Inhoud
Geloven in je herstel1
Samenvatting
Achtergrond: Wanneer jongeren geconfronteerd worden met psychische problemen of ingrijpende gebeurtenissen, kan dat leiden tot stress en vragen over betekenis en zingeving. Religie is een potentiële positieve hulpbron om hiermee om te gaan: positieve religieuze coping. In deze studie hebben we onderzocht wat het effect is van een nieuw werkboek gericht op religieuze coping (Ik kan het aan! Geloven in je herstel) voor christelijke jongeren met angstklachten. Dit werkboek is een aanvulling op het bestaande CGT-protocol Denken + Doen = Durven (DDD). Wij verwachtten dat deze aanpak zou leiden tot een toename van positieve religieuze coping en klinisch en existentieel herstel, meer dan wanneer alleen DDD ingezet zou worden.
Methode: De effectiviteit werd onderzocht door middel van een single case experimental design (SCED) (N = 6), waarbij jongeren om en om werden toegewezen aan een experimentele groep (DDD + werkboek; n = 3) of een controlegroep (alleen DDD; n = 3). Het design bestond uit een baselinefase (4 wekelijkse metingen) en een behandelfase (12 wekelijkse metingen).
Resultaten: In de experimentele groep was er sprake van een toename wat betreft wekelijkse metingen van positieve religieuze coping en klinisch en existentieel herstel, met matige tot grote effectgrootten. Emotionele problemen waren bij alle drie deelnemers aan het einde van de behandelsessies significant verminderd. In de controlegroep was dit niet het geval: er was weinig tot geen verbetering, zelfs verslechtering, wat betreft de wekelijkse metingen.
Conclusie: Het nieuwe werkboek, dat een bestaande CGT-behandeling aanvult, lijkt ingezet te kunnen worden in de behandeling van christelijke jongeren met angstklachten. Het kan mogelijk bijdragen aan een toename van positieve religieuze coping, en aan klinisch en existentieel herstel. Een vergelijking met de controlegroep was niet zinvol, vanwege vertroebeling van de resultaten in deze groep. Vanwege de beperkingen van het gebruikte onderzoeksdesign is verder onderzoek nodig om dit onderzoek te repliceren en de werkingsmechanismen ervan te toetsen in een grotere steekproef of met een ander SCED.
Kernboodschappen voor de klinische praktijk
- Psychische problemen of ingrijpende gebeurtenissen kunnen leiden tot stress en vragen over betekenis en zingeving. Voor jongeren kan religie een potentiële hulpbron zijn om hiermee om te gaan. Dit noemen we 'positieve religieuze coping'. In de behandeling van jongeren is het van belang om, naast het bestrijden van symptomen, ook aandacht te hebben voor het ontdekken van eigen bestaande of potentiële sterke kanten en hulpbronnen en die van hun omgeving (zoals gezin of gemeenschap). Hierbij is oog voor religie en levensovertuiging gewenst.
- Religieuze coping treedt vaak op bij ingrijpende gebeurtenissen, wanneer andere vormen van coping niet toereikend zijn, en kan een belangrijkere rol spelen dan behandelaren in de zorg veelal denken.
- Expliciete aandacht voor religieuze coping, zoals in het werkboek Ik kan het aan! Geloven in je herstel, zou bij christelijke jongeren met angstklachten bij kunnen dragen aan een toename van positieve religieuze coping (het geloof wordt meer een bron van steun, troost en kracht), en aan klinisch herstel (verminderen van klachten) en existentieel herstel (toename van hoop, empowerment en spiritueel welbevinden).
Inleiding
Stress, coping en herstel
Wanneer jongeren een ingrijpende gebeurtenis meemaken, of geconfronteerd worden met psychische problemen of een beperking, kan dat voor stress zorgen. Volgens van der Ploeg (2013) is stress te definiëren als 'de subjectieve beleving van een verstoord evenwicht tussen draaglast en draagkracht'. Hoe een jongere omgaat met deze stress, noemen we 'coping' (Lazarus & Folkman, 1984). Op basis van de inschatting van een situatie als een bron van stress (primaire inschatting) en van eigen beschikbare hulpbronnen (secundaire inschatting) gaat iemand over tot coping om weer tot een evenwicht te komen: de pogingen om de stressvolle situatie en de daaruit voortkomende emoties, gedachten en gedragingen onder controle te krijgen of te houden. Sommige vormen van coping zijn effectief, zoals sociale steun zoeken, maar andere vormen (op langere termijn) niet of minder goed, zoals opstandige of ontwijkende vormen (van der Ploeg, 2013).
In de nieuwe concepten voor een 'goede geestelijke gezondheidszorg (ggz)' wordt beschreven dat behandeling niet alleen gericht moet zijn op het bestrijden van symptomen, maar ook op het 'leren omgaan met' (Delespaul et al., 2016). Het is dus belangrijk dat iemand voldoende coping ontwikkelt om weer te werken aan (aangepaste) doelen. Het gaat hierbij om werken aan welbevinden en functioneren, ondanks de symptomen, door bijvoorbeeld het ontdekken en ontwikkelen van mogelijkheden, sterke kanten en bronnen van zingeving (Bohlmeijer et al., 2013). Ook de huidige benadering binnen de ggz gaat niet zozeer uit van herstel in de vorm van genezing, zoals meetbaar in afname van klachten, maar juist in 'het ervaren van een bevredigend, hoopvol en betekenisvol leven, ondanks de beperkingen van een ziekte' (Brouwers et al., 2013). Coping als 'leren omgaan met' of als bron van veerkracht is hier een belangrijk onderdeel van.
Ook binnen de jeugd-ggz is er een groeiend bewustzijn dat het om adequaat hulp te kunnen bieden niet voldoende is om kennis te hebben van problematiek en symptomen (Kuiper & Bannink, 2012). Het wordt daarnaast als belangrijk gezien dat jongeren hun eigen bestaande of potentiële sterke kanten en hulpbronnen ontdekken, evenals die van hun omgeving (zoals gezin of gemeenschap). Door hier gebruik van te maken, kan een jongere individuele en relationele veerkracht ontwikkelen en na een ingrijpende gebeurtenis herstellen en zelfs groeien (Kuiper & Bannink, 2012).
Religie is een van de potentiële hulpbronnen voor het omgaan met stressvolle levensgebeurtenissen. Het betrekken van religieuze of spirituele thema's in diagnostiek en behandeling blijkt over het algemeen samen te gaan met een beter behandelresultaat bij cliënten voor wie religie belangrijk is (Weber & Pargament, 2014). Aandacht voor bronnen van zingeving kan dus bijdragen aan herstel. Ook als de klinische symptomen aanhouden, kan het herstelproces bevorderd worden (Brouwers et al., 2013). Zoals gezegd is herstel breder dan afname van klachten: het kan op meerdere domeinen plaatsvinden, die met elkaar interacteren. Herstel op een bepaald domein kan bijvoorbeeld voorafgaan aan herstel op een ander domein (Delespaul et al., 2016). Naast klinisch herstel (afname van symptomen) zijn onder andere te onderscheiden existentieel herstel (bijvoorbeeld hoop en spiritueel welbevinden), functioneel herstel (bijvoorbeeld de rol in de samenleving, werk of studie), lichamelijk herstel (bijvoorbeeld gezondheid en levensstijl) en sociaal herstel (bijvoorbeeld betekenisvolle relaties) (Whitley & Drake, 2010). In dit onderzoek richten we ons op het klinisch en existentieel herstel van jongeren in relatie tot religieuze coping.
Religieuze coping
De confrontatie met ingrijpende gebeurtenissen in het leven levert vaak vragen op die te maken hebben met betekenis en zingeving. Dit zijn vragen als: 'Waarom overkomt mij dit?', 'Wat is voor mij (echt) belangrijk in het leven?', 'Wat kan ik bereiken?', en: 'Wie ben ik?' (de Jong & Schaap-Jonker, 2016). Als de zoektocht naar nieuwe zin en betekenis – the search for significance – plaatsvindt binnen een religieus kader, valt die onder de term 'religieuze coping' (Pargament, 1997; Pieper, 2012). Religieuze copingstrategieën kunnen verschillende functies vervullen: (1) het vinden van zin en betekenis, (2) het verschaffen van controle, (3) het zoeken van contact met God, (4) het vinden van sociale steun, en (5) het handhaven, herstellen of vergroten van het gevoel van eigenwaarde (Pargament et al., 2013; Pieper, 2012). Voorbeelden van religieuze coping zijn bidden, met anderen in gesprek gaan over je geloofsbeleving, en nadenken over de betekenis van de situatie en wat God daarin kan doen.
Religieuze coping kan zowel positief als negatief zijn. Bij positieve religieuze coping ervaren mensen een veilige relatie met God en een gevoel van spirituele verbondenheid met anderen (Ano & Vasconcelles, 2005; Pargament et al., 2013; Weber & Pargament, 2014). Religie kan echter ook een bron zijn van spanning, twijfel en strijd (Stauner et al., 2016). Het gaat dan om strijd in iemands innerlijk, met anderen of met God. Dit wordt 'negatieve religieuze coping' genoemd. Uit onderzoek blijkt dat positieve religieuze coping in verband staat met een betere geestelijke gezondheid, een positievere omgang met lichamelijke ziekten en bijdraagt aan posttraumatisch herstel (zie onder andere: Koenig, 2009; Pargament et al., 2013). Negatieve religieuze coping is over het algemeen vaak maladaptief, en kan leiden tot spanning, angst en depressie (Pargament et al., 2013).
