Om dit nummer te kunnen downloaden heb je een account en een abonnement nodig.
Om artikelen op te slaan heb je een account nodig
Om artikelen op te slaan heb je een account nodig
Richting een integratief (meta)cognitief perspectief op ruminatie
Samenvatting
De afgelopen jaren heeft onderzoek naar ruminatie zich gericht op het in kaart brengen van de bijdrage van specifieke psychologische variabelen. Hieruit voortvloeiende behandelingen hanteren vanuit hun theoretische achtergrond doorgaans een eerder enge focus op één of enkele processen. Ons onderzoek probeert tot perspectiefverbreding te komen. Studie 1 (N = 498) combineert hiertoe centrale concepten uit zelfregulatie- en (meta)cognitieve modellen van ruminatie en maakt gebruik van netwerkanalyse, een datagedreven benadering, om tot een meer integratief perspectief op ruminatie te komen. Aan de hand van een replicatiestudie (studie 2) gaan we vervolgens de robuustheid van deze bevindingen na. Onze resultaten wijzen op de bijdrage van onder meer problemen met executieve controle, perfectionisme, verhoogd zelfbewustzijn en zelfmonitoring, verminderde promotiedoelfocus en niet-helpende opvattingen over ruminatie. Samen verklaren deze factoren meer dan 50% van de variantie in ruminatie. We bespreken de implicaties voor theorievorming rond ruminatie, het proces van casusconceptualisatie en de gedragstherapeutische behandeling van ruminatie.
Summary
Towards an integrative (meta)cognitive model of rumination: a network approach
In recent years, research on rumination has primarily focused on modeling the contribution of specific psychological variables. Treatments derived from these models typically adopt a rather narrow focus on a set of specific processes. Our research aims to broaden this perspective. Study 1 (N = 498) combines central concepts from major self-regulatory, metacognitive and cognitive models of rumination and relies on network analysis, a data-driven analytical approach, to gain a more integrative view on rumination. The inclusion of a replication study (Study 2; N = 500) allows to evaluate the robustness of our findings. Our results highlight the unique contribution of (lack of) executive control, perfectionism, self-consciousness, (lack of) promotion goal focus, and positive and negative beliefs about rumination. Together, these variables explain more than 50% of variance in rumination. Implications for theory on rumination, clinical case conceptualization, and treatment of rumination are discussed.
Trefwoorden
Kernboodschappen voor de klinische praktijk
- Het is belangrijk om binnen de klinische casusconceptualisatie stil te staan bij de aanwezigheid en ernst van ruminatie en andere vormen van repetitief negatief denken.
- Centrale concepten uit zelfregulatie-, cognitieve en metacognitieve modellen leveren een unieke bijdrage aan ruminatie en verklaren samen meer dan 50% van de variantie.
- Positieve opvattingen over ruminatie, verhoogd zelfbewustzijn en (verminderde) executieve controle dragen direct bij aan ruminatie. Negatieve opvattingen over de oncontroleerbaarheid ervan dragen vervolgens bij aan depressieve klachten.
- We raden clinici aan om aandacht te hebben voor deze factoren binnen de casusconceptualisatie, en ze waar mogelijk te includeren binnen een integratieve behandeling van ruminatie.
Inleiding
Bij de behandeling van stemmingsstoornissen stoten hulpverleners vaak op patronen van repetitief negatief denken zoals ruminatie ('depressief gepieker'), die specifieke uitdagingen met zich meebrengen. Ruminatie wordt gekenmerkt door een aanhoudende focus op negatieve gevoelens, problemen en de oorzaken hiervan. Daarbij lopen cliënten vast in vragen als 'Waarom voel ik mij zo slecht?', 'Wat heb ik gedaan om dit te verdienen?' en 'Zal dit ooit nog beter worden?' (Nolen-Hoeksema et al., 2008; Treynor et al., 2003). Deze vorm van repetitief negatief denken heeft een voorspellende waarde voor het ontstaan en de instandhouding van depressieve klachten (Nolen-Hoeksema et al., 2008) en wordt in de literatuur beschouwd als een belangrijke transdiagnostische risicofactor (Kertz et al., 2015; Nolen-Hoeksema et al., 2008).
Onderzoek toont aan dat repetitief negatief denken voorspellend is voor een moeizamer behandelverloop en verminderde effectiviteit van cognitief-gedragstherapeutische interventies (bijvoorbeeld Jones et al., 2008; Kertz et al., 2015). Daartegenover staat dat wanneer hulpverleners erin slagen om ruminatie te reduceren binnen een cognitief-gedragstherapeutische behandeling, dit doorgaans gepaard gaat met gunstiger ontwikkelingen in ervaren depressieve klachten (Krzikalla et al., 2024; Patel et al., 2023). Binnen de klinische casusconceptualisatie is het daarom belangrijk om [1] voldoende stil te staan bij de aanwezigheid en ernst van ruminatie, en [2] zicht te krijgen op welke mechanismen hiertoe bijdragen bij de individuele cliënt. Dit vereist een goed begrip van aan ruminatie gerelateerde processen.
Ruminatie: een complex samenspel van (meta)cognitieve factoren
In de afgelopen jaren hebben theoretische modellen van ruminatie gewezen op de betrokkenheid van diverse (meta)cognitieve factoren en processen. Zo gaan zelfregulatiemodellen ervan uit dat ruminatie getriggerd wordt door doelgerelateerde discrepanties met als functie het reguleren daarvan (Martin & Tesser, 1996; Watkins & Roberts, 2020). Denk bijvoorbeeld aan een ervaren discrepantie tussen een gewenste of ideale toestand en iemands actuele toestand, inclusief de aanwezigheid van depressieve gedachten en gevoelens. Door de eerder abstracte en passieve aard van ruminatie en de aangetoonde link met een beperkt probleemoplossend vermogen (Lyubomirsky et al., 1999; O'Mahen et al., 2015), draagt dit proces echter vaak bij aan de verdere ervaring van interne discrepanties. Daarnaast wijst onderzoek op de rol van factoren zoals perfectionisme (bijvoorbeeld het stellen van bijzonder hoge eisen en verwachtingen; Olson & Kwon, 2008) en het hanteren van een beperkte focus op promotiedoelen (Higgins, 1997). Daarbij richt men zich in mindere mate op vooruitgang en groei, en is men mogelijk meer gepreoccupeerd met het voorkomen van negatieve uitkomsten (zogenoemde preventiedoelen). Het hanteren van zeer hoge standaarden in combinatie met een verminderde promotiefocus verhoogt de kans op confrontatie met interne discrepanties en leidt aldus tot meer ruminatie (bijvoorbeeld Jones et al., 2009, 2013).
Andere theorieën wijzen op het belang van niet-helpende overtuigingen over ruminatie. Zo suggereert de Self-Regulatory Executive Function (S-REF)-theorie dat metacognities een centrale rol spelen bij ruminatie (Wells, 2019; Wells & Matthews, 1996). Denk aan overtuigingen die een cliënt kan hebben over de voor- en nadelen van ruminatie. Positieve overtuigingen over ruminatie (bijvoorbeeld 'Dit zal me helpen om tot een oplossing te komen') kunnen bijdragen aan het initiëren van ruminatie. Dit betekent echter ook dat cognitieve inhouden gerelateerd aan stressoren uit het verleden (zoals gedachten over een nare ervaring die gisteren op de werkvloer plaatsvond) via ruminatie geactiveerd blijven en in het hier-en-nu invloed uitoefenen op ons voelen. De ervaring dat ruminatie gepaard gaat met negatieve gevoelens en eventuele moeilijkheden met het onderbreken van deze gedachten, kan vervolgens overtuigingen activeren over onwenselijke effecten van ruminatie (negatieve overtuigingen, bijvoorbeeld 'Ik word gek, dit zal nooit ophouden'). Samen met andere niet-helpende overtuigingen – zoals de overtuiging dat het belangrijk is om altijd controle uit te oefenen over je denken en dat een hoog zelfbewustzijn of zelfmonitoring belangrijk is, en beperkt vertrouwen in het eigen cognitief functioneren – kan dit bijdragen tot de continuering van ruminatie.
Het zal op basis van deze voorbeelden duidelijk zijn dat ruminatie ook niet los te zien is van verstoorde informatieverwerkingsprocessen, zoals beperkte aandachts- of executieve controle. Daarbij ervaren individuen moeilijkheden om de aandacht los te koppelen van de negatieve gedachte-inhouden en deze te heroriënteren naar meer taakrelevante informatie. Dergelijke informatieverwerkingsprocessen spelen een centrale rol binnen cognitieve modellen van ruminatie zoals de Impaired Disengagement Hypothesis (Koster et al., 2011) en werken disfunctionele cognitieve inhouden in de hand.
Inmiddels is er veel empirische evidentie voor de betrokkenheid van (meta)cognitieve factoren bij ruminatie (bijvoorbeeld Hoorelbeke & Koster, 2017; Pe et al., 2012; Salguero et al., 2021; Solem et al., 2016). Een aantal van deze processen is dan ook opgenomen in recente integratieve cognitieve modellen van ruminatie, zoals het H-EX-A-GO-N-model (acroniem voor Habit development, Executive control, Abstract processing, Goal discrepancies, Negative bias; Watkins & Roberts, 2020). Dit model heeft een focus op meer abstract denken en negatieve informatieverwerkingsvoorkeuren, maar voorziet bijvoorbeeld ook een rol voor beperkte executieve controle en interne discrepanties bij de totstandkoming van ruminatie als gewoontegedrag.
