral Therapy and Cognitive Therapy ISSN 0167-7454
Information in English can be found here.