Pieper heeft in 2012 een overzicht gegeven van de ontwikkelingen op het gebied van religieuze coping, gebaseerd op het gedachtegoed van Pargament (1997) en het onderzoek in Nederland. Religieuze coping treedt vaak op bij ingrijpende life events als andere vormen van coping niet toereikend zijn en lijkt een belangrijkere rol te spelen dan behandelaren in de zorg veelal denken (Pieper & van Uden, 2012). Veel mensen die zorg ontvingen, gaven aan veel steun te hebben aan hun geloof, en vonden dat hun behandelaren daar te weinig oog en oor voor hadden. De Snoo-Glas en collega's (2016) hebben daarom een interventie beschreven (een e-health-module) die volwassen cliënten wil helpen bij het expliciteren van hun levensbeschouwelijke zoektocht en hen wil versterken in coping. Door het aanbieden van een religieus (christelijk) kader krijgen cliënten handvatten om het proces van betekenis- en zingeving expliciet te verwoorden en te delen, en hun veerkracht te vergroten. De resultaten van het onderzoek naar de effectiviteit van deze e-health-module zijn nog niet gepubliceerd. Uit de feedback van cliënten blijkt dat de module hen steunt in hun herstel.
Ook voor kinderen en jongeren kan religieuze coping een belangrijke rol spelen bij de omgang met life events (Mahoney et al., 2005). In veel studies wordt een positief verband gevonden tussen religiositeit of spiritualiteit bij adolescenten en hun mentaal welbevinden, maar over de onderliggende processen zijn er nog vragen (Hardy et al., 2019; Wong et al., 2006). Een positieve religieuze copingstijl helpt adolescenten bij het omgaan met een chronische ziekte (Cotton et al., 2009) of kan een belangrijke beschermende factor zijn tegen suïcidaal gedrag (Molock et al., 2006). Het lijkt daarom van belang om ook bij jongeren het geloof actief te betrekken bij de behandeling, indien zij dat zelf willen.
Huidige studie
Voor zover ons bekend was er bij de start van deze studie voor christelijke jongeren nog geen interventie beschikbaar voor het betrekken en versterken van hun religieuze coping in behandeling. Daarom hebben we een werkboek ontwikkeld voor christelijke jongeren (10-18 jaar) met angstklachten, getiteld: Ik kan het aan! Geloven in je herstel. Dit werkboek werd ingezet als aanvulling op de eerste drie hoofdstukken van het bestaande CGT-protocol Denken + Doen = Durven: Werkboek voor jezelf (DDD; Bögels, 2008). We kozen voor deze doelgroep, omdat onze ervaring is dat jongeren met angstklachten in de praktijk vaak geloofsgerelateerde vragen hebben. Het doel van deze multiple case study was onderzoeken welk effect een vorm van religieuze interventie bestaande uit een behandeling met CGT (DDD) aangevuld met het ontwikkelde werkboek had op de positieve religieuze coping van jongeren met angstklachten, en op hun existentieel en klinisch herstel. Onze verwachting was dat het gericht betrekken van het christelijk geloof in de behandeling door middel van het nieuwe werkboek zou bijdragen aan een toename van positieve religieuze coping en klinisch en existentieel herstel.
Methode
Design
De effectiviteit van de interventie werd onderzocht door middel van een single case experimental design (SCED) (N = 6), waarbij jongeren met angstklachten om en om op basis van aanmelding werden toegewezen aan: (1) een experimentele groep (12 sessies CGT (DDD), aangevuld met het werkboek Ik kan het aan! Geloven in je herstel), of aan (2) een controlegroep (12 sessies CGT (DDD)). De studie omvatte een baseline- en een behandelfase, en in beide fasen vonden wekelijkse metingen plaats. De interventie werd geïntroduceerd nadat een baseline was vastgesteld, met minimaal vier wekelijkse metingen. Vijf deelnemers waren nieuw aangemelde cliënten, zodat de baselinefase samenviel met de intakefase. Bij één deelnemer had al een kort rouwverwerkingstraject plaatsgevonden, waarna alsnog angstklachten meer op de voorgrond kwamen te staan. Omdat het moeilijk was om deelnemers te vinden, is zij alsnog geïncludeerd (ze was op dat moment ook nog 9 in plaats van 10 jaar oud). De behandelfase bestond vervolgens uit 12 individuele sessies CGT met eveneens wekelijkse metingen.
Interventie
Denken + Doen = Durven (DDD) is een cognitief- gedragstherapeutisch programma waarin aandacht wordt besteed aan psycho-educatie, cognitieve herstructurering, copingvaardigheden, exposure en terugvalpreventie. Het werkboek voor religieuze coping Ik kan het aan! Geloven in je herstel omvat een benadering van gevoelens, gedachten, helpend gedrag en sterke kanten vanuit het christelijk geloof. Het is deels gebaseerd op een e-health-module gericht op existentieel herstel, ontwikkeld door de Snoo-Glas en collega's (2016). Er wordt onder andere in gerefereerd aan Bijbelse personen als voorbeeld en inspiratiebron. Met QR-codes zijn er verwijzingen toegevoegd naar christelijke liederen en een filmpje. Het hoofdstuk over de sterke kanten van de cliënt en zelfcompassie komt niet voor in de methode DDD. Ten behoeve van de controlegroep zijn er daarom van dit hoofdstuk twee versies ontwikkeld, één met religieuze inhoud en één zonder (alleen de dankbaarheidsoefening heeft de controlegroep niet gehad). Na een korte uitleg volgen steeds een vraag of oefening en een opdracht voor thuis. Om zo goed mogelijk aan te sluiten op de kerkelijke achtergrond van de jongeren, is gebruikgemaakt van vier verschillende vertalingen van de Bijbel. De jongeren konden zelf kiezen voor het werkboek met de vertaling die het beste bij hen paste. Bij de keuze van de liederen is ook rekening gehouden met de verschillen in kerkelijke achtergrond. Het kader geeft een nadere toelichting op het werkboek.
Toelichting op het werkboek voor religieuze coping
- Jouw gevoelens. Je bent als mens door God gemaakt met emoties. Hij begrijpt emoties en schrikt er niet van. Bekende personen in de Bijbel uiten hun emoties naar God. Ze uiten niet alleen blijdschap en dankbaarheid, maar ook verdriet, pijn en teleurstelling. Ook jij mag naar God uiten wat in je omgaat.
- Jouw gedachten (1). Bij het onderzoeken en 'uitdagen' van je nare gedachten kun je ook Bijbelteksten gebruiken. Als jij denkt: 'Ik durf het niet', kan een tekst als: 'Ik ben niet bang, ook al is er gevaar, ook al is het donker om mij heen. Want u bent bij mij, Heer. U beschermt me, u geeft mij moed' (Psalm 23:4) je inspireren om een meer helpende gedachte te formuleren.
- Jouw gedachten (2). In de Bijbel staan tips om je minder zorgen te maken. In Filippenzen 4:6 en 7 wordt de lezer bijvoorbeeld aangemoedigd alles wat nodig is aan God te vragen en hem ook te danken. Aan de jongere wordt uitgelegd dat uit onderzoek blijkt dat danken je gelukkiger maakt en dat het helpt om te blijven danken voor de goede dingen, ook wanneer het leven moeilijk is of voelt. Er volgt een dankbaarheidsoefening.
- Helpend gedrag. In de Bijbel staan tal van voorbeelden van mensen die dapper waren omdat ze op God vertrouwden. De jongere wordt uitgenodigd om een voorbeeldfiguur te kiezen uit de Bijbel. Verder komt aan de orde wat je anders kunt doen om je rustig(er) te voelen, waarbij ook religieuze copingopties worden genoemd, zoals bidden of luisteren naar muziek. Ook gaat het over goed zorgen voor jezelf (gezond eten, bewegen) en op tijd rust nemen (wat ook Jezus deed).
- Je sterke kanten. Iedereen is uniek gemaakt met eigen talenten. Het is van belang dat je je eigen gaven en mogelijkheden ontdekt en gebruikt. De opdracht volgt om een top vijf te maken. Het gaat in het betreffende hoofdstuk ook over vriendelijk en mild zijn voor jezelf (zelfcompassie) en over het omgaan met je minder sterke kanten.