Tegelijkertijd is evidentie voor dergelijke modellen doorgaans verkregen uit studies die focusten op een selecte set van (meta)cognitieve factoren (zoals een exclusieve focus op executieve controle of metacognitieve variabelen). Hierdoor is het tot op heden nog onduidelijk hoe deze (meta)cognitieve processen in interactie bijdragen aan ruminatie. Toch is het cruciaal om deze factoren niet in isolatie, maar in samenhang te bestuderen. Voor complexe processen als ruminatie is het namelijk weinig informatief om enkel geïsoleerde effecten te beschouwen, aangezien zulke effecten zelden losstaan van andere (meta)cognitieve processen. Door verschillende factoren samen op te nemen in een model, kan men niet alleen hun unieke bijdragen kwantificeren, maar ook inzicht verwerven in hun onderlinge interacties en relatieve belang.
Door verschillende factoren samen op te nemen in een model, kan men niet alleen hun unieke bijdragen kwantificeren, maar ook inzicht verwerven in hun onderlinge interacties en relatieve belang
Dit artikel probeert een antwoord te bieden op deze vraag, waarbij we gebruikmaken van de netwerkbenadering voor psychopathologie om zicht te krijgen op de unieke associaties tussen centrale variabelen uit dominante (meta)cognitieve theorieën van ruminatie.
Huidige studie
De netwerkbenadering van psychopathologie laat toe om op datagedreven wijze onderlinge verbanden tussen variabelen te visualiseren als een netwerk, een complex systeem van interagerende componenten (Borsboom et al., 2021). Dergelijke modellen zijn opgebouwd uit zogenoemde 'knooppunten' en verbindingen. Verbindingen binnen een netwerk geven de mate van associatie weer tussen twee variabelen in het model (knooppunten), waarbij gecontroleerd wordt voor de invloed van alle andere variabelen in het model. Hierdoor kan de unieke bijdrage van diverse variabelen op ruminatie gevisualiseerd worden.
In het bijzonder focussen we op basis van theoretische modellen van ruminatie op de rol van: [1] executieve controle (Koster et al., 2011), [2] diverse metacognitieve factoren (Wells & Matthews, 1996), [3] gerichtheid op en ervaren discrepanties in promotiedoelen (Jones et al., 2013), [4] perfectionisme (Olson & Kwon, 2008), en [5] mate van depressieve symptomatologie (Nolen-Hoeksema & Morrow, 1991).
Door gebruik te maken van geregulariseerde partiële correlatienetwerken kunnen we zicht krijgen op de unieke associaties tussen de diverse variabelen en de mate van verklaarde variantie in ruminatie. Daarnaast maken we gebruik van gerichte (bayesiaanse) netwerkmodellen om potentieel causale paden binnen het netwerk te identificeren (voor meer duiding van deze modellen verwijzen we naar de paragraaf 'Statistische analyses'). Bij het uitvoeren van deze analyses maken we gebruik van twee onafhankelijke steekproeven, wat toelaat om de robuustheid van onze bevindingen na te gaan aan de hand van een crossvalidatieprocedure.
Methode
Deelnemers
Dit onderzoek maakt gebruik van twee onafhankelijke steekproeven (verder naar verwezen als steekproef 1 of studie 1, en steekproef 2 of studie 2). Beide steekproeven werden gerekruteerd in het Verenigd Koninkrijk via Academic Prolific (www.prolific.com), een online platform waarop participanten gerekruteerd kunnen worden voor deelname aan wetenschappelijk onderzoek tegen betaling. Dit laat toe om participanten uit te nodigen voor deelname aan een studie op basis van demografische variabelen. Zo kan een representatieve steekproef verkregen worden (op basis van geslacht, leeftijd en etniciteit). Voor de eerste steekproef werden 504 volwassenen (leeftijd 18-85 jaar) gerekruteerd, waarvan zes participanten geëxcludeerd werden vanwege twijfelachtige kwaliteit van hun data. Daardoor bestond steekproef 1 uit 498 participanten.
Op basis van de bevindingen van deze eerste studie werd een tweede (replicatie)studie opgezet (pre-registratie: https://osf.io/8t9qj). Daarbij maakten we gebruik van een statistische simulatieprocedure op basis van de resultaten uit steekproef 1 om de vereiste steekproefgrootte in kaart te brengen. Deze simulatie gaf aan dat een steekproef van N = 500 volstaat (voor een gedetailleerde beschrijving van deze procedure verwijzen we naar https://osf.io/8t9qj). In totaal werden 510 participanten gerekruteerd via Prolific Academic, aangezien er voor 10 participanten sprake was van twijfelachtige kwaliteit van hun data (op basis van check-items), om aan N = 500 te komen voor steekproef 2. Voor beide studies werd toestemming verkregen van de ethische commissie van de Faculteit Psychologie en Pedagogische Wetenschappen van UGent. Alle participanten gaven geïnformeerde toestemming voor deelname aan de studie en werden financieel vergoed via Prolific Academic naar rato van £ 9 per uur.
Meetinstrumenten
Voor beide studies selecteerden we de volgende set vragenlijsten:1
- Ruminatie werd in kaart gebracht aan de hand van de Ruminative Response Scale (RRS; Nolen-Hoeksema & Morrow, 1991; Treynor et al., 2003). Deze bestaat uit 22 items (bijvoorbeeld 'Ik denk "Wat doe ik toch om dit te verdienen"?') die beoordeeld worden op een vierpuntsschaal (1 = 'Bijna nooit' tot 4 = 'Bijna altijd'). We maakten daarbij gebruik van de totaalscore. Hogere scores zijn indicatief voor meer ruminatie.
- De mate van depressieve klachten werd in kaart gebracht aan de hand van de Depression Anxiety and Stress Scales (Lovibond & Lovibond, 1995). Deze vragenlijst bestaat uit 21 items (bijvoorbeeld 'Ik voelde me somber en zwaarmoedig') die beoordeeld worden op een vierpuntsschaal (0 = 'Helemaal niet of nooit van toepassing' tot 3 = 'Zeer zeker of meestal van toepassing'). Voor het doel van deze studie maakten we gebruik van de subschaal Depressieve symptomatologie (zeven items). De som van de overeenkomstige items werd vermenigvuldigd met 2 om vergelijking met de uitgebreide versie van de DASS toe te laten. Hogere scores zijn indicatief voor meer depressieve klachten.
- We brachten verschillende centrale concepten uit zelfregulatiemodellen voor ruminatie in kaart. Om de mate van focus op promotiedoelen te meten, maakten we gebruik van de subschaal Promotion Focus van de Regulatory Focus Questionnaire (RFQ; Higgins et al., 2001). De RFQ bestaat uit 11 items die beoordeeld worden op een vijfpuntsschaal (1 = 'Zelden of nooit' tot 5 = 'Zeer vaak'), waarvan zes items gericht zijn op promotiedoelen (bijvoorbeeld 'Hoe vaak heb je dingen bereikt die je zo enthousiast maakten dat je nog harder wilde werken?'). Voor deze maat wordt gebruikgemaakt van de gemiddelde score van de items. Hogere scores zijn indicatief voor een sterkere focus op promotiedoelen. Daarnaast brachten we de mate van promotiedoeldiscrepantie in kaart aan de hand van de Computerized Selves Task (CS; Shah & Higgins, 2001). Tijdens deze taak dienen participanten zes adjectieven te geven die persoonlijke idealen of doelen representeren. Vervolgens beoordeelt de participant hoe ver ze momenteel verwijderd zijn van deze idealen op een zevenpunts likertschaal (1 = 'Helemaal niet' tot 7 = 'Heel erg veel'). Voor deze maat wordt tevens gebruikgemaakt van de gemiddelde score van de items. Hogere scores voor deze maat zijn indicatief voor een sterkere discrepantie tussen persoonlijke idealen of doelen en hun actuele toestand (promotiedoeldiscrepantie). Perfectionisme werd in kaart gebracht aan de hand van de Frost Multidimensional Perfectionism Scale – Brief (F-MPS-Brief; Burgess et al., 2016). Deze vragenlijst bestaat uit acht items (bijvoorbeeld 'Als ik faal op het werk/op school, ben ik een mislukking als persoon') die beoordeeld worden aan de hand van een vijfpuntsschaal (1 = 'Helemaal niet akkoord' tot 5 = 'Helemaal akkoord'). Als totaalscore maakten we gebruik van de som van de items. Een hogere score voor deze maat is indicatief voor een hogere mate van perfectionisme.
- We maakten gebruik van verschillende vragenlijsten om metacognitie(s) in kaart te brengen: de Positive Beliefs about Rumination Scale (PBRS; Papageorgiou & Wells, 2001b) en de Negative Beliefs about Rumination Scale (NBRS; Papageorgiou & Wells, 2001a), die respectievelijk de mate van positieve en negatieve overtuigingen over ruminatie in kaart brengen. De PBRS bestaat uit negen items (bijvoorbeeld 'Rumineren over mijn problemen helpt me om oplossingen te vinden voor mijn depressie') die beoordeeld worden op een vierpuntsschaal (1 = 'Helemaal niet akkoord' tot 4 = 'Helemaal akkoord'). De NBRS hanteert een gelijkaardige benadering, waarbij via 13 items onderscheid gemaakt kan worden tussen overtuigingen over: [1] de oncontroleerbaarheid en schadelijke aard van ruminatie (bijvoorbeeld 'In welke mate ga je akkoord dat ruminatie oncontroleerbaar is?'), en [2] negatieve sociale en interpersoonlijke gevolgen van ruminatie (bijvoorbeeld 'In welke mate ga je akkoord dat ruminatie ertoe leidt dat je afgewezen wordt door anderen?'). De items van de PBRS en NBRS werden afzonderlijk opgeteld om tot de respectieve totaalscores te komen. Hogere scores op de PBRS en NBRS zijn indicatief voor sterkere overtuigingen over de potentieel gunstige of ongunstige effecten van ruminatie. Daarnaast namen we de Metacognitions Questionnaire (MCQ-30; Cartwright-Hatton & Wells, 1997) af om zicht te krijgen op de ervaren nood om controle uit te oefenen over het denken en gedachte-inhouden (bijvoorbeeld 'Ik zou altijd de baas moeten kunnen zijn over mijn gedachten'), ervaren belang van een (hoog) zelfbewustzijn of zelfmonitoring (bijvoorbeeld 'Ik houd mijn gedachten in de gaten') en beperkt vertrouwen in de eigen cognitieve processen (bijvoorbeeld 'Mijn geheugen kan mij weleens misleiden'). Om tot de subschaalscores te komen, werden de overeenkomstige items voor elke subschaal afzonderlijk opgeteld. Deze vragenlijst bestaat uit 30 items die beoordeeld worden op een vierpuntsschaal (1 = 'Niet mee eens' tot 4 = 'Heel erg mee eens').
- Het niveau van executieve controle werd bevraagd aan de hand van de subschaal Effortful Control van de Adult Temperament Questionnaire (ATQ-EC; Evans & Rothbart, 2007). Deze subschaal bestaat uit 19 items (bijvoorbeeld 'Als ik onderbroken of afgeleid word, kan ik daarna meestal mijn aandacht gemakkelijk weer richten op datgene waar ik mee bezig was') die beoordeeld worden op een zevenpuntsschaal (1 = 'Helemaal niet van toepassing' tot 7 = 'Volledig van toepassing'). We maakten gebruik van de gemiddelde score van de items. Een hogere score is indicatief voor meer executieve controle.
Voor alle variabelen geldt dat een hogere score indicatief is voor de aanwezigheid van meer maladaptieve processen of psychopathologie, behalve bij de executieve controle (ATQ) en focus op promotiedoelen (RFQ). Gegeven de gebruikte steekproeven maakten we steeds gebruik van de Engelstalige versie van de vragenlijsten. De genoemde vragenlijsten werden in voorgaand onderzoek reeds gevalideerd en worden veelvuldig gebruikt (voor een gedetailleerd overzicht verwijzen we naar Tamm, Koster & Hoorelbeke, 2024, 2025). De gebruikte maten vertoonden ook in beide studies goede interne consistentie (studie 1: alle Cronbachs α ≥ 0,70; studie 2: alle Cronbachs α ≥ 0,76), met uitzondering van focus op promotiedoelen waarvoor een matige interne consistentie gevonden werd in studie 2 (Cronbachs α = 0,61).
Procedure
Individuen die zich registreerden op Academic Prolific werden op basis van demografische variabelen uitgenodigd voor deelname aan de studie(s). Individuen konden enkel deelnemen aan studie 2 als ze voorafgaand niet deelgenomen hadden aan studie 1. Na het ontvangen van uitgebreide geschreven uitleg over de studie gaven deelnemers geïnformeerde toestemming. Na het beantwoorden van vragen met betrekking tot demografische variabelen vulden zij vervolgens de genoemde vragenlijsten in. De volgorde van de vragenlijsten werd gerandomiseerd om eventuele volgorde-effecten te voorkomen.2 Binnen het vragenlijstonderzoek werden check-items geïncludeerd om de kwaliteit van responsen te kunnen beoordelen (bijvoorbeeld 'Selecteer de tweede responsoptie'). Alle vragenlijsten werden beantwoord via LimeSurvey, een online surveyplatform (www.limesurvey.org). Na voltooiing van de vragenlijsten ontvingen participanten een vergoeding via Academic Prolific.
Beschikbaarheid van onderzoeksmateriaal
De analyses die gerapporteerd worden in dit artikel kunnen gereproduceerd worden aan de hand van data en R-scripts die online beschikbaar zijn via http://osf.io/6zqmd (studie 1) en http://osf.io/7gsxu (studie 2).
Statistische analyses
De data werd geanalyseerd met behulp van RStudio (www.posit.co). Voor gedetailleerde informatie over de preprocessing van de data, de gebruikte analyses en R-packages verwijzen we naar Tamm, Koster en Hoorelbeke (2024, 2025). Hierna bieden we een beknopt overzicht van de gevolgde procedure:
- We schatten een geregulariseerd partieel correlatienetwerk, ook wel een Gaussian Graphical Model genoemd (Epskamp, Waldorp et al., 2018), om zicht te krijgen op [a] de unieke associaties tussen de diverse variabelen, en [b] de mate van verklaarde variantie in ruminatie. Selectie van het optimale model is daarbij gebaseerd op het Extended Bayesian Information Criterion (EBIC), waarbij gebruikgemaakt wordt van een hyperparameter gamma om te bepalen in welke mate 'eenvoudigere' modellen verkozen worden. We maakten gebruik van gamma = 0,5, wat een eerder conservatieve benadering vormt. Omdat zelfs bij afwezigheid van een verband tussen twee variabelen correlaties niet exact nul zullen zijn, gebruikten we een regularisatieprocedure (graphical Least Absolute Shrinkage and Selection Operator, gLASSO) en bijkomende thresholding, waardoor kleine associaties uit het model worden verwijderd. Deze combinatie wordt in de literatuur vaak gebruikt voor de schatting van geregulariseerde partiële correlatienetwerken in steekproeven met een vergelijkbare grootte als in onze studie(s). Voor een uitgebreide bespreking van deze procedures verwijzen we naar Epskamp en Fried (2018). Verbanden die opgenomen zijn in het overblijvende model kunnen bijgevolg als relevant beschouwd worden voor de bestudeerde processen.
- We visualiseerden de bevindingen in een geregulariseerd partieel correlatienetwerk waarbij de positionering van de knooppunten gebaseerd is op de mate van connectiviteit van de variabele binnen het model. Meer invloedrijke variabelen verkrijgen hierbij een meer centrale positie binnen het model, terwijl minder verbonden variabelen meer in de periferie geplaatst worden. Lijnen tussen de knooppunten reflecteren unieke connecties tussen twee variabelen. Daarbij zijn dikkere lijnen indicatief voor sterkere associaties. Blauwe/volle lijnen geven positieve verbanden weer, terwijl negatieve verbanden weergegeven worden door rode/onderbroken lijnen. We gaven de mate van verklaarde variantie voor elk van de variabelen weer in het model. Dit wordt weergegeven als een taartdiagram in de rand van elk knooppunt binnen het model (het donkere deel geeft daarbij de mate van variantie in de variabele weer die verklaard wordt door alle variabelen uit het model die direct aan deze variabele verbonden zijn).
- We evalueerden de accuraatheid van de verkregen modelparameters voor het geregulariseerd partieel correlatienetwerk aan de hand van bootstrapprocedures zoals beschreven door Epskamp, Borsboom en Fried (2018), waarbij gebruikgemaakt werd van N = 1000-iteraties. Dit laat toe om 95% betrouwbaarheidsintervallen te verkrijgen voor de paden in het model.
- Vervolgens maakten we gebruik van gerichte (bayesiaanse) netwerkmodellen (ook Directed Acyclic Graphs genoemd; Briganti et al., 2023) om potentieel causale paden binnen het netwerk te identificeren. Deze benadering doet een beroep op diverse mathematische principes, waaronder probabiliteit, om zicht te krijgen op potentieel causale structuren binnen het model, wat verdere hypothesevorming toelaat. We schatten in totaal 1000 modellen. In lijn met Briganti en collega's (2023) werden in het uiteindelijke gerichte netwerkmodel enkel verbindingen opgenomen met een waarde van 0,85 of hoger, die in minstens 50% van alle gerunde modellen in dezelfde richting geïdentificeerd werden. Om interpretatie van deze verbindingen mogelijk te maken (dat wil zeggen om te bepalen of het om een positief of negatief verband gaat), werd vervolgens gebruikgemaakt van paarsgewijze regressieanalyse.
Deze analyses werden voor elke steekproef afzonderlijk uitgevoerd, waarbij studie 2 een replicatiestudie vormt. Om de mate van gelijkenis tussen de geregulariseerde partiële correlatienetwerken te evalueren (wat betreft geïdentificeerde associaties), maakten we gebruik van Pearson-correlaties. Daarnaast voerden we een permutatietest uit om na te gaan of de netwerkstructuur en algemene mate van connectiviteit significant verschillen tussen beide studies (p < 0,05). Voor uitgebreidere statistische vergelijking verwijzen we naar Tamm, Koster en Hoorelbeke (2025). Vergelijking van het gerichte netwerk vindt louter descriptief plaats.
Resultaten
Steekproefkarakteristieken
Tabellen 1 en 2 beschrijven de steekproeven van beide studies. De gemiddelde (M) leeftijd is 46 jaar (standaarddeviatie (SD) = 16) voor zowel studie 1 als studie 2. De gemiddelde waarden voor depressieve klachten corresponderen voor beide steekproeven met een milde symptoomernst. Daarbij observeren we aanzienlijke variatie in ernst van depressieve klachten in beide steekproeven (tabel 2). Beide steekproeven verschillen niet wat betreft demografische variabelen (alle p-waarden > 0,05). Met uitzondering van ervaren nood om controle uit te oefenen over het denken en gedachte-inhouden en focus op promotiedoelen, die beide iets hoger zijn in de eerste steekproef (ps < 0,05), verschillen de steekproeven ook niet wat betreft gemiddelde scores op de variabelen die de input vormen voor de netwerkmodellen (de zogenoemde knooppunten; alle ps > 0,05).