Deelnemers
Deelnemers waren jongeren met angstklachten die zich hadden aangemeld bij een van de afdelingen Ambulante Behandeling Jeugd van een vestiging van Eleos ggz in Nederland. Zij werden verwezen door de huisarts of het sociale (wijk)team. De meerderheid van de cliënten van Eleos heeft een protestants-christelijke achtergrond, maar Eleos biedt ook hulp aan niet-christelijke cliënten. Vijf deelnemers werden na intake gediagnosticeerd met een angststoornis volgens de DSM-5. In de intakefase werden de DSM-5-criteria systematisch uitgevraagd. Er zijn geen diagnostische interviews afgenomen. Bij één deelnemer waren de angstklachten gerelateerd aan een 'andere gespecificeerde psychotrauma- of stressorgerelateerde stoornis'. Cliënten met acute suïcidaliteit, met een IQ < 80 of die niet afkomstig waren uit een christelijk milieu, waren gecontra-indiceerd. Leeftijd voor inclusie was 10 tot en met 18 jaar. In totaal zijn 50 cliënten benaderd om mee te doen. In figuur 1 is de flowchart van inclusie en drop-out weergegeven. De redenen voor drop-out in de groep 'in behandeling' (N = 17) zijn bekend en hebben vooral te maken met organisatorische aspecten. Daarom is er geen reden voor een drop-outvergelijking tussen 'beschikbaar voor data-analyse' (n = 6) versus de drop-outgroep (n = 11) wat betreft religieuze coping, en klinisch en existentieel herstel bij de start.

Figuur 1 Flowchart van inclusie, behandeling en uitval
Uiteindelijk bestond de experimentele groep uit drie deelnemers (Mleeftijd = 15,0, SD = 1,0) en de controlegroep uit drie deelnemers (Mleeftijd = 13,3, SD = 4,0). De kerkelijke achtergrond van de deelnemers was gevarieerd en gespreid over beide groepen, waardoor de brede cliëntenpopulatie van Eleos vertegenwoordigd was (zie tabel 1). De namen van de deelnemers zijn pseudoniemen en een aantal details in hun beschrijvingen zijn aangepast om privacy te garanderen. Elke vermeende herkenning berust op toeval.
Tabel 1 Kenmerken van de deelnemers per groep
| Leeftijd | Kerkelijke achtergrond | Opleidingsniveau | Diagnose | |
|---|---|---|---|---|
| Experimentele groep | ||||
| Eva | 15 | Evangelisch | vwo | Sociale-angststoornis |
| Ellen | 16 | Baptist | mbo | Gegeneraliseerde-angststoornis |
| Elize | 14 | Gereformeerde gemeente | havo | Gegeneraliseerde-angststoornis |
| Controlegroep | ||||
| Christa | 9 | Hersteld hervormd | bao | Specifieke fobie |
| Cecil | 14 | Gereformeerde gemeente | havo | Sociale-angststoornis |
| Corine | 17 | Gereformeerd vrijgemaakt | mbo | Andere gespecificeerde trauma- of stressorgerelateerde stoornis |
Eva (15) was gespannen voor toetsen, presentaties en in nieuwe situaties. Haar klachten waren ontstaan in een periode van veel veranderingen. Bij oplopende spanning kreeg ze buikpijn of blokkeerde ze. Thuis was ze teruggetrokken en prikkelbaar. Ze stelde hoge eisen aan zichzelf en vroeg nauwelijks hulp. Eva was in sociale situaties bang om raar gevonden te worden of om fouten te maken. In het omgaan met haar problemen was het geloof voor haar helpend.
Ellen (16) werd aangemeld na haar start op school vanwege overmatige zorgen over school en het welzijn van haar ouders. Ze had scenario's in haar hoofd van wat er mis kon gaan en bleef daarover piekeren. Een enkele keer had zij last van hyperventilatie. Vanwege haar overspoelende angstgedachten kwam ze moeilijk in slaap. Op de basisschool had ze al last van (verlatings)angst. Luisteren naar muziek hielp haar. Het geloof speelde een belangrijke rol in haar leven, onder andere als bron van steun.
Elize (14) piekerde over allerlei rampscenario's, waar ze angstig, paniekerig en somber van werd. Ze groeide op in een groot gezin. Haar ouders zijn gescheiden na een lange periode van relatieproblemen. Elize vertelde dat het geloof haar hielp. Ze maakte regelmatig tijd voor Bijbellezen en bidden. Met name in moeilijke perioden zocht ze hulp bij God. Ze wilde dit ook meer gaan doen in betere tijden.
Christa (9) was altijd al gevoelig, angstig en perfectionistisch, maar haar angsten (onder andere voor ziekte) namen sterk toe nadat twee familieleden korte tijd na elkaar overleden. Ze piekerde veel, had inslaapproblemen en scheidingsangst, en ging veel controleren. De baselinefase van Christa viel in de zomervakantie. Voor deze vakantie waren na de intake al enkele gesprekken met Christa en met haar ouders gevoerd gericht op rouwverwerking. Uit latere dossieranalyse bleek dat hierbij het geloof werd betrokken als bron van troost. Na deze gesprekken kwamen de genoemde angsten meer op de voorgrond te staan en werd ze alsnog aangemeld voor deelname aan het onderzoek. Op school botste ze veel met klasgenoten.
Cecil (14) werd aangemeld vanwege angsten, somberheid en een negatief zelfbeeld na pestervaringen. Ze voelde zich in sociale situaties onzeker en was bang dat het pesten opnieuw zou beginnen. Cecil had vriendinnen, maar was zelf weinig weerbaar. Ze durfde activiteiten niet alleen te doen en vermeed nieuwe situaties. Haar hulpvraag was zelfverzekerder en minder bang worden. Door bijkomende problemen was er in het gezin veel stress en overbelasting. Cecil wilde anderen niet belasten en deelde haar emoties daarom niet.
Corine (17) werd aangemeld na een doorgemaakte medische ingreep met een lang hersteltraject. Ze vermeed verschillende situaties die haar deden denken aan haar ziekenhuisopname. Enkele jaren geleden was ze al in behandeling geweest voor een gegeneraliseerde-angststoornis. Indertijd was de geboden EMDR-behandeling in combinatie met CGT voor Corine succesvol. Bij de heraanmelding was er een wachtlijst voor EMDR, waardoor Corine is gestart met CGT, met de mogelijkheid daarna alsnog EMDR in te zetten.
Procedure
Werving voor het onderzoek vond plaats in de periode januari 2019 tot maart 2020. Jongeren die angstklachten rapporteerden in de aanmeldinformatie kregen een informatiebrief met een bijgevoegd toestemmingsformulier toegestuurd. Ook de ouders van de jongeren tot 16 jaar werden geïnformeerd over het onderzoek en dienden eveneens hun informed consent te geven. Zo werden jongeren geselecteerd die gemotiveerd waren voor deelname aan de interventie. Deelnemers werden bij aanmelding om en om toegewezen aan de experimentele groep of aan de controlegroep. De jongeren kregen zo nodig een vriendelijk appje van de onderzoeksassistente om hen te herinneren aan het invullen van de vragenlijsten. De dataverzameling liep tot juni 2020.
De jongeren in de experimentele groep kregen CGT (DDD) met toegevoegde religieuze interventies in de vorm van het werkboek Ik kan het aan! Geloven in je herstel. De jongeren in de controlegroep kregen standaard CGT (alleen DDD). Na afronding van de behandeling met CGT konden zij alsnog het bovengenoemde werkboek doorlopen, maar dit werd niet meegenomen in het onderzoek. Wanneer een jongere uit de controlegroep tijdens de CGT zelf geloofsgerelateerde vragen stelde of opmerkingen maakte, noteerde de behandelaar die samen met de jongere om er na afronding van het DDD-werkboek op terug te kunnen komen. In een logboek voor behandelaren stond vermeld welke pagina's van DDD in ieder geval aan de orde moesten komen in beide groepen. In beide groepen bestond de behandeling uit 12 sessies. Behandelaren betrokken de ouders van de jongeren op maat. De intensiviteit van de ouderbegeleiding is niet meegenomen als factor in het onderzoek.
Meetinstrumenten
Religieuze coping
Om de positieve religieuze coping van de deelnemers wekelijks te meten, is gebruikgemaakt van de vijf items uit de Brief Religious Coping Scale (Brief RCOPE; Pargament et al., 2011) die het hoogst laadden op de subschaal positieve religieuze coping (Braam et al., 2010; Pargament, 1999). De Nederlandse items van de Brief RCOPE zijn qua taalgebruik aangepast voor jongeren. Het ging om de volgende items, als aanvulling op: 'Toen ik het moeilijk had …', '… vroeg ik God om hulp en kracht', '… dacht ik aan Gods liefde en zorg', '… probeerde ik met Gods hulp het probleem aan te pakken', '… probeerde ik te zien hoe God mij er sterker door probeert te maken' en '… concentreerde ik me op de goede dingen die God mij geeft, zodat ik kon stoppen met piekeren.' De vragen werden gescoord op een vierpuntsschaal (1 = 'bijna nooit', 2 = 'soms', 3 = 'vaak' en 4 = 'bijna altijd'). De huidige studie liet gemiddeld genomen een goede interne consistentie zien (gemiddelde α van 0,85, met een range van 0,46 tot 0,95).