Tabel 1 Demografische informatie
| Variabelen | Studie 1 (N = 498) | Studie 2 (N = 500) |
|---|---|---|
| Geslacht (man : vrouw : andere : wenst niet te delen) | 237 : 255 : 5 : 1 | 241 : 257 : 1 : 1 |
| Etniciteit (blank : zwart : Aziatisch : gemengd : overige) | 431 : 18 : 35 : 11 : 3 | 424 : 17 : 37 : 13 : 9 |
| Opleidingsniveau (master : bachelor : beroepsgerichte opleiding : voortgezet of lager onderwijs) | 85 : 196 : 82 : 135 | 87 : 214 : 81 : 118 |
| Tewerkstellingsgraad (tewerkgesteld : student : gepensioneerd of verlofstelsel : wenst niet te delen) | 340 : 29 : 106 : 23 | 347 : 24 : 105 : 24 |
Tabel 2 Descriptieve waarden knooppunten
| Variabelen | Studie 1 (N = 498) | Studie 2 (N = 500) | |||
|---|---|---|---|---|---|
| M | SD | M | SD | Mogelijke range | |
| Ruminatie (RRS) | 44,25 | 14,62 | 44,14 | 15,14 | 22-88 |
| Depressieve klachten (DASS) | 11,72 | 11,46 | 11,04 | 10,94 | 0-42 |
| Focus op promotiedoelen (RFQ) | 3,27 | 0,69 | 3,18 | 0,60 | 1-5 |
| Promotiedoeldiscrepantie (CS) | 3,17 | 1,69 | 3,17 | 1,58 | 0-7 |
| Perfectionisme (F-MPS-Brief) | 22,84 | 6,53 | 22,58 | 6,31 | 4-20 |
| Positieve overtuigingen (PBRS) | 18,14 | 6,61 | 18,05 | 6,45 | 9-36 |
| Overtuigingen over oncontroleerbaarheid (NBRS) | 13,97 | 5,41 | 13,50 | 4,84 | 8-32 |
| Overtuigingen over interpersoonlijke gevolgen (NBRS) | 6,79 | 2,79 | 6,50 | 2,51 | 5-20 |
| Nood om controle uit te oefenen (MCQ-30) | 11,10 | 3,67 | 10,57 | 3,51 | 6-24 |
| Verhoogd zelfbewustzijn (MCQ-30) | 14,33 | 4,41 | 14,05 | 4,31 | 6-24 |
| Beperkt vertrouwen in cognitieve processen (MCQ-30) | 10,64 | 4,47 | 10,73 | 4,52 | 6-24 |
| Executieve controle (ATQ) | 4,57 | 0,89 | 4,53 | 0,85 | 1-7 |
Noot. ATQ = Adult Temperament Questionnaire; CS = Computerized Selves Task; DASS = Depression Anxiety and Stress Scales; F-MPS-Brief = Frost Multidimensional Perfectionism Scale – Brief; MCQ-30 = Metacognitions Questionnaire; NBRS = Negative Beliefs about Rumination Scale; PBRS = Positive Beliefs about Rumination Scale; RFQ = Regulatory Focus Questionnaire; RRS = Ruminative Response Scale.
Geregulariseerd partieel correlatienetwerk
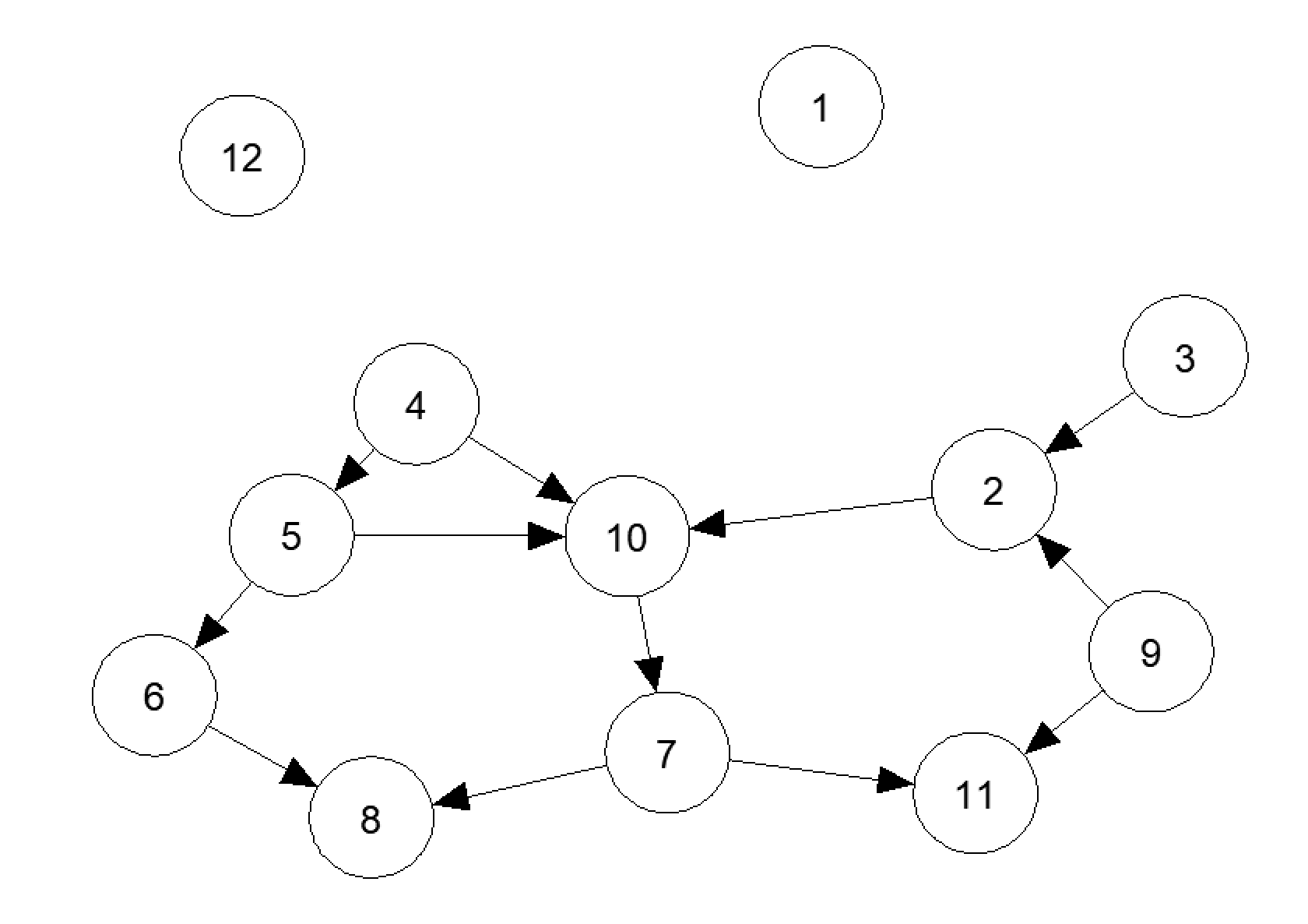
Figuur 1 geeft het geregulariseerd partieel correlatienetwerk weer voor studie 1. De dikte van de opgenomen lijnen reflecteert de mate van unieke bijdrage van elk van de variabelen aan elkaar. Overtuigingen over de oncontroleerbaarheid van ruminatie (7) en hieraan gerelateerde interpersoonlijke gevolgen (8) vertoonden de sterkste positieve associatie binnen het model. Het sterkste negatieve verband werd geobserveerd tussen focus op promotiedoelen (9) en mate van depressieve klachten (11), in lijn met zelfregulatiemodellen van depressie.
Overtuigingen over de oncontroleerbaarheid van ruminatie en hieraan gerelateerde interpersoonlijke gevolgen vertoonden de sterkste positieve associatie binnen het model
Zeven variabelen zijn rechtstreeks verbonden met ruminatie (10): [a] executieve controle (2), [b] positieve overtuigingen over ruminatie (4), [c] overtuigingen over de oncontroleerbaarheid van ruminatie (7), [d] depressieve klachten (11), [e] perfectionisme (12), [f] verhoogd zelfbewustzijn (5), en [g] beperkt vertrouwen in de eigen cognitieve processen (3). Met uitzondering van executieve controle (2), waarvoor betere executieve controle gerelateerd is aan minder ruminatie, dragen de overige verbindingen binnen het model bij tot een hogere mate van ruminatie (10). De resterende variabelen in het model (focus op promotiedoelen (9), promotiedoeldiscrepantie (1), overtuigingen over de negatieve interpersoonlijke gevolgen van ruminatie (8), ervaren nood om controle uit te oefenen over het denken en gedachte-inhouden (6)) dragen bijgevolg enkel indirect bij tot ruminatie (10), of worden enkel indirect door ruminatie beïnvloed, via bovenstaande variabelen. Deze variabelen verklaren samen 52% van de variantie in ruminatie, wat wijst op de relevantie van deze processen voor de klinische casusconceptualisatie.

Figuur 1 Geregulariseerde partieel correlatienetwerk studie 1
Noot. 1 = Promotiedoeldiscrepantie; 2 = Executieve controle; 3 = Beperkt vertrouwen in eigen cognitieve processen; 4 = Positieve overtuigingen over ruminatie; 5 = Verhoogd zelfbewustzijn; 6 = Nood om controle uit te oefenen over het denken en gedachte-inhouden; 7 = Overtuigingen over de oncontroleerbaarheid van ruminatie; 8 = Overtuigingen over negatieve interpersoonlijke gevolgen van ruminatie; 9 = Focus op promotiedoelen; 10 = Ruminatie; 11 = Depressieve klachten; 12 = Perfectionisme.
Gericht netwerkmodel
Om zicht te krijgen op potentieel causale paden schatten we binnen studie 1 vervolgens een gericht netwerkmodel of bayesiaans netwerkmodel. Dergelijke modellen gaan ervan uit dat patronen van activatie binnen een netwerk unidirectioneel zijn. Deze laten dus geen wederkerige paden toe (ze zijn acyclisch). Hiertoe schatten we achtereenvolgens 1000 modellen. Figuur 2 geeft weer welke paden voldoende sterk zijn en in minstens 50% van alle gerunde modellen in eenzelfde richting geïdentificeerd werden. Het finaal bekomen model suggereert dat drie variabelen rechtstreeks bijdragen tot ruminatie (10): [a] executieve controle (2), [b] positieve overtuigingen over ruminatie (4), en [c] verhoogd zelfbewustzijn (5). Een aantal van deze processen wordt verder beïnvloed door andere variabelen en oefenen – al dan niet via ruminatie – vervolgens een invloed uit op de overige variabelen binnen het model.
Het uiteindelijke model suggereert dat drie variabelen rechtstreeks bijdragen tot ruminatie): executieve controle, positieve overtuigingen over ruminatie en verhoogd zelfbewustzijn
Twee processen leiden tot meer ruminatie (10): positieve overtuigingen over ruminatie (4) zijn direct gelinkt aan meer ruminatie (10), ook indirect via activatie van knooppunt verhoogd zelfbewustzijn (5). Hogere niveaus van executieve controle (2) zijn daarentegen rechtstreeks gelinkt aan minder ruminatie (10). Individuen die in meer mate focussen op promotiedoelen (9) en meer vertrouwen hebben in de eigen cognitieve processen (3) hebben via executieve controle (2) ook indirect minder kans op ruminatie (10). Promotiedoelfocus (9) vertoont daarnaast een inhibitorisch pad naar depressieve klachten (11). Binnen het model verhoogt activatie van ruminatie (10) vervolgens de kans op activatie van overtuigingen over de oncontroleerbaarheid van ruminatie (7). Deze laatste factor (7) draagt bij tot de verdere activatie van overtuigingen over schadelijke interpersoonlijke gevolgen (8) en depressieve klachten (11).

Figuur 2 Gericht netwerkmodel studie 1
Noot. 1 = Promotiedoeldiscrepantie; 2 = Executieve controle; 3 = Beperkt vertrouwen in eigen cognitieve processen; 4 = Positieve overtuigingen over ruminatie; 5 = Verhoogd zelfbewustzijn; 6 = Nood om controle uit te oefenen over het denken en gedachte-inhouden; 7 = Overtuigingen over de oncontroleerbaarheid van ruminatie; 8 = Overtuigingen over negatieve interpersoonlijke gevolgen van ruminatie; 9 = Focus op promotiedoelen; 10 = Ruminatie; 11 = Depressieve klachten; 12 = Perfectionisme.
Studie 2: replicatie
Het geregulariseerd partieel correlatienetwerk voor studie 2 (figuur 3A) lijkt heel veel op het model uit studie 1. Op beperkt vertrouwen in de eigen cognitieve processen (3) na repliceert dit model alle directe verbanden met ruminatie (10) uit studie 1. Een bijkomend negatief verband wordt verder geobserveerd tussen focus op promotiedoelen (9) en ruminatie (10). Op groepsniveau verklaren deze variabelen samen 63% van de variantie in ruminatie. Statistische vergelijking van beide modellen bevestigt de sterke gelijkenis. Zo bedraagt de correlatie tussen de associaties voor beide studies 0,87, wat indicatief is voor een sterke samenhang. De geregulariseerde partiële correlatienetwerken uit studie 1 en studie 2 verschillen verder niet significant van elkaar wat betreft globale netwerkstructuur (p = 0,96) of mate van connectiviteit (p = 0,69).
Op beperkt vertrouwen in de eigen cognitieve processen na repliceert het model in studie 2 alle directe verbanden met ruminatie uit studie 1
Het gerichte netwerkmodel uit studie 2 (figuur 3B) sluit ook aan bij de resultaten van studie 1. Zo observeren we een directe bijdrage van positieve overtuigingen over ruminatie (4), die ook een indirect effect genereert op ruminatie (10) via verhoogd zelfbewustzijn (5). Daarnaast repliceren we het eerder gerapporteerde inhibitorische pad van executieve controle (2) naar ruminatie (10). We identificeren verder twee bijkomende excitatorische paden die wijzen op de rol van depressieve klachten (11) en perfectionisme (12) voor de activatie van ruminatie (10). Activatie van ruminatie (10) gaat vervolgens opnieuw gepaard met activatie van overtuigingen over de oncontroleerbaarheid van ruminatie (7).3

Figuur 3 (A) Geregulariseerd partieel correlatienetwerk studie 2 (links); (B) Gericht netwerkmodel studie 2 (rechts)
Noot. 1 = Promotiedoeldiscrepantie; 2 = Executieve controle; 3 = Beperkt vertrouwen in eigen cognitieve processen; 4 = Positieve overtuigingen over ruminatie; 5 = Verhoogd zelfbewustzijn; 6 = Nood om controle uit te oefenen over het denken en gedachte-inhouden; 7 = Overtuigingen over de oncontroleerbaarheid van ruminatie; 8 = Overtuigingen over negatieve interpersoonlijke gevolgen van ruminatie; 9 = Focus op promotiedoelen; 10 = Ruminatie; 11 = Depressieve klachten; 12 = Perfectionisme.
Discussie
De bevindingen van dit onderzoek wijzen op het belang van centrale concepten uit zowel zelfregulatie- als (meta)cognitieve modellen van ruminatie. Zo vonden we in beide studies binnen de geregulariseerde partiële correlatienetwerken evidentie voor de rol van: [1] informatieverwerkingsprocessen (executieve controle; Koster et al., 2011), [2] metacognitie (Wells, 2019; Wells & Matthews, 1996), [3] perfectionisme (Olson & Kwon, 2008), en [4] mate van depressieve klachten (Nolen-Hoeksema & Morrow, 1991). Studie 2 wees daarnaast op de rol van focus op promotiedoelen (Jones et al., 2009, 2013).
De gerichte netwerkmodellen bieden een meer diepgaand inzicht in hoe verschillende factoren kunnen bijdragen aan ruminatie en mogelijke consequenties hiervan. Over beide studies heen vonden we evidentie voor een beschermend effect van executieve controle. Hogere executieve controle gaat gepaard met minder ruminatie. Daartegenover staat dat niet-helpende opvattingen over de bruikbaarheid van ruminatie en een sterk intern gerichte focus de kans op ruminatie vergroten. Als dit proces eenmaal geïnitieerd is, stijgt de kans op activatie van niet-helpende opvattingen over de negatieve consequenties van ruminatie, waaronder controleverlies. Dit komt overeen met de klinische observatie van zogenoemd meta-gepieker (Wells, 1997). Het gaat gepaard met een verdere blootstelling aan triggers voor ruminatie en achteruitgang van de gemoedstoestand. In lijn hiermee zien we in studie 1 vervolgens activatie van depressieve klachten. Studie 2 wees daarnaast op het belang van depressieve klachten en perfectionisme. De sterke gelijkenis tussen de verkregen geregulariseerde partiële correlatienetwerken en gerichte netwerkmodellen in beide studies biedt evidentie voor de robuustheid van onze bevindingen.
Theoretische implicaties
De genoemde (meta)cognitieve factoren verklaren in beide studies een aanzienlijk deel van de variantie in ruminatie. Deze bevindingen sluiten naadloos aan bij zelfregulatie- (bijvoorbeeld Martin & Tesser, 1996; Nolen-Hoeksema & Morrow, 1991), cognitieve (bijvoorbeeld Koster et al., 2011; Watkins & Roberts, 2020) en metacognitieve modellen van ruminatie (Wells, 2019), en breiden deze uit. De gerichte netwerkmodellen waren daarbij beperkt tot unidirectionele verbanden, waardoor enkel de meest voorkomende gerichte effecten binnen de modellen opgenomen werden. Aanvullende analyses wijzen echter op de potentieel wederkerige aard van deze relaties (Tamm, Koster & Hoorelbeke, 2024). Voor een aantal van de gevonden verbanden is er inmiddels ook evidentie dat er bidirectionele relaties zijn, die tot een cyclus van toenemende ruminatie kunnen leiden (bijvoorbeeld Tamm, Koster, Henry & Hoorelbeke, 2025). Zo wijst recent prospectief onderzoek op de rol van cognitieve klachten (bijvoorbeeld verstoorde executieve controle) in de initiatie van ruminatie in het dagelijks leven (Tamm, Koster, Henry & Hoorelbeke, 2025), maar werd het omgekeerde verband ook gerapporteerd in de literatuur (Hoebeke et al., 2024).
De potentiële wederkerige relatie tussen verschillende processen en ruminatie stemt overeen met de mogelijkheid dat cognitieve klachten binnen de functieanalyse kunnen fungeren als trigger (discriminatieve stimulus; Sd) én als consequentie (Sr) van ruminatie (gedrag, R) (bijvoorbeeld -Sr+: minder executieve controle, verminderde aandachtfocus voor taakrelevante informatie). Hetzelfde geldt voor een negatieve gemoedstoestand of depressieve klachten en niet-helpende opvattingen over ruminatie. Deze factoren vertonen ook bidirectionele verbanden met ruminatie in recent onderzoek (Tamm, Koster, Henry & Hoorelbeke, 2025). Dergelijke gedachten en gevoelens kunnen als trigger (Sd) én als consequent (+S-) optreden binnen de functieanalyse.