Klinisch herstel
Om het klinisch herstel (afname van symptomen) van de deelnemers te meten is de Strengths and Difficulties Questionnaire (SDQ; zelfrapportage 11-17, 25 items; Theunissen et al., 2016) afgenomen bij de start van de metingen, bij de start van de behandeling en na 12 sessies. Voor dit onderzoek is gebruikgemaakt van de Totale Probleemscore (bestaande uit subschalen emotionele problemen, gedragsproblemen, hyperactiviteit/aandachtstekort en problemen met leeftijdgenoten) en de subschaal emotionele problemen. Dit zijn betrouwbare schalen gebleken (Hoofs et al., 2016). In deze studie was de interne consistentie voor de Totale Probleemscore voldoende (gemiddelde α van 0,63 over de drie meetmomenten, met een range van 0,50 tot 0,71). De interne consistentie voor de subschaal emotionele problemen was goed (gemiddelde α van 0,92 over de meetmomenten, met een range van 0,89 tot 0,95). Drie items uit de subschaal emotionele problemen die betrekking hebben op angstproblematiek werden daarnaast wekelijks afgenomen (gemiddelde α over alle meetmomenten van 0,85, met een range van 0,47 tot 1,00). Het gaat om de volgende items: 'Ik pieker veel', 'Ik ben zenuwachtig in nieuwe situaties. Ik verlies makkelijk mijn zelfvertrouwen' en: 'Ik ben voor heel veel dingen bang, ik ben snel angstig.' De vragen werden gescoord op een driepuntsschaal (0 = 'niet waar' tot 2 = 'zeker waar').
Existentieel herstel
Existentieel herstel was voor dit onderzoek gedefinieerd als (een toename van) (1) hoop, (2) empowerment en controle, en (3) religieus welbevinden (gebaseerd op: Whitley & Drake, 2010). Om dit wekelijks in korte tijd te kunnen meten, zijn relevante items geselecteerd uit verschillende beschikbare vragenlijsten. Deze lijsten zijn ontwikkeld voor volwassenen. De geselecteerde items zijn voorgelegd aan een kleine testgroep van bij Eleos aangemelde christelijke jongeren, om te onderzoeken of ze geschikt waren om te gebruiken bij deze doelgroep. De reacties van de jongeren uit de testgroep zijn meegenomen in de definitieve formulering van de items.
Hoop werd wekelijks gemeten met drie items uit de Hoop Vragenlijst (Nederlandse versie van de Herth Hope Index; van Gestel-Timmermans et al., 2010; van Luijtelaar & Wolf, 2012). De drie gekozen items laden hoog op 'Kijk op het leven en de toekomst': 'Ik heb een positieve kijk op het leven', 'Ik ben bang voor mijn toekomst' en 'Ik vind dat mijn leven waardevol en nuttig is.'
Empowerment en controle werd wekelijks gemeten met drie items uit de schaal 'eigen wijsheid' van de Nederlandse Empowerment Vragenlijst (Boevink, 2009; van Luijtelaar & Wolf, 2012). Er waren geen gegevens uit een factoranalyse beschikbaar. Gekozen is voor de items: 'Ik vind mezelf de moeite waard', 'Ik zet negatieve gedachten om in positieve gedachten' en: 'Ik kan omgaan met mijn minder sterke kanten' (de oorspronkelijke formulering voor volwassenen was: 'Ik kan omgaan met mijn kwetsbaarheden').
Religieus welbevinden werd wekelijks gemeten met twee items uit de schaal religieus welbevinden van de Nederlandse vertaling van de Spiritual Well-Being Scale (Körver, 2013). Deze schaal geeft een indicatie van de algemene religiositeit van de deelnemer, van beschikbare religieuze bronnen en van de mate van positieve verbinding tot een goddelijke macht. De twee geselecteerde items hebben betrekking op religieus welbevinden en niet op religieuze coping. Deze items zijn: 'Omdat ik weet dat God er is, voel ik me niet alleen' (de oorspronkelijke formulering voor volwassenen was: 'Mijn relatie met God zorgt ervoor dat ik mij niet eenzaam voel') en: 'Ik geloof dat God betrokken is bij mijn problemen.' Alle acht items voor existentieel herstel werden gescoord op een vijfpuntsschaal (1 = 'zeker niet waar' tot 5 = 'zeker waar'). De huidige studie liet een goede interne consistentie zien voor deze vragen op alle meetmomenten (gemiddelde α van 0,94, met een range van 0,82 tot 0,99).
Data-analyse
De wekelijkse scores op klinisch herstel, existentieel herstel en religieuze coping zijn per deelnemer, per fase en per onderzoeksgroep weergegeven in grafieken. De gemiddelde score en standaarddeviatie per fase zijn berekend voor elke deelnemer. De wekelijkse scores zijn visueel geanalyseerd, waarbij is gekeken naar (1) verandering in trend (verschillen in fasen wat betreft de trend van scores over de tijd), (2) verschil in gemiddelde score tussen fasen, en (3) de stabiliteit binnen fasen (Kazdin, 2019; Lane & Gast, 2013).
Als aanvullende maat voor het effect van de interventie op wekelijkse metingen zijn de waarden van non overlapping pairs (NAP's; Parker et al., 2011) berekend voor klinisch herstel, existentieel herstel en positieve religieuze coping. Een NAP-waarde is een index voor de mate van non-overlap in data tussen fasen in single case designs. Hoe meer metingen in de behandelfase positiever zijn in vergelijking met metingen uit de baselinefase, hoe hoger de NAP-waarde boven de 0,50 uitkomt en hoe meer verbetering er te zien is in de behandelfase. NAP werd berekend met de volgende formule: (aantal paren van meetmomenten waarbij behandelfase > baselinefase + (0,5 x aantal paren waarbij behandelfase = score baselinefase)) / totaal aantal paren. Het totaal aantal paren dat in deze studie vergeleken werd was 4 (baseline) x 12 (behandeling) = 48. Voor klinisch herstel gold het omgekeerde: behandelfase < baseline, want minder klachten betekent herstel. Een NAP lager dan 0,65 wijst op een klein effect, een NAP tussen 0,66 en 0,92 op een matig effect, en een NAP hoger dan 0,93 wijst op een groot effect (Parker & Vannest, 2009). Een NAP < 0,50 werd gezien als geen tot tegengesteld effect. Per NAP-waarde zijn 95%- betrouwbaarheidsintervallen (CI) berekend met de volgende formule: NAP plus of min (1,96 * √(NAP*(1 – NAP) / totaal aantal paren).
Om vast te stellen in hoeverre veranderingen in klinisch herstel per cliënt tussen de baselinefase en de behandelfase betrouwbaar en werkelijk een verbetering waren, hebben we de scores berekend op de Reliable Change Index (RCI; Jacobson & Truax, 1991) met de SDQ voor- en nameting (totaalscore en emotionele problemen). De RCI-score is in deze studie berekend met de volgende formules: (1) Se = SD√(1 – rxx), (2) Sdiff = √[2(Se)2] en (3) RCI = voormeting – nameting / Sdiff. Daarbij is Se = de standaardmeetfout (schatting van de invloed van toeval op een score), Sdiff = de standaardmeetfout van een verschilscore, SD = de standaarddeviatie van de schaal in een normgroep, en rxx = de betrouwbaarheidscoëfficiënt van de schaal in een normgroep. Om met 95% zekerheid te kunnen zeggen dat een verandering tussen meetmomenten daadwerkelijk een verbetering was, hielden we een RCI < -1,645 als significant aan (eenzijdige toetsing). Een RCI-score < -1,65 (eenzijdige toetsing) werd gezien als een klinisch significant verschil (Bartels et al., 2008).
Ethiek
Omdat dit een onderzoek betreft naar een reguliere behandeling, met gebruik van instrumenten die standaard zijn in het zorgproces, is het onderzoeksprotocol vooraf getoetst op ethische en juridische richtlijnen ten aanzien van wetenschappelijk onderzoek, en goedgekeurd door een interne Commissie Wetenschappelijk Onderzoek van Eleos en een externe deskundige vanuit de RINO-opleiding tot klinisch psycholoog.
Resultaten

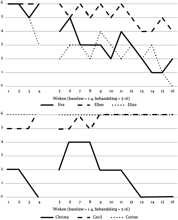
Figuur 2 Scores voor klinisch herstel (mate van klachten) in de experimentele groep (boven) en in de controlegroep (onder)
Klinisch herstel
Het klinisch herstel is visueel weergegeven in figuur 2. De trend van klinisch herstel binnen de experimentele groep is een duidelijke afname in klachten bij Eva en Elize, en een lichte afname in klachten bij Ellen. Het verschil in gemiddelden (gepresenteerd in tabel 2) is hiermee in overeenstemming. Bij Eva en Ellen waren baselinescores stabiel en is verandering te zien tijdens of aan het einde van de behandelfase. Bij Elize waren klachten al minder aan het einde van de baselinefase – de fase is daarmee minder stabiel –, maar ook bij haar is aan het einde een daling in klachten te zien. Binnen deze groep lijkt het klinisch herstel in de eerste sessies van de behandeling stabieler en minder sterk dan in de laatste sessies. De trend van klinisch herstel binnen de controlegroep is een ander beeld. Christa rapporteerde (onverwacht) in de baselinefase weinig tot geen angstklachten, vervolgens een toename in de eerste helft van de behandelfase en aan het einde weer weinig tot geen klachten. Bij Cecil en Corine bleven klachten stabiel hoog, ongeacht de fase. De gemiddelde scores per fase waren in de behandelfase dan ook gelijk en zelfs hoger. Het visuele verschil tussen beide groepen is terug te zien in de verschillen in NAP-waarden met 95% CI: in de experimentele groep matig tot grote effecten van de behandeling en in de controlegroep geen effect in de verwachte richting (NAP ≤ 0,50).