Klinische Implicaties
Aandacht voor ruminatie en (meta)cognitieve factoren binnen de casusconceptualisatie
Onze bevindingen wijzen op het belang van (meta)cognitieve factoren voor ruminatie. Daarom is het belangrijk om binnen de casusconceptualisatie aandacht te hebben voor de aanwezigheid van ruminatie en hiermee gepaard gaande (meta)cognitieve factoren. Verschillende meetinstrumenten laten toe om de aanwezigheid en ernst van deze factoren te kwantificeren. We geven alvast enkele aanknopingspunten. Zo kan men gebruikmaken van de Ruminative Response Scale (RRS; Nolen-Hoeksema & Morrow, 1991; voor een Nederlandse vertaling verwijzen we naar Raes et al., 2009) om ruminatie in kaart te brengen. Vragenlijsten die peilen naar perfectionisme of promotiefocus zijn onder andere de Frost Multidimensional Perfectionism Scale (F-MPS, perfectionisme; Frost et al., 1990; vertaald in het Nederlands door Soenens et al., 2005) en de Regulatory Focus Questionnaire (RFQ, focus op promotiedoelen; Higgins et al., 2001; Nederlandstalige instrumenten die gelijkaardige constructen in kaart brengen, werden onder meer gebruikt door Brenninkmeijer et al., 2010 en Zacher & de Lange, 2011). Voor het in kaart brengen van relevante metacognitieve factoren, zoals overtuigingen over repetitief negatief denken, kan men onder andere gebruikmaken van de Metacognities Vragenlijst (Cartwright-Hatton & Wells, 1997; Nederlandse vertaling: Hermans et al., 1998). In onderzoek wordt verder vaak gebruikgemaakt van cognitieve taken om moeilijkheden met aandachts- of executieve controle in kaart te brengen (voor overzichtsartikelen verwijzen we naar Joormann & Stanton, 2016; Quigley et al., 2022; Zetsche et al., 2018). Binnen de klinische casusconceptualisatie kan echter ook gebruikgemaakt worden van zelfrapportagematen, zoals de subschaal Effortful Control van de Adult Temperament Questionnaire (ATQ; Rothbart et al., 2000; vertaald door Hartman & Rothbart, 2001). Wanneer het gaat om meer uitgesproken problemen met executieve functies en zelfregulatie kan men gebruikmaken van de Behavior Rating Inventory of Executive Function (BRIEF; beschikbaar in aangepaste versies voor zowel kinderen, adolescenten als volwassenen; Roth et al., 2005; vertaald door Scholte & Noens, 2011).
Het is belangrijk om binnen de casusconceptualisatie aandacht te hebben voor de aanwezigheid van ruminatie en hiermee gepaard gaande (meta-)cognitieve factoren
Naast het gebruik van dergelijke instrumenten voor onderkennende vragen lijkt het ook raadzaam om gebruik te maken van geëigende gedragstherapeutische technieken, zoals registratieopdrachten of topografische analyses binnen de verklarende diagnostiek, inclusief betekenis- en functieanalyse. Zo kan zicht verkregen worden op individuspecifieke piekermechanismen.
Implicaties voor de behandeling van stemmingsstoornissen
Gegeven de voorspellende waarde van ruminatie voor stemmingsstoornissen (Nolen-Hoeksema et al., 2008) en cognitief-gedragstherapeutische behandeluitkomsten (Kertz et al., 2015; Krzikalla et al., 2024; Patel et al., 2023), dringt de vraag zich op hoe ruminatie optimaal aangepakt kan worden. Recent meta-analytisch onderzoek toont aan dat interventies die zich specifiek richten op (aspecten van) repetitief negatief denken betere effecten hebben dan minder specifieke benaderingen (Stenzel et al., 2025). In de context van depressie lijkt rumination-focused cognitieve gedragstherapie (RF-CBT; Watkins, 2018) in het bijzonder beloftevol (Hvenegaard et al., 2020; Watkins et al., 2011). Deze behandeling maakt gebruik van diverse gedragstherapeutische technieken en interventies, waaronder functionele analyses, gedragsactivatie en cognitieve technieken, en helpt cliënten om tot een meer concrete (eerder dan abstracte) denkstijl te komen. Deze behandeling kan een-op-een met een cliënt doorlopen worden. In het Nederlandse taalgebied werden ook groepsprotocollen voor RF-CBT uitgewerkt en op hun effectiviteit getoetst (Rogiers, Baeken, Van den Abbeele et al., 2022). Deze groepsbenadering bevat onder andere elementen van mindfulness en zelfcompassie. Voor een uitgebreide beschrijving van de opbouw van deze behandeling verwijzen we de geïnteresseerde lezer naar Rogiers, Baeken, Watkins en collega's (2022). Voor een kwalitatieve analyse van cliëntervaringen, zie Rogiers, Van Parys en collega's (2022).
Recent meta-analytisch onderzoek toont aan dat interventies die zich specifiek richten op (aspecten van) repetitief negatief denken betere effecten hebben dan minder specifieke benaderingen
De bevindingen van de huidige studie (studies 1-2) suggereren dat het zinvol is om in de behandeling expliciet aandacht te hebben voor (niet-helpende) opvattingen over (de effecten van) ruminatie en de rol van cognitieve processen (verstoorde executieve controle). Een therapie die zich zeer expliciet richt op het aanpakken van metacognities is metacognitieve therapie (MCT; Wells, 2009; Wells et al., 2012). Deze behandeling richt zich in het bijzonder op het identificeren en bijsturen van niet-helpende overtuigingen over (de effecten van) repetitief negatief denken en maakt daarbij ook gebruik van cognitief-gedragstherapeutische technieken zoals gedragsexperimenten, stimuluscontrole, aandachttraining en mindfulness. Daarin zijn gelijkenissen te vinden met RF-CBT.
Een interventie die zich meer specifiek richt op het aanpakken van problemen met executieve controle is cognitieve-controletraining (Siegle et al., 2007). Daarbij wordt gebruikgemaakt van gerichte computertaken om cognitieve functies te trainen, wat in behandelonderzoek gunstige effecten genereerde op ruminatie en depressieve klachten (bijvoorbeeld Hoorelbeke & Koster, 2017) en gepaard ging met een verminderd risico op het heroptreden van depressie (Hoorelbeke et al., 2021). Voor een recente meta-analyse van de effecten van cognitieve-controletraining op ruminatie verwijzen we de geïnteresseerde lezer naar de publicatie van Vander Zwalmen en collega's (2024) in dit tijdschrift.
Daarnaast is het goed om weten dat tal van andere interventies ontwikkeld zijn op basis van theoretische modellen van ruminatie, waaronder – vanuit zelfregulatiemodellen – self-system therapy (SST). Deze behandeling richt zich op een betere balans tussen het nastreven van preventie- en promotiedoelen, het gebruik van meer helpende standaarden en het ontwikkelen van meer effectieve manieren om doelen na te streven in het dagelijks leven (Strauman & Eddington, 2017; Vieth et al., 2003; voor behandelonderzoek, zie onder meer Eddington et al., 2017; Strauman et al., 2006). Gegeven de link tussen focus op promotiedoelen en ruminatie of depressieve klachten in het huidige onderzoek (studies 1-2), en de rol van perfectionisme bij initiatie van ruminatie (studie 2), lijkt SST tevens een waardevolle insteek te bieden voor een meer integratieve behandeling van ruminatie.
Besluit
De gepresenteerde studies brengen als eerste de complexe samenhang in kaart tussen ruminatie en een brede selectie van (meta)cognitieve factoren. De toepassing van netwerkanalyse op centrale concepten uit zelfregulatie-, cognitieve en metacognitieve modellen van ruminatie vormt een belangrijke eerste stap richting een meer integratief perspectief. Het gebruik van twee onafhankelijke steekproeven ter crossvalidatie, de mate van diversiteit binnen deze steekproeven (representatief voor de volwassen populatie van het Verenigd Koninkrijk) en de inclusie van uitgebreide robuustheidsanalyses (Tamm, Koster & Hoorelbeke, 2024, 2025) vormen een belangrijke sterkte van dit onderzoek.
Onze bevindingen wijzen op de unieke bijdrage van concepten uit (meta)cognitieve en zelfregulatiemodellen van ruminatie, en illustreren dat het belangrijk is om rekening te houden met deze factoren binnen de klinische casusconceptualisatie. In het bijzonder lijkt daarbij een rol weggelegd te zijn voor problemen met executieve controle, perfectionisme, verhoogd zelfbewustzijn en zelfmonitoring, promotiedoelfocus en niet-helpende opvattingen over (de gevolgen van) ruminatie. We bespraken daarbij de implicaties voor klinische casusconceptualisatie en de gedragstherapeutische behandeling van ruminatie.
Wel dient gelet te worden op de crosssectionele aard van deze studies, al bevestigt recent prospectief onderzoek het belang van verschillende van bovengenoemde variabelen voor ruminatie (Tamm, Koster, Henry & Hoorelbeke, 2025). Toekomstig behandelonderzoek moet echter nog uitwijzen of een expliciete focus op dergelijke factoren bij kan dragen tot een verhoogde behandeleffectiviteit.
Dankwoord
Dit onderzoek werd gefinancierd door het Fonds Wetenschappelijk Onderzoek Vlaanderen (projecten: 12J9722N en G0A2425N), toegekend aan Kristof Hoorelbeke.
Belangenconflicten
De auteurs melden geen belangenconflicten en/of concurrerende belangen.
Disclaimer
Dit manuscript biedt een integratieve bespreking van de bevindingen van Tamm, Koster en Hoorelbeke (2024, 2025) en de relevantie hiervan voor de klinische casusconceptualisatie.