In tabel 3 zijn de SDQ-totaalscores en de scores op emotionele problemen gepresenteerd bij intake, start en einde behandeling. In de experimentele groep is een afname hiervan te zien bij het einde van de behandeling, met bijbehorende significante RCI-waarden voor Eva en Elize. Voor Ellen geldt deze klinische significantie alleen voor emotionele problemen. In de controlegroep was geen verbetering te zien; de SDQ-scores waren aan het einde van de behandeling zelfs grotendeels hoger. De RCI-waarden zijn daarom ook positief. Bij Christa was de afname in klachten niet klinisch betekenisvol, zoals bleek uit de RCI-scores. Cecil en Corine lieten geen klinisch herstel zien.

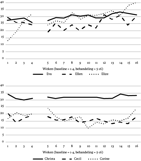
Figuur 3 Scores voor existentieel herstel in de experimentele groep (boven) en in de controlegroep (onder)
Existentieel herstel
Het existentieel herstel is visueel weergegeven in figuur 3. De trend hiervan binnen de experimentele groep is wisselend in zowel de baselinefase als de behandelfase. Elize rapporteert in de behandelfase over de tijd een stabiele toename, met tussen sessie 7-8 en 14-16 een hogere stijging. Haar gemiddelde per fase verschilt het meest, met 8 punten (tabel 2). Bij Eva is ook een toename te zien, maar beperkter, met weinig fluctuatie. De scores voor Ellen zijn in de periode van de eerste behandelsessies lager dan de baselinefase, maar gaan vanaf sessie 12 omhoog (vergelijkbaar punt als voor klinisch herstel). De baselinefase was voor Elize weinig stabiel, met groot verschil tussen week 1 en 4 (verschil = 19). Voor Eva en Ellen laten de gemiddelden zien dat existentieel welzijn al relatief hoog was. Hetzelfde hoge baselineniveau was te zien voor Christa in de controlegroep, dat voor haar in de behandelfase stabiel bleef en gemiddeld licht steeg. Voor Cecil en Corine waren de baselinewaarden lager en was er meer fluctuatie in de behandelfase. Corine scoort bij sessie 1 en sessie 16 hoger dan de baseline, terwijl daartussen haar scores veelal lager waren. Voor Cecil is een lichte neerwaartse trend te zien. De NAP-waarden (tabel 2) in de experimentele groep lieten een matig effect zien van de behandeling voor Elize en Eva, maar voor Ellen geen effect in de verwachte richting (NAP = 0,36). In de controlegroep was alleen voor Christa de NAP-waarde positief over een effect van de behandeling.

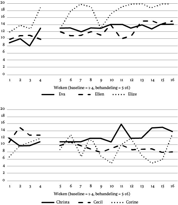
Figuur 4 Scores op positieve religieuze coping in de experimentele groep (boven) en in de controlegroep (onder)
Religieuze coping
De wekelijkse metingen religieuze coping zijn visueel weergegeven in figuur 4. De trend in de experimentele groep lijkt voor alle deelnemers een toename van religieuze coping te zijn, waarbij deze bij (1) Eva licht maar stabiel toeneemt, (2) bij Elize over algemeen groter is, maar sterker fluctueert (bijvoorbeeld week 5 en week 9), en (3) bij Ellen met name vanaf week 13 hoger is. De gemiddelde scores zijn voor alle drie hoger in de behandelfase dan in de baselinefase. De scores in de baseline waren alleen voor Ellen stabiel te noemen. In de controlegroep zijn verschillen tussen de deelnemers te zien. Bij Corine is in de behandelfase relatief veel en grote fluctuatie te zien, en haar baseline neemt over de tijd al toe. Voor de religieuze coping van Cecil is er sprake van een neerwaartse trend en geldt dat in de behandelfase de scores structureel lager zijn dan in de baselinefase. Christa rapporteert in de baseline en het begin van de behandeling stabiel, terwijl later de religieuze coping meer fluctueert en gemiddeld toeneemt. Zij is de enige in de controlegroep bij wie de gemiddelde score op religieuze coping in de behandelfase hoger is dan in de baselinefase. Wat de NAP-waarden betreft (tabel 2) zien we een matig behandeleffect in de hele experimentele groep en in de controlegroep alleen voor Christa. Effecten voor Cecil en Corine wijzen niet op een positief behandeleffect.
Tabel 2 Gemiddelde scores per deelnemer per fase en de NAP-waarden (0-1) weergegeven voor klinisch herstel, existentieel herstel en positieve religieuze coping
| Klinisch herstel (mate van klachten) | Existentieel herstel | Religieuze coping | |||||||
|---|---|---|---|---|---|---|---|---|---|
| M (SD) baseline | M (SD) behandeling | NAP (95% CI) | M (SD) baseline | M (SD) behandeling | NAP (95% CI) | M (SD) baseline | M (SD) behandeling | NAP (95% CI) | |
| Experimentele groep | |||||||||
| Eva | 5,75 (0,50) | 2,75 (1,22) | 0,99 (0,96-1,00) | 27,50 (1,29) | 30,25 (1,71) | 0,86 (0,76-0,96) | 10,00 (2,16) | 13,33 (0,65) | 0,92 (0,84-1,00) |
| Ellen | 6,00 (0,00) | 5,08 (0,79) | 0,83 (0,72-0,94) | 26,25 (2,06) | 24,83 (4,30) | 0,36 (0,22-0,50) | 10,50 (0,58) | 12,58 (1,88) | 0,85 (0,75-0,95) |
| Elize | 5,00 (1,41) | 2,33 (1,07) | 0,93 (0,86-1,00) | 22,75 (8,42) | 31,25 (4,69) | 0,79 (0,67-0,91) | 14,50 (3,11) | 18,17 (2,59) | 0,82 (0,71-0,93) |
| Controlegroep | |||||||||
| Christa | 1,25 (0,96) | 1,75 (1,60) | 0,43 (0,29-0,57) | 31,50 (1,73) | 32,08 (0,90) | 0,70 (0,57-0,83) | 10,75 (0,96) | 12,67 (1,83) | 0,83 (0,72-0,94) |
| Cecil | 5,25 (0,50) | 5,75 (0,45) | 0,19 (0,08-0,30) | 17,50 (2,65) | 15,58 (1,88) | 0,26 (0,14-0,38) | 13,00 (1,63) | 9,17 (0,94) | 0,01 (0,00-0,04) |
| Corine | 6,00 (0,00) | 6,00 (0,00) | 0,50 (0,36-0,64) | 19,25 (1,71) | 16,75 (4,07) | 0,23 (0,11-0,35) | 10,00 (2,16) | 8,83 (3,07) | 0,40 (0,26-0,54) |
Noot. Klinisch herstel heeft range van 0 tot 6 (waarbij geldt: hoe hoger de score, hoe meer klachten), range existentieel herstel = 8-40 en range religieuze coping 5-20 (waarbij geldt: hoe hoger de score, hoe meer existentieel herstel of religieuze coping). NAP-waarden: klein effect: ≤ 0,65, matig effect: 0,66-0.92; groot effect: ≥ 0,93). NAP-waarden voor klinisch herstel zijn te lezen als mate waarin meetmomenten in de behandelfase lager waren dan in de baselinefase (aangezien minder klachten = meer herstel). NAP = non-overlapping pairs.
Tabel 3 SDQ Totale Probleemscores, scores op de schaal emotionele problemen en scores op de Reliable Change Index
| SDQ totale probleemscore | RCI | SDQ emotionele problemen | RCI | |||||
|---|---|---|---|---|---|---|---|---|
| Intake | Start behandeling | Einde behandeling | Intake | Start behandeling | Einde behandeling | |||
| Experimentele groep | ||||||||
| Eva | 12 | 11 | 3 | -2,90* | 8 | 8 | 1 | -4,55* |
| Ellen | 18 | 18 | 15 | -0,97 | 9 | 9 | 6 | -1,95* |
| Elize | 23 | 21 | 10 | -4,19* | 10 | 7 | 1 | -5,84* |
| Controlegroep | ||||||||
| Christa | 12 | 14 | 15 | 0,97 | 2 | 2 | 1 | -0,65 |
| Cecil | 17 | 15 | 19 | 0,65 | 6 | 6 | 10 | 2,60 |
| Corine | 14 | 16 | 16 | 0,65 | 9 | 10 | 9 | 0,00 |
Noot. RCI = Reliable Change Index-scores zijn berekend voor het verschil tussen intake en einde behandeling; SDQ = Strengths and Difficulties Questionnaire; * = significante positieve verandering
Beschrijvende resultaten uit informatie van behandelaren
Voor Eva waren met name de helpende gedachten en de exposureopdrachten helpend in het omgaan met moeilijke sociale situaties. Uit het logboek bleek dat ze de muzikale toevoegingen in het werkboek waardeerde en verrast was dat er in de Bijbel ook teksten staan over haar problemen. Ze nam zich voor vaker te bidden en te danken. Het sprak haar aan om met vriendelijker ogen naar zichzelf te kijken. Ze durfde in sociale situaties steeds meer en kon beter relativeren. Eva's dossier kon worden gesloten.
Ellen had na 12 behandelsessies minder vaak last van angstaanvallen, maar kon nog wel heftig bang zijn. Soms lukte het haar om niet meer te vermijden, maar vaker nog niet. Ze had geruststelling van anderen nodig en bleef bang voor de angst. Door alles goed te willen doen en door moeite met grenzen aangeven, raakte zij na vier behandelsessies overbelast en ging ze tijdelijk minder naar school. De behandeling werd geïntensiveerd door toevoeging van farmacotherapie en gezamenlijke gesprekken met haar ouders. De CGT werd na het stoppen van de metingen nog voortgezet.
Elize profiteerde van de aangeboden vaardigheden uit het nieuwe werkboek om haar angsten te hanteren. Ze had steun aan positieve Bijbelteksten en luisterde graag naar christelijke liederen. Het was voor haar nieuw dat ze gevoelens mocht uiten en die niet hoefde weg te stoppen. Ze ging meer moeilijke situaties aan, waardoor haar angsten en stemmingsklachten verdwenen en ze beter keuzes kon maken met betrekking tot haar toekomst. Elize ontdekte dat ze veel had om voor te danken en was daar blij mee. Ze voelde zich bij afronding sterk en evenwichtig en had geen hulpvraag meer.
Christa heeft vooral gewerkt aan het alleen op haar kamer in slaap kunnen vallen. Na de vijfde sessie lukte haar dat steeds vaker. Na de tweede behandelsessie deed zich een ingrijpende gebeurtenis voor, die zorgde voor een toename van angstklachten. Bij het bespreken van haar helden noemde ze spontaan vier personen uit de Bijbel. Christa maakte bij de afronding van de angstbehandeling vaker gebruik van helpende gedachten. Op verzoek van ouders en school werd vanwege blijvende onrust en impulsiviteit een onderzoek naar ADHD gestart.
Cecil ging tijdens de behandeling aan de slag met meer helpend denken, ontspannings- en aandachtsoefeningen en exposureopdrachten in deelstapjes. Ze kwam haar pesters nog steeds tegen en voelde zich daardoor onveilig. Overleg met ouders om te bespreken hoe dit met betrokkenen op te pakken, zorgde juist voor ontregeling. Dit bracht Cecil in een loyaliteitsconflict en het oefenen met de geleerde vaardigheden stagneerde. De CGT werd daarom voortgezet in combinatie met gezinsbehandeling. Cecil wilde graag alsnog gebruikmaken van het werkboek voor religieuze coping.
Corine had bij de start van de behandeling veel moeite met het verwoorden van helpende gedachten en leek als het ware te verstijven. Gaandeweg ging het iets beter. Helaas ontwikkelde ze nieuwe lichamelijke klachten, die maakten dat het oefenen haar langere tijd niet lukte. Erkenning en uitleg van de kinderarts waren helpend voor haar. Daarna kwamen de exposureoefeningen in kleine stapjes op gang. Omdat Corine nog steeds last had van herbelevingen aan haar operatie, werd in het vervolgtraject EMDR ingezet.
Discussie
Het doel van deze studie was onderzoeken welk effect een behandeling met CGT (DDD), aangevuld met een nieuw ontwikkeld werkboek Ik kan het aan! Geloven in je herstel als religieuze interventie, heeft op positieve religieuze coping, en existentieel en klinisch herstel van christelijke jongeren met angstklachten. We gebruikten hiervoor een SCED-design met een experimentele groep (n = 3) en een controlegroep (n = 3; DDD zonder nieuw werkboek).
Uit de resultaten blijkt dat in de eerste groep over de tijd in de behandelfase een toename te zien is wat betreft positieve religieuze coping, en klinisch en existentieel herstel, met matige tot grote effectgrootten. De scores met betrekking tot emotionele problemen waren bij alle drie deelnemers aan het einde van de behandelsessies significant lager. Bij twee van de drie was er duidelijk sprake van klinisch herstel en kon de behandeling worden afgerond. De derde deelnemer had eveneens minder klachten, maar had nog een vervolg nodig om het geleerde zelfstandig en in meer situaties te kunnen toepassen. In de controlegroep vonden we andere resultaten. Er waren aan het einde geen klinisch significant lagere scores op de SDQ-vragen. De wekelijkse metingen voor religieuze coping, en voor klinisch en existentieel herstel, lieten weinig tot geen verbetering zien over de tijd en bewogen zich zelfs in de tegenovergestelde richting (verslechtering bij twee van de drie deelnemers). Bij alle deelnemers in de controlegroep werd de behandeling nog voortgezet.
De verschillen tussen de groepen kunnen suggereren dat een behandeling waarin religie een geïntegreerde plek heeft beter aansluit bij religieuze jongeren, zoals ook eerder onderzoek heeft aangetoond in dezelfde of andere doelgroepen (zie bijvoorbeeld: Koenig, Peteet et al., 2020; Rosmarin et al., 2010; Weber & Pargament, 2014). Maar naar onze mening wordt dit niet in ons onderzoek bevestigd, aangezien een vergelijking met de controlegroep vertroebeld lijkt door andere factoren. Immers, uit onderzoek naar de effectiviteit van protocollen tegen angststoornissen bij kinderen is bekend dat na een eerste CGT van ongeveer 10 tot 16 sessies meer dan 60% van de kinderen is opgeknapt (Gibby et al., 2017). Niet-angstige comorbiditeit is een sterke voorspeller van minder goede behandeluitkomsten en vraagt vaak om aanvullende behandeling (Liber et al., 2010). Bij Cecil en Corine lijken comorbide problemen op de voorgrond te hebben gestaan (zoals stress door gezinsproblemen, posttraumatische stress en lichamelijke klachten). Bij Christa werd na behandeling nog een onderzoek naar ADHD gestart. En hoewel de inschatting was dat zij aan het onderzoek kon deelnemen, zat ze wat betreft leeftijd net onder de ondergrens op het moment van inclusie. Ten slotte zou een kort rouwverwerkingstraject dat Christa had gevolgd na de intake maar vóór de baselinefase de reden kunnen zijn voor de lage mate van klachten in de baselinefase. Daarmee was er weinig tot geen ruimte voor verbetering. In de behandelfase – toen ze ging oefenen met alleen op haar kamer inslapen en ze ook een ingrijpende gebeurtenis meemaakte – namen haar angstklachten eerst toe en daarna weer af.
De toename in positieve religieuze coping over de tijd in de experimentele groep is een aanwijzing dat het christelijk geloof met het doornemen van het werkboek Ik kan het aan! Geloven in je herstel voor christelijke jongeren (meer) een bron van hulp, kracht en troost kan worden. Het was echter opvallend dat er bij Christa uit de controlegroep ook sprake was van een lichte toename in positieve religieuze coping zonder dat zij het werkboek kreeg aangeboden. Achteraf bleek zij tijdens haar rouwverwerkingstraject veel met haar behandelaar over het christelijk geloof te hebben gesproken. Het is mogelijk dat het eerder betrekken van het geloof bij haar levensvragen heeft doorgewerkt tijdens de baseline- en behandelfase, en haar scores meer in lijn brengt met de resultaten in de experimentele groep. Daarnaast viel achteraf op dat alle drie deelnemers in de experimentele groep in de intakefase vertelden dat geloven belangrijk voor hen was en hen hielp. Dit zou mogelijk kunnen betekenen dat het werkboek met name aansluit bij jongeren voor wie het christelijk geloof een belangrijke plek inneemt en voor wie er een bepaalde basis is om dit als helpend te ervaren. Uit literatuur komt namelijk ook naar voren dat integratie van religie belangrijk kan zijn in de behandelkamer, maar in sommige gevallen minder uitmaakt voor het behandelresultaat en zelfs belemmerd kan werken op de behandeling (Koenig, Al-Zaben et al., 2020).
Beperkingen
Hoewel dit onderzoek een waardevolle toevoeging is aan de literatuur met betrekking tot integratie van religie in behandeling, heeft het een aantal beperkingen. Omdat religieuze copingvaardigheden in een relatief korte tijd werden aangeboden, konden sommige onderwerpen maar eenmalig worden besproken, zoals 'dankbaarheid voor goede dingen' en 'jouw sterke kanten'. Dit heeft de tijd om de inhoud van het werkboek te integreren in het dagelijks leven beperkt.
Een tweede beperking is het niet meenemen van het domein sociaal herstel (Whitley & Drake, 2010) als uitkomstmaat, hoewel de jongeren in de eerste sessie wel werden aangemoedigd om een 'maatje' te kiezen met wie ze het werkboek samen konden doornemen. Een van de functies die religieuze coping kan vervullen, is het vinden van sociale steun (Pargament et al., 2013). Religie is veelal een gezamenlijke beleving in een gemeenschap, waar ook betrokkenheid is op jongeren (bijvoorbeeld door gerichte activiteiten, onderlinge steun, meeleven en mentorschap van volwassenen). Wanneer dit goed functioneert, kan het bijdragen aan sociaal herstel.
Ten derde is een belangrijke beperking in dit onderzoek de invloed van comorbide problemen in de controlegroep, en daarnaast specifiek voor Christa haar leeftijd en het door haar gevolgde rouwverwerkingstraject vóór de baselinefase. Hierdoor is een vergelijking van uitkomsten met de experimentele groep – als een van de vooraf gestelde doelen – weinig zinvol.