Referenties
- Borsboom, D., Deserno, M. K., Rhemtulla, M., Epskamp, S., Fried, E. I., McNally, R. J., Robinaugh, D., Perugini, M., Dalege, J., Costantini, G., Isvoranu, A. M., Wysocki, A. C., van Borkulo, C. D., van Bork, R., & Waldorp, L. J. (2021). Network analysis of multivariate data in psychological science. Nature Reviews Methods Primers, 1, 58. https://doi.org/10.1038/s43586-021-00055-w
- Brenninkmeijer, V., Demerouti, E., le Blanc, P. M., & van Emmerik, I. J. H. (2010). Regulatory focus at work: The moderating role of regulatory focus in the job demands-resources model. Career Development International, 15, 708-728. https://doi.org/10.1038/s43586-021-00055-w 10.1108/13620431011094096
- Briganti, G., Scutari, M., & McNally, R. J. (2023). A tutorial on Bayesian networks for psychopathology researchers. Psychological Methods, 28, 947-961. https://doi.org/10.1037/met0000479
- Burgess, A. M., Frost, R. O., & DiBartolo, P. M. (2016). Development and validation of the frost multidimensional perfectionism scale: Brief. Journal of Psychoeducation Assessment, 34, 620-633. https://doi.org/10.1177/0734282916651359
- Cartwright-Hatton, S., & Wells, A. (1997). Beliefs about worry and intrusions: The meta-cognitions questionnaire and its correlates. Journal of Anxiety Disorders, 11, 279-296. https://doi.org/10.1016/S0887-6185(97)00011-X
- Eddington, K. M., Burgin, C. J., Silvia, P. J., Fallah, N., Majestic, C., & Kwapil, T. R. (2017). The effects of psychotherapy for major depressive disorder on daily mood and functioning: A longitudinal experience sampling study. Cognitive Therapy and Research, 41, 266-277. https://doi.org/10.1007/s10608-016-9816-7
- Epskamp, S., Borsboom, D., & Fried, E. I. (2018). Estimating psychological networks and their accuracy: A tutorial paper. Behavior Research Methods, 50, 195-212. https://doi.org/10.3758/s13428-017-0862-1
- Epskamp, S., & Fried, E. I. (2018). A tutorial on regularized partial correlation networks. Psychological Methods, 23, 617-634. https://doi.org/10.1037/met0000167
- Epskamp, S., Waldorp, L. J., Mõttus, R., & Borsboom, D. (2018). The Gaussian Graphical Model in cross-sectional and time-series data. Multivariate Behavioral Research, 53, 453-480. https://doi.org/10.1080/00273171.2018.1454823
- Evans, D. E., & Rothbart, M. K. (2007). Developing a model for adult temperament. Journal of Research in Personality, 41, 868-888. https://doi.org/10.1016/j.jrp.2006.11.002
- Frost, R. O., Marten, P., Lahart, C. M., & Rosenblate, R. (1990). The dimensions of perfectionism. Cognitive Therapy and Research, 14, 449-468. https://doi.org/10.1007/BF01172967
- Hartman, C. A., & Rothbart, M. K. (2001). Dutch translation of the adult temperament questionnaire. Department of Psychiatry Internal publication ARIADNE research group.
- Hermans, D., Crombez, G., van Rijsoort, S., & Laeremans, I. (1998). Metacognities Vragenlijst [ongepubliceerde, geautoriseerde vertaling van de Meta-Cognitions Questionnaire].
- Higgins, E. T. (1997). Beyond pleasure and pain. American Psychologist, 52, 1280-1300. https://doi.org/10.1037/0003-066X.52.12.1280
- Higgins, E. T., Friedman, R. S., Harlow, R. E., Idson, L. C., Ayduk, O. N., & Taylor, A. (2001). Achievement orientations from subjective histories of success: Promotion pride versus prevention pride. European Journal of Social Psychology, 31, 3-23. https://doi.org/10.1002/ejsp.27
- Hoebeke, Y., Blanchard, M. A., Bernstein, E. E., McNally, R. J., & Heeren, A. (2024). Negativity is key for understanding the interplay between rumination's features, attention control, and their dynamic nature: A temporal network approach. Cognitive Therapy and Research, 48, 774-780. https://doi.org/10.1007/s10608-023-10432-2
- Hoorelbeke, K., & Koster, E. H. W. (2017). Internet-delivered cognitive control training as a preventive intervention for remitted depressed patients: Evidence from a double-blind randomized controlled trial study. Journal of Consulting and Clinical Psychology, 85, 135-146. https://doi.org/10.1037/ccp0000128
- Hoorelbeke, K., Van den Bergh, N. De Raedt, R., Wichers, M., & Koster, E. H. W. (2021). Preventing recurrence of depression: Long-term effects of a randomized controlled trial on cognitive control training for remitted depressed patients. Clinical Psychological Science, 9, 615-633. https://doi.org/10.1177/2167702620979775
- Hvenegaard, M., Moeller, S. B., Poulsen, S., Gondan, M., Grafton, B., Austin, S. F., Kistrup, M., Rosenberg, N. G. K., Howard, H., & Watkins, E. R. (2020). Group rumination-focused cognitive-behavioural therapy (CBT) v. group CBT for depression: phase II trial. Psychological Medicine, 50, 11-19. https://doi.org/10.1017/S0033291718003835
- Jones, N. P., Papadakis, A. A., Hogan, C. M., & Strauman, T. J. (2009). Over and over again: Rumination, reflection, and promotion goal failure and their interactive effects on depressive symptoms. Behaviour Research and Therapy, 47, 254-259. https://doi.org/10.1016/j.brat.2008.12.007
- Jones, N. P., Papadakis, A. A., Orr, C. A., & Strauman, T. J. (2013). Cognitive processes in response to goal failure: A study of ruminative thought and its affective consequences. Journal of Social and Clinical Psychology, 32, 482-503. https://doi.org/10.1521/jscp.2013.32.5.482
- Jones, N. P., Siegle, G. J., & Thase, M. E. (2008). Effects of rumination and initial severity on remission to cognitive therapy for depression. Cognitive Therapy and Research, 32, 591-604. https://doi.org/10.1007/s10608-008-9191-0
- Joormann, J., & Stanton, C. H. (2016). Examining emotion regulation in depression: A review and future directions. Behaviour Research and Therapy, 86, 35-49. https://doi.org/10.1016/j.brat.2016.07.007
- Kertz, S. J., Koran, J., Stevens, K. T., & Björgvinsson, T. (2015). Repetitive negative thinking predicts depression and anxiety symptom improvement during brief cognitive behavioral therapy. Behaviour Research and Therapy, 68, 54-63. https://doi.org/10.1016/j.brat.2015.03.006
- Koster, E. H. W., De Lissnyder, E., Derakshan, N., & De Raedt, R. (2011). Understanding depressive rumination from a cognitive science perspective: The impaired disengagement hypothesis. Clinical Psychology Review, 31, 138-145. https://doi.org/10.1016/j.cpr.2010.08.005
- Krzikalla, C., Buhlmann, U., Andor, T., & Morina N. (2024). Repetitive negative thinking as a predictor of cognitive behavioral therapy outcomes in a naturalistic outpatient treatment. Cognitive Therapy and Research. https://doi.org/10.1007/s10608-024-10545-2
- Lovibond, P. F., & Lovibond, S. H. (1995). The structure of negative emotional states: Comparison of the depression anxiety stress scales (DASS) with the Beck Depression and Anxiety Inventories. Behaviour Research and Therapy, 33, 335-343. https://doi.org/10.1016/0005-7967(94)00075-U
- Lyubomirsky, S., Tucker, K. L., Caldwell, N. D., & Berg, K. (1999). Why ruminators are poor problem solvers: Clues from the phenomenology of dysphoric rumination. Journal of Personality and Social Psychology, 77, 1041-1060. https://doi.org/10.1037/0022-3514.77.5.1041
- Martin, L. L., & Tesser, A. (1996). Some ruminative thoughts. In Ruminative thoughts (pp. 1-47). Psychology Press.
- Nolen-Hoeksema, S., & Morrow, J. (1991). A prospective study of depression and posttraumatic stress symptoms after a natural disaster: the 1989 Loma Prieta Earthquake. Journal of Personality and Social Psychology, 61, 115-121. https://doi.org/10.1037//0022-3514.61.1.115
- Nolen-Hoeksema, S., Wisco, B. E., & Lyubomirsky, S. (2008). Rethinking rumination. Perspectives on Psychological Science, 3, 400-424. https://doi.org/10.111/j.1745-6924.2008.00088.x
- Olson, M. L., & Kwon, P. (2008). Brooding perfectionism: Refining the roles of rumination and perfectionism in the etiology of depression. Cognitive Therapy and Research, 32, 788-802. https://doi.org/10.1007/s10608-007-9173-7
- O'Mahen, H. A., Boyd, A., & Gashe, C. (2015). Rumination decreases parental problem-solving effectiveness in dysphoric postnatal mothers. Journal of Behavior Therapy and Experimental Psychiatry, 47, 18-25. https://doi.org/10.1016/j.jbtep.2014.09.007
- Papageorgiou, C., & Wells, A. (2001a). Metacognitive beliefs about rumination in recurrent major depression. Cognitive and Behavioral Practice, 8, 160-164. https://doi.org/10.1016/S1077-7229(01)80021-3
- Papageorgiou, C., & Wells, A. (2001b). Positive beliefs about depressive rumination: Development and preliminary validation of a self-report scale. Behavior Therapy, 32, 13-26. https://doi.org/10.1016/S0005-7894(01)80041-1
- Patel, A., Daros, A. R., Irwin, S. H., Lau, P., Hope, I. M., Perkovic, S. J. M., Laposa, J. M., Husain, M. I., Levitan, R. D., Kloiber, S., & Quilty, L. C. (2023). Associations between rumination, depression, and distress tolerance during CBT treatment for depressio in a teriary care setting. Journal of Affective Disorders, 339, 74-81. https://doi.org/10.1016/j.jad.2023.06.063
- Pe, M. L., Raes, F., Koval, P., Brans, K., Verduyn, P., & Kuppens, P. (2012). Interference resolution moderates the impact of rumination and reappraisal on affective experiences in daily life. Cognition and Emotion, 27, 492-501. https://doi.org/10.1080/02699931.2012.719489
- Quigley, L., Thiruchselvam, T., & Quilty, L. C. (2022). Cognitive control biases in depression: A systematic review and meta-analysis. Psychological Bulletin, 148, 662-709. https://doi.org/10.1037/bul0000372
- Raes, F., Schoofs, H., Hoes, D., Hermans, D., Van Den Eede, F., & Franck, E. (2009). 'Reflection' en 'brooding' als subtypes van rumineren: een herziening van de Ruminative Response Scale. Gedragstherapie, 42, 205-214.