Een vierde beperking heeft hiermee te maken, namelijk de uiteindelijk lagere aantallen jongeren in beide groepen. Hoewel de flowchart in figuur 1 suggereert dat de hoge mate van drop-out niet te maken heeft met het design of de interventie, dragen de kleine groepsgrootten ertoe bij dat de groepen lastig te vergelijken zijn. De kleine aantallen maken het ook moeilijk om iets te zeggen over hoe het werkboek zich verhoudt tot verschillende typen angststoornissen; effectiviteit is nu alleen getoetst bij generaliseerde en sociale angst.
Een vijfde beperking is dat de controlegroep in tegenstelling tot de experimentele groep geen dankbaarheidsoefening kreeg aangeboden.
Ten slotte is het mogelijk dat de uitkomsten in de experimentele groep positief beïnvloed zijn door de wetenschap te horen bij deze groep, omdat ze bij start behandeling het nieuwe werkboek aangeboden kregen. Dit was vooraf toegelicht in de informatiebrief over het onderzoek.
Implicaties voor de praktijk en verder onderzoek
De overwegend positieve resultaten in de experimentele groep suggereren dat het werkboek Ik kan het aan! Geloven in je herstel ingezet kan worden bij de behandeling van christelijke jongeren met angstproblemen. Voorwaarde is dat het past bij de hulpvraag – binnen de experimentele groep was bijvoorbeeld geen comorbiditeit bekend, en waren alleen generaliseerde en sociale angst als diagnose meegenomen – en dat er vanuit de jongeren ook een basis is om het eigen geloven en de eigen religieuze coping in te zetten voor herstel. Vanuit de gedachte dat herstel betrekking heeft op meerdere domeinen, die voortdurend met elkaar interacteren (Delespaul et al., 2016), en vanuit eerder onderzoek naar religieuze coping (zie bijvoorbeeld: Pargament et al., 2013) is het plausibel dat een toename van positieve religieuze coping samen opgaat met klinisch herstel (in de vorm van afname van klachten) en existentieel herstel (in de vorm van toename van hoop, empowerment en spiritueel welbevinden), en er mogelijk zelfs aan voorafgaat. Hoewel we benadrukken dat we dit laatste niet getoetst hebben, wijzen de resultaten van deze studie erop dat een dergelijk samen opgaan van toename van positieve religieuze coping, klinisch herstel en existentieel herstel mogelijk is door het gebruik van het werkboek. Hoewel het onderzoek is uitgevoerd binnen een relatief homogene groep (angstklachten), verwachten we dat met relatief weinig aanpassingen het werkboek ook bruikbaar is voor andere groepen angststoornissen en andere groepen psychiatrische problemen. Een mogelijkheid is om van het werkboek een e-health-variant te ontwikkelen, teneinde zo een breder gebruik mogelijk te maken.
Verder onderzoek is nodig om dit onderzoek te repliceren en stil te staan bij nadere bestudering van de werkingsmechanismen van de inzet van het werkboek (Leidt positieve religieuze coping bijvoorbeeld via existentieel herstel tot klinisch herstel? Gaat het samen op of gaat klinisch herstel vooraf aan toename van religieuze coping en existentieel herstel?). De analysemogelijkheden van het gebruikte SCED waren relatief beperkt. Bij vervolgonderzoek zijn een grotere steekproef en mogelijk een SCED-design met meer dan twee fasen waardevol, onder andere een follow-upfase. Verder is het wenselijk dat deelnemers gerandomiseerd kunnen worden naar een baseline van wisselende duur (multiple baseline single-case design). Daarnaast zijn er ook methoden beschikbaar om de resultaten te bundelen op groepsniveau, zoals met mixed models (Maric, 2018). Verder is het een optie om een specifieke angstvragenlijst mee te nemen, met mogelijk idiosyncratische metingen als variant – waarbij per deelnemer die items worden geselecteerd waarop in de intakefase het meest afwijkend wordt gescoord of die de doelen van de behandeling het beste representeren (Maric, 2018). In dit onderzoek is de betrokkenheid van ouders niet onderzocht, ook omdat er geen eenduidig beeld is of het zinvol is om ouders bij de CGT van hun kind te betrekken (Utens, 2017). In vervolgonderzoek naar dit werkboek is het interessant om ook ouders mee te nemen. Het bespreken van religieuze coping zou spanning kunnen oproepen bij de jongere of bij de ouder(s), wanneer ze niet gewend zijn om zo over geloof te spreken, of omdat er een verschil wordt verwacht in geloofsbeleving tussen ouder(s), jongere en therapeut. Voor het effect van het werkboek lijkt het belangrijk dat de therapeut ruimte creëert voor ouders en jongere om van mening te mogen verschillen, zonder dat er angst ontstaat voor afwijzing, en dat hij of zij ook open is over de eigen waarden die het therapeutische proces beïnvloeden (Klein-Vuijst, 2003).
Conclusie
Het doel van dit onderzoek was het toetsen van de effectiviteit van een nieuw werkboek Ik kan het aan! Geloven in je herstel, gericht op het betrekken van religieuze coping in de behandeling en als aanvulling op het bestaande CGT-protocol DDD. We concluderen dat dit werkboek ingezet kan worden in de behandeling van christelijke jongeren met angstklachten, mits er een basis is om te werken aan religieuze coping. We zien eerste aanwijzingen dat het toevoegen van het werkboek aan CGT kan leiden tot een toename van positieve religieuze coping, en tot klinisch en existentieel herstel. Een vergelijking met de controlegroep (alleen het CGT-protocol DDD) leek niet zinvol, onder meer vanwege de verwachte invloed van comorbide problemen in deze groep. We kunnen daarom niet met zekerheid zeggen dat het toevoegen van het werkboek als religieuze interventie een added value heeft ten opzichte van standaard CGT. Vervolgonderzoek is nodig, onder andere om ons onderzoek te repliceren bij een groter aantal jongeren met een bredere range van angststoornissen.
Literatuur
- Ano, G., & Vasconcelles, E. B. (2005). Religious coping and psychological adjustment to stress: A meta-analysis. Journal of Clinical Psychology, 61, 461-480.
- Bartels, A., Spreen, N., Schuringa, E., & Teeken, V. (2008). N = 1: Nauwkeurige en sensitieve behandelevaluatie op individueel niveau. Expertisecentrum Forensische Psychiatrie/FPC Dr. S. van Mesdag/Dr. Leo Kannerhuis.
- Boevink, W. (2009). De Nederlandse Empowerment Vragenlijst. Trimbos-instituut.
- Bögels, S. M. (2008). Denken + Doen = Durven: Werkboek voor jezelf. Bohn Stafleu van Loghum.
- Bohlmeijer, E., Bolier, L., Steeneveld, M., Westerhof, G., & Walburg, J. A. (2013). Welbevinden: Van bijzaak naar hoofdzaak? In E. Bohlmeier, L. Bolier, G. Westerhof & J. A. Walburg (red.), Handboek positieve psychologie: Theorie, onderzoek en toepassingen (pp. 17-38). Boom.
- Braam, A. W., Schrier, A. C., Tuinebreijer, W. C., Beekman, A. T. F., Dekker, J. M. M., & de Wit, M. A. S. (2010). Religious coping and depression in multicultural Amsterdam: A comparison between native and Dutch citizens, and Turkish, Moroccan and Surinamese/Antillean migrants. Journal of Affective Disorders, 125, 269-278.
- Brouwers, E. P. M., van Gestel-Timmermans, H., & van Nieuwenhuizen, C. (2013). Herstelgerichte zorg in Nederland: Modegril of daadwerkelijke verandering? Psychopraktijk, 5, 14-17.
- Cotton, S., Grossoehme, D., Rosenthal, S. L., McGrady, M. E., Huemenay Roberts, Y., Hines, J., Yi, M. S., & Tsevat, J. (2009). Religious/spiritual coping in adolescents with sickle cell disease: A pilot study. Journal of Pediatric Hematology/Oncology, 31, 313-318.
- de Jong, E., & Schaap-Jonker, H. (2016). Herstelgeöriënteerde zorg binnen de christelijke GGZ: Een inleiding. Psyche & Geloof 27, 197-205.
- de Snoo-Glas, W., Verhoeff-Korpershoek, A., & Schaap-Jonker, H. (2016). E-health module psychische klachten en christelijk geloof: Beschrijving van een interventie gericht op existentieel herstel. Psyche & Geloof, 27, 217-225.
- Delespaul, P., Milo, M., Schalken, F., Boevink, W., & van Os, J. (2016). Goede GGZ! Nieuwe concepten, aangepaste taal en betere organisatie. Diagnosis.
- Gibby, B. A., Casline, E. P., & Ginsburg, G. S. (2017). Long-term outcomes of youth treated for an anxiety disorder: A critical review. Clinical Child and Family Psychology Review, 20, 201-225.
- Hardy, S. A., Nelson, J. M., & Moore, J. P. (2019). Processes of religious and spiritual influence in adolescence: A systematic review of 30 years of research. Journal of Research on Adolescence, 29, 254-275.
- Hoofs, H., Jansen, N. W., Mohren, D. C., Jansen, M., & Kant, I. (2016). Toepassing van anonieme onderzoeksgegevens over de SDQ binnen de JGZ: Bruikbaarheid en valkuilen. Tijdschrift voor Gezondheidswetenschappen, 94, 181-188.
- Jacobson, N. S., & Truax, P. (1991). Clinical significance: A statistical approach to defining meaningful change in psychotherapy research. Journal of Consulting and Clinical Psychology, 59, 12-19.
- Kazdin, A. E. (2019). Single-case experimental designs: Evaluating interventions in research and clinical practice. Behaviour Research and Therapy, 117, 3-17.
- Klein-Vuijst, L. C. (2003). Religie: Meer-waarde(n) in de kinderdiagnostiek. Tijdschrift Klinische Psychologie, 33, 234-243.
- Koenig, H. G. (2009). Research on religion, spirituality and mental health: A review. The Canadian Journal of Psychiatry, 54, 283-291.
- Koenig, H. G., Al-Zaben, F., & VanderWeele, T. J. (2020). Religion and psychiatry: Recent developments in research. BJPsych Advances, 26, 262-272.
- Koenig, H. G., Peteet, J. R., & VanderWeele, T. J. (2020). Religion and psychiatry: Clinical applications. BJPsych Advances, 26, 273-281.
- Körver, J. W. G. (2013). Spirituele coping bij longkankerpatiënten. http://hdl.handle.net/10411/20305
- Kuiper, E., & Bannink, F. (2012). Veerkracht: Bevorderen van veerkracht in de jeugdhulpverlening. Kind en Adolescent Praktijk, 3, 134-139.
- Lane, J. D., & Gast, D. L. (2013). Visual analysis in single case experimental design studies: Brief review and guidelines. Neuropsychological Rehabilitation, 24, 445-463.
- Lazarus, R. S., & Folkman, S. (1984). Stress, appraisal and coping. Springer Publishing Company.
- Liber, J. M., van Widenfelt, B. M., van der Leeden, A. J., Goedhart, A. W., Utens, E. M., & Treffers, P. D. (2010). The relation of severity and comorbidity to treatment outcome with cognitive behavioral therapy for childhood anxiety disorders. Journal of Abnormal Child Psychology, 38, 683-694.
- Mahoney, A., Pendleton, S., & Ihrke, H. (2005). Religious coping by children and adolescents: Unexplored territory in the realm of spiritual development. In P. L. Benson, E. C. Roehlkepartain, P. E. King, & L. Wagener (Eds.), The handbook of spiritual development in childhood and adolescence (pp. 341-354). Sage.
- Maric, M. (2018). Single-case experimentele designs in cognitieve gedragstherapie. Gedragstherapie, 51, 158-170.
- Molock, S. D., Puri, R., Matlin, S., & Barksdale, C. (2006). Relationship between religious coping and suicidal behaviors among African-American adolescents. Journal of Black Psychology, 32, 366-389.
- Pargament, K. I. (1997). The psychology of religion and coping: Theory, research, practice. Guilford Press.
- Pargament, K. I. (1999). Religious/spiritual coping. In Fetzer Institute & National Institute on Aging Working Group, Multidimensional measurement of religiousness/spirituality for use in health research (pp. 43-56). Fetzer Institute.
- Pargament, K. I., Falb, M. D., Ano, G. G., & Wachholtz, A. B. (2013). The religious dimension of coping: Advances in theory, research and practice. In R. F. Paloutzian & C. L. Park (Eds.), Handbook of the psychology of religion and spirituality (pp. 560-579). The Guilford Press.
- Pargament, K. I., Feuille, M., & Burdzy, D. (2011). The brief RCOPE: Current psychometric status of a short measure of religious coping. Religions, 2, 51-76.
- Parker, R., & Vannest, K. (2009). An improved effect size for single-case research: Nonoverlap of all pairs. Behavior Therapy, 40, 357-367.
- Parker, R. I., Vannest, K. J., & Davis, J. L. (2011). Effect size in single-case research: A review of nine nonoverlap techniques. Behavior Modification, 35, 303-322.
- Pieper, J. (2012). Religieuze coping: Ontwikkelingen en onderzoek in Nederland. Psyche & Geloof, 23, 139-149.
- Pieper, J., & van Uden, R. (2012). Religieuze coping in de gezondheidszorg. In P. J. Verhagen & H. J. G. M. van Megen (red.), Handboek psychiatrie, religie en spiritualiteit (pp. 339-351). De Tijdstroom.
- Rosmarin, D. H., Pargament, K. I., Pirutinsky, S., & Mahoney, A. (2010). A randomized controlled evaluation of a spiritually integrated treatment for subclinical anxiety in the Jewish community, delivered via the Internet. Journal of Anxiety Disorders, 24, 799-808.
- Stauner, N., Exline, J., & Pargament, K. (2016). Religious and spiritual struggles as concerns for health and well-being. Horizonte, 14, 48-75.
- Theunissen, M. H. C., de Wolff, M., van Grieken, A., & Mieloo, C. (2016). Handleiding voor het gebruik van de SDQ binnen de jeugdgezondheidszorg. Vragenlijst voor het signaleren van psychosociale problemen bij 3-17 jarigen. TNO.
- Utens, E. M. (2017). Ik ben niet bang meer! Cognitieve gedragstherapie bij kinderen en adolescenten. http://cf.bc.uva.nl/download/oraties/Oraties_2017/Utens_Lisbeth.pdf
- van der Ploeg, J. (2013). Stress bij kinderen. Bohn Stafleu van Loghum.
- van Gestel-Timmermans, H., van den Bogaard, J., Brouwers, E., Herth, K., & van Nieuwenhuizen, Ch. (2010). Hope as a determinant of mental health recovery: A psychometric evaluation of the Herth Hope Index – Dutch version. Scandinavian Journal of Caring Sciences, 24, 67-74.
- van Luijtelaar, M., & Wolf, J. (2012). Participatie, empowerment en herstel. Een inventarisatie van meetinstrumenten. www.g4-user.nl/kennisbank/notitie_meetinstrumenten_participatie_empowerment_herstel.pdf
- Weber, S. R., & Pargament, K. I. (2014). The role of religion and spirituality in mental health. Current Opinion in Psychiatry, 27, 358-363.
- Whitley, R., & Drake, R. E. (2010). Recovery: A dimensional approach. Psychiatric Services, 61, 1248-1250.
- Wong, Y. J., Rew, L., & Slaikeu, K. D. (2006). A systematic review of recent research on adolescent religiosity/spiritualty and mental health. Issues in Mental Health Nursing, 27, 161-183.
Noot
- 1.Dit onderzoek is uitgevoerd binnen Eleos. Eleos is onderdeel van het Kennisinstituut Christelijke GGZ (www.kicg.nl), dat zich ten doel heeft gesteld geloof en de geloofsbeleving van cliënten op een professionele en verantwoorde manier te integreren in de hulpverlening en daarvoor nieuwe behandelmethodieken te ontwikkelen. Het kennisinstituut wil deze kennis ook delen met andere ggz-instellingen en zorgaanbieders.
Conflict of interest: De auteurs hebben geen belangenconflicten te verklaren.
Dankwoord: We bedanken graag Ria Dam voor het maken van de illustraties in het werkboek en Wies van Stralen voor haar hulp bij de dataverzameling.
© 2009-2025 Uitgeverij Boom Amsterdam
De artikelen uit de (online)tijdschriften van Uitgeverij Boom zijn auteursrechtelijk beschermd. U kunt er natuurlijk uit citeren (voorzien van een bronvermelding) maar voor reproductie in welke vorm dan ook moet toestemming aan de uitgever worden gevraagd:
Behoudens de in of krachtens de Auteurswet van 1912 gestelde uitzonderingen mag niets uit deze uitgave worden verveelvoudigd, opgeslagen in een geautomatiseerd gegevensbestand, of openbaar gemaakt, in enige vorm of op enige wijze, hetzij elektronisch, mechanisch door fotokopieën, opnamen of enig andere manier, zonder voorafgaande schriftelijke toestemming van de uitgever.
Voor zover het maken van kopieën uit deze uitgave is toegestaan op grond van artikelen 16h t/m 16m Auteurswet 1912 jo. Besluit van 27 november 2002, Stb 575, dient men de daarvoor wettelijk verschuldigde vergoeding te voldoen aan de Stichting Reprorecht te Hoofddorp (postbus 3060, 2130 KB, www.reprorecht.nl) of contact op te nemen met de uitgever voor het treffen van een rechtstreekse regeling in de zin van art. 16l, vijfde lid, Auteurswet 1912.
Voor het overnemen van gedeelte(n) uit deze uitgave in bloemlezingen, readers en andere compilatiewerken (artikel 16, Auteurswet 1912) kan men zich wenden tot de Stichting PRO (Stichting Publicatie- en Reproductierechten, postbus 3060, 2130 KB Hoofddorp, www.cedar.nl/pro).
No part of this book may be reproduced in any way whatsoever without the written permission of the publisher.
Inloggen VGCt en VVGT
Leden van de VGCt en de VVGT loggen in via de site van hun vereniging. Als u op die site bent ingelogd als lid, vindt u daar een button naar het Tijdschrift voor Gedragstherapie.
English
Behavioral Therapy: Journal for Behavioral Therapy and Cognitive Therapy ISSN 0167-7454
Information in English can be found here.