- Rogiers, R., Baeken, C., Van den Abbeele, D., Watkins, E. R., Remue, J., Colman, R., De Raedt, R., & Lemmens, G. (2022). Group intervention 'Drop it!' decreases repetitive negative thinking in major depressive disorder and/or generalized anxiety disorder: A randomised controlled study. Cognitive Therapy and Research, 46, 182-196. https://doi.org/10.1007/s10608-021-10240-6
- Rogiers, R., Baeken, C., Watkins, E. R., Van den Abbeele, D., Remue, J., De Raedt, R., & Lemmens, G. (2022). A psychoeducational CBT-based group intervention ('Drop it') for repetitive negative thinking: Theoretical concepts and treatment processes. International Journal of Group Psychotherapy, 72, 257-292. https://doi.org/10.1080/00207284.2022.2066535
- Rogiers, R., Van Parys, H., Baeken, C., Van den Abbeele, D., Remue, J., De Raedt, R., & Lemmens, G. (2022). Treatment experiences during a cognitive behaviour therapy group intervention targeting repetitive negative thinking: A qualitative study. Psychology and Psychotherapy – Theory, Research and Practice, 95, 447-466. https://doi.org/10.1111/papt.12378
- Roth, R. M., Isquith, P. K., & Gioia, G. A. (2005). BRIEF-A: Behavior Rating Inventory of Executive Function – Adult Version. Psychological Assessment Resources, Lutz, FL.
- Rothbart, M. K., Ahadi, S. A., & Evans, D. E. (2000). Temperament and personality: Origins and outcomes. Journal of personality and social psychology, 78, 122-135. https://doi.org/10.1037//0022-3514.78.1.122
- Salguero, J. M., Ramos-Cejudo, J., Garcia-Sancho, E., Arbulu, I., Zaccagnini, J. L., Bjureberg, J., & Gross, J. J. (2021). Testing the impaired disengagement hypothesis: The role of attentional control and positive metacognitive beliefs in depression. Behaviour Research & Therapy, 146, 103961. https://doi.org/10.1016/j.brat.2021.103961
- Scholte, E., & Noens, I. (2011). BRIEF-A: Vragenlijst executieve functies voor volwassenen: Handleiding. Hogrefe.
- Shah, J., & Higgins, E. T. (2001). Regulatory concerns and appraisal efficiency: The general impact of promotion and prevention. Journal of Personality and Social Psychology, 80, 693-705. https://doi.org/10.1037/0022-3514.80.5.693
- Siegle, G. J., Ghinassi, F., & Thase, M. E. (2007). Neurobehavioral therapies in the 21st century: Summary of an emerging field and an extended example of cognitive control training for depression. Cognitive Therapy and Research, 31, 235-262. https://doi.org/10.1007/s10608-006-9118-6
- Soenens, B., Vansteenkiste, M., Luyten, P., Duriez, B., & Goossens, L. (2005). Maladaptive perfectionistic self-representations: The mediational link between psychological control and adjustment. Personality and Individual Differences, 38, 487-498. https://doi.org/10.1016/j.paid.2004.05.008
- Solem, S., Hagen, R., Hoksnes, J. J., & Hjemdal, O. (2016). The metacognitive model of depression: An empirical test in a large Norwegian sample. Psychiatry Research, 242, 171-173. https://doi.org/10.1016/j.psychres.2016.05.056
- Stenzel, K., Keller, J., Kirchner, L., Rief, W., & Berg, M. (2024). Efficacy of cognitive behavioral therapy in treating repetitive negative thinking, rumination, and worry – a transdiagnostisch meta-analysis. Psychological Medicine, 55, e31. https://doi.org/10.1017/S0033291725000017
- Strauman, T. J., & Eddington, K. M. (2017). Treatment of depression from a self-regulation perspective: Basic concepts and applied strategies in Self-System Therapy. Cognitive Therapy and Research, 41, 1-15. https://doi.org/10.1007/s10608-016-9801-1
- Strauman, T. J., Vieth, A. Z., Merrill, K. A., Kolden, G. G., Woods, T. E., Klein, M. H., Papadakis, A. A., Schneider, K. L., & Kwapil, L. (2006). Self-system therapy as an intervention for self-regulatory dysfunction in depression: A randomized comparison with cognitive therapy. Journal of Consulting and Clinical Psychology, 74, 367-376. https://doi.org/10.1037/0022-006X.74.2.367
- Tamm, G., Koster, E. H. W., Henry, T., & Hoorelbeke, K. (2025). Stuck in thought: Temporal interplay between cognitive building blocks of rumination. Behaviour Research and Therapy, 192, 104788. https://doi.org/10.1016/j.brat.2025.104788
- Tamm, G., Koster, E. H. W., & Hoorelbeke, K. (2024). Multiple paths to rumination within a network analytical framework. Scientific Reports, 14, 10874. https://doi.org/10.1038/s41598-024-61469-6
- Tamm, G., Koster, E. H. W., & Hoorelbeke, K. (2025). Evaluating theories of repetitive negative thinking: Replication and extension. Cognitive Therapy and Research, 49, 18-33. https://doi.org/10.1007/s10608-024-10546-1
- Treynor, W., Gonzalez, R., & Nolen-Hoeksema, S. (2003). Rumination reconsidered: A psychometric analysis. Cognitive Therapy and Research, 27, 247-259. https://doi.org/10.1023/A:1023910315561
- Vander Zwalmen, Y., Demeester, D., Hoorelbeke, K., & Koster, E. H. W. (2024). Effectiviteit van een adaptieve cognitieve training bij depressieve klachten: Een systematische review en meta-analyse. Gedragstherapie, 57, 118-146.
- Vieth, A. Z., Strauman, T. J., Kolden, G. G., Woods, T. E., Michels, J. L., & Klein, M. H. (2003). Self-System Therapy (SST): A theory-based psychotherapy for depression. Clinical Psychology: Science and Practice, 10, 245-268. https://doi.org/10.1093/clipsy.bpg023
- Watkins, E. R. (2018). Rumination-focused cognitive-behavioral therapy for depression. Guilford Press.
- Watkins, E. R., Mullan, E., Wingrove, J., Rimes, K., Steiner, H., Bathurst, N., Eastman, R., & Scott, J. (2011). Rumination-focused cognitive-behavioural therapy for residual depression: phase II randomized controlled trial. British Journal of Psychiatry, 199, 317-322. https://doi.org/10.1192/bjp.bp.110.090282
- Watkins, E. R., & Roberts, H. (2020). Reflecting on rumination: Consequences, causes, mechanisms and treatment of rumination. Behaviour Research and Therapy, 127, 103573. https://doi.org/10.1016/j.brat.2020.103573
- Wells, A. (1997). Cognitive therapy of anxiety disorders: A practice manual and conceptual guide. Chichester, UK: Wiley.
- Wells, A. (2009). Metacognitive therapy for anxiety and depression. Guilford Press: New York.
- Wells, A. (2019). Breaking the cybernetic code: Understanding and treating the human metacognitive control system to enhance mental health. Frontiers in Psychology, 10, 2621. https://doi.org/10.3389/fpsyg.2019.02621
- Wells, A., Fisher, P., Myers, S., Wheatley, J. Patel, T., & Brewin, C. R. (2012). Metacognitive therapy in treatment-resistant depression: A platform trial. Behaviour Research and Therapy, 50, 367-373. https://doi.org/10.1016/j.brat.2012.02.004
- Wells, A., & Matthews, G. (1996). Modelling cognition in emotional disorder: The S-REF model. Behaviour Research and Therapy, 34, 881-888. https://doi.org/10.1016/S0005-7967(96)00050-2
- Zacher, H., & de Lange, A.H. (2011). Relations between chronic regulatory focus and future time perspective: Results of a cross-lagged structural equation model. Personality and Individual Differences, 50, 1255-1260. https://doi.org/10.1016/j.paid.2011.02.020
- Zetsche, U., Bürkner, P. -C., & Schulze, L. (2018). Shedding light on the association between repetitive negative thinking and deficits in cognitive control – A meta-analysis. Clinical Psychology Review, 63, 56-65. https://doi.org/10.1016/j.cpr.2018.06.001
Noten
- 1.Gegeven de Engelstalige steekproeven werd gebruikgemaakt van Engelstalige versies van de vragenlijsten. Niet alle vragenlijsten zijn al in het Nederlands gevalideerd of beschikbaar. Voorbeelditems in deze paragraaf zijn bijgevolg een vertaling van Engelstalige items en categorieën, in functie van dit artikel, en worden louter ter illustratie ingevoegd. Deze zijn niet representatief voor een eventuele Nederlandstalige versie van deze vragenlijsten.
- 2.De participanten voltooiden vervolgens tevens een tweede groep vragenlijsten die deel uitmaken van een breder project en hier niet gerapporteerd worden (voor een overzicht, zie https://osf.io/8t9qj).
- 3.Voor specifieke netwerkparameters uit studies 1 en 2 en uitgebreide evaluatie van de robuustheid van deze bevindingen verwijzen we de geïnteresseerde lezer naar Tamm, Koster en Hoorelbeke (2024, 2025).